Halide perovskite semiconductors have outstanding physical properties such as high light absorption coefficient, large carrier diffusion length, and high photoluminescence quantum efficiency, and demonstrate significant potential applications in optoelectronic devices such as photodetectors and solar cells. However, the toxicity and environmental instability associated with lead-based perovskites significantly limit their applications. An attractive solution is substituting tin for lead in perovskites and growing high-quality tin-based perovskite films. In this study, we adopt the pulsed laser deposition method to achieve the epitaxial growth of CsSnBr
3films on silicon substrates. The morphologies, optical and electrical properties of the CsSnBr
3films, as well as the CsSnBr
3/Si heterojunction detectors, are comprehensively investigated with various characterization techniques, including XRD 2
θ-
ωand
φscans, atomic force microscope, scanning electron microscope, photoluminescence and time-resolved photoluminescence spectroscopy, and Hall electrical measurements. The results indicate that such a CsSnBr
3film grows epitaxially onto the silicon substrate via a face-to-face mode. Interestingly, an unusual temperature-dependent bandgap increase is found to be due to the high electron effective mass of CsSnBr
3. The CsSnBr
3film shows the P-type semiconductor behavior with a high mobility of 122 cm²/(V·s), enabling the formation of an ideal Type-II heterojunction with the silicon substrate. The CsSnBr
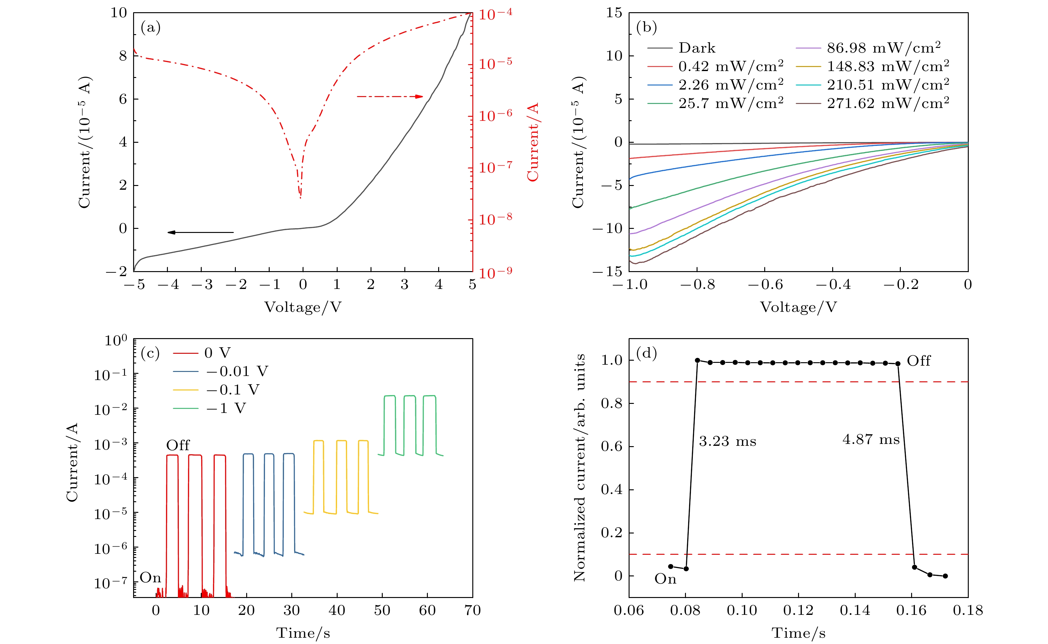
3/Si semiconductor heterojunction detector exhibits distinctive heterojunction PN diode characteristics in the dark and a pronounced photoresponse under illumination. At zero bias, the detector displays a switch ratio exceeding 10
4, responsivity of 0.125 mA/W, external quantum efficiency of 0.0238%, detectivity (
$D^* $
) of 2.1×10
9Jones, response time 3.23 ms, and recovery time of 4.87 ms. Under a small bias of –1 V, the switch ratio decreases to 50, but responsivity and external quantum efficiency increase by 568 times. The detectors can maintain self-powered operation state with a high switch ratio of 10
4, millisecond-level response time and millisecond-level recovery time. In conclusion, this work presents a self-powering, high-performance photodetector based on CsSnBr
3epitaxial films integrated with silicon substrates.