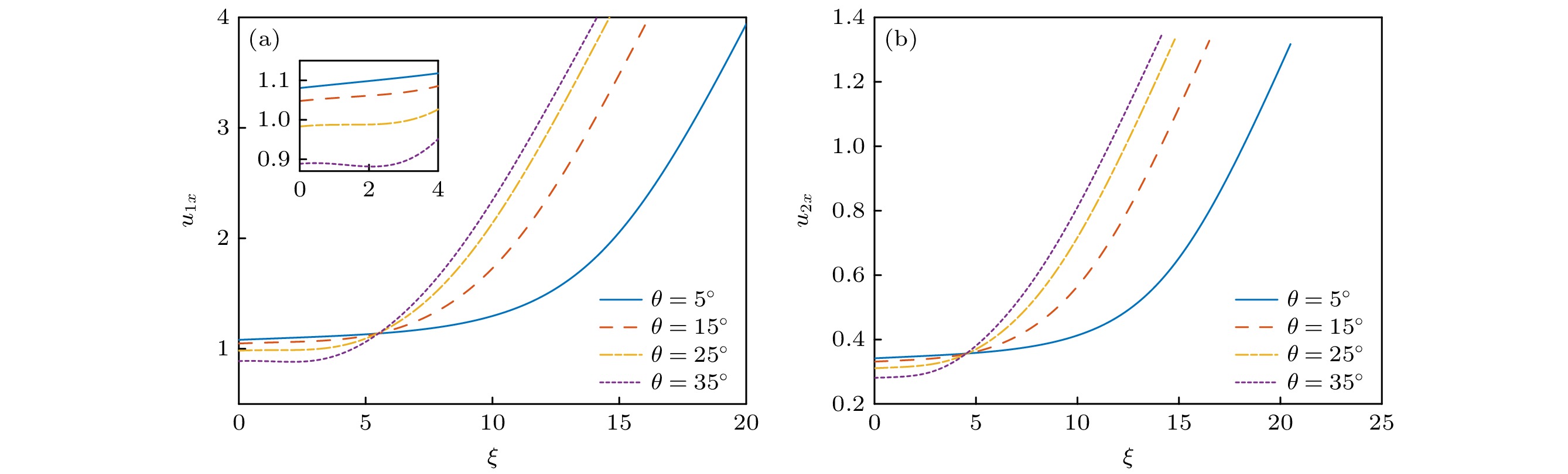
Magnetized plasma sheath plays an important role in semiconductor processing, material surface modification, film deposition, etc. In plasma experiments and discharge applications, multi-ion plasma consisting of more than two kinds of ions often exists. For a long range interacting plasma system, non-Maxwellian electrons can be described by the non-extensive distribution of Tsallis. In this work, a fluid model with one-dimensional spatial coordinates and three-dimensional velocity coordinates is established for the multi-ion plasma sheath. It is assumed that the electron velocity in the sheath follows a non-extensive distribution, and the background helium ions and different kinds of impurity ions are magnetized in a magnetic field with a certain tilt angle. The effects of non-extensive parameters, impurity ions and oblique magnetic field on the number density, velocity, wall potential and kinetic energy of ions in the multi-ion magnetic sheath are investigated by numerical simulation. The results show that in the helium-hydrogen or helium-argon mixed plasma sheath, the ionic velocity along the vertical wall direction decreases with the increase of the non-extensive parameters, the number density of ions and electrons in the sheath, the sheath thickness , and the kinetic energy of ions at the wall decrease. When the concentration of impurity ions increases, the kinetic energy of ions on the wall is independent of the type of ions. With the increase of magnetic field intensity, the number density of helium ions and the velocity along the vertical wall fluctuate along the sheath edge, and the fluctuation amplitude increases with the decrease of non-extensive parameters, while the heavy ions have no obvious fluctuation. In addition, the effects of the types and concentrations of impurity ions on the related properties of the sheath are also analyzed. With the increase of the magnetic field intensity, the number density and the velocity along the vertical wall direction fluctuate at the sheath edge, and the fluctuation amplitude increases with the decrease of the non-extensive parameter, whereas there are no significant fluctuations for heavy ions. In addition, when impurity ions are heavy ions, the absolute value of wall potential increases with the increase of impurity ion concentration and the decrease of non-extensibility parameters, and the kinetic energy of background ions increases at the wall surface. When the impurity ion is a light ion, the absolute value of the wall potential decreases with the increase of the impurity ion concentration and the decrease of the non-extensibility parameter, and the kinetic energy of the background ion at the wall decreases.