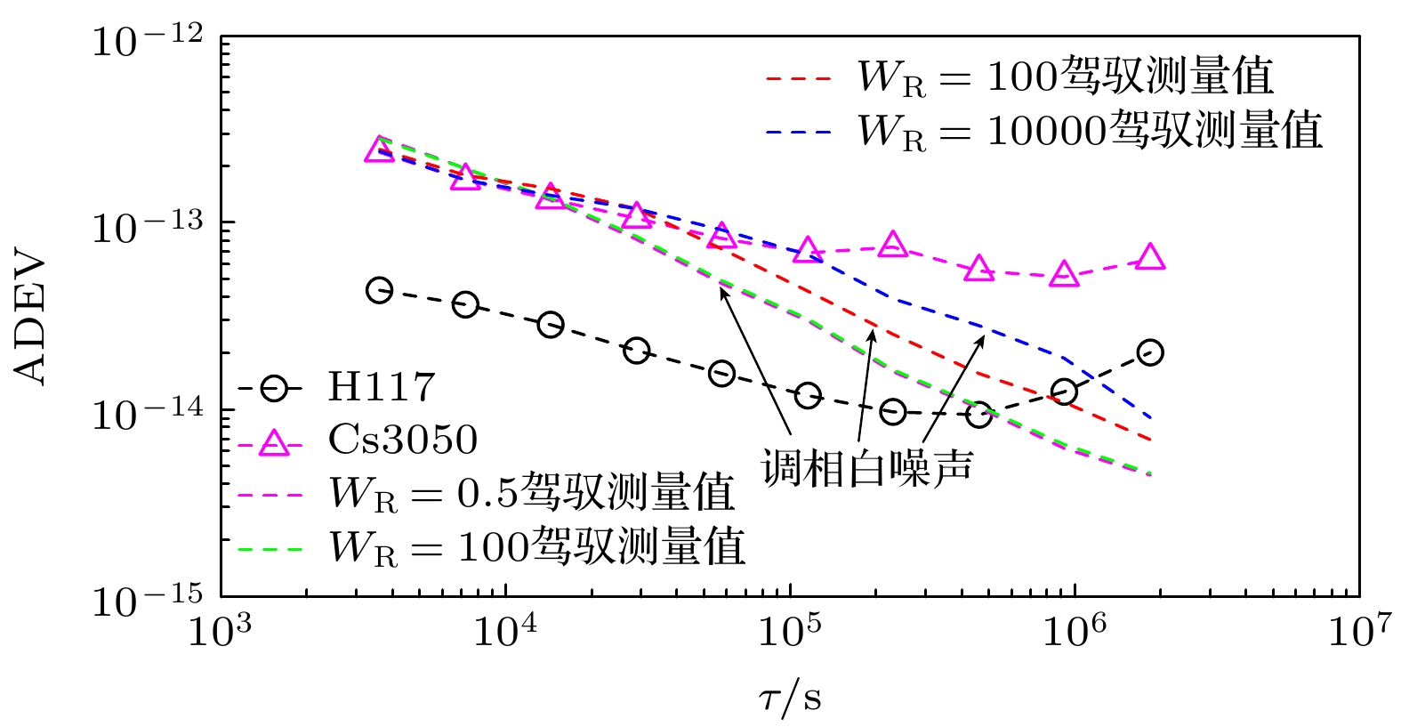
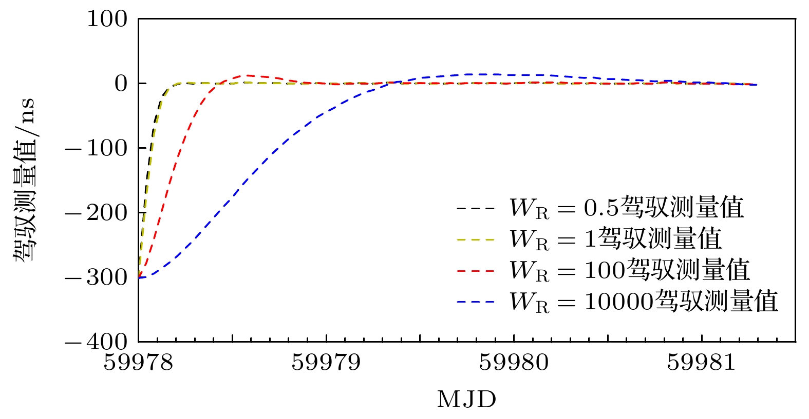
Frequency control of atomic clock is a key technology in time keeping operation. At present, the open-loop control algorithm is mainly used for the frequency control of foreign microwave clock, but the working principle and performance of domestic optically pumped small cesium clock (hereinafter referred to as domestic clock) are different from those of foreign atomic clock of the same type, so the algorithm cannot be well adapted to domestic clock. In order to improve the autonomy and security of the national standard time, based on the noise characteristics of domestic clock, in this work, the linear quadratic Gaussian control algorithm is studied in the framework of optimal control theory. This algorithm belongs to closed-loop control algorithm. The performance of domestic clock is studied from the aspects of synchronization time, frequency control accuracy and frequency control stability. Finally, the influence of different control intervals on the performance of domestic clock is analyzed. The results show that with the increase of the constraint matrix
$ {{{W}}_{\text{R}}} $
in the quadratic loss function, the synchronization time increases, the control accuracy decreases, and the control short-term stability increases. When
$ {{{W}}_{\text{R}}} $
is the same, with the increase of control interval, the synchronization time increases, the control accuracy decreases, and the control short-term stability increases. When
$ {W_{\text{R}}} = 1 $
, the synchronization time with control interval of 1 h is 5 h, the control accuracy is 1.83 ns, and the Allan deviation of 1 hour is 1.81×10
–13. When the control interval is 8 h, the synchronization time is 28 h, the control accuracy is 4.48 ns, and the Allan deviation of 1 h is 1.48×10
–13. The medium-term stability and long-term stability of domestic optically pumped small cesium clock are both improved.