Unlike conventional optoelectronic devices, plasmon-driven optoelectronic devices can efficiently realize energy conversion and regulate the energy distribution of hot carriers through high-energy, non-equilibrium “hot” electron-hole pairs (hot carriers) generated by surface plasmon non-radiative decay, thereby presenting new opportunities for realizing hot carrier optoelectronic devices. As the basis for the practical application of plasmon optoelectronic devices, searching for plasmon metal materials with exceptional performance has always been an important topic in the field of hot carrier optoelectronic devices. Currently, MXenes can be synthesized on a large scale and has excellent photoelectric properties, so it can be used to build a variety of hot carrier photodetectors with unique structures and functions. Unlike the fixed surface ends of two-dimensional materials such as graphene, MoS
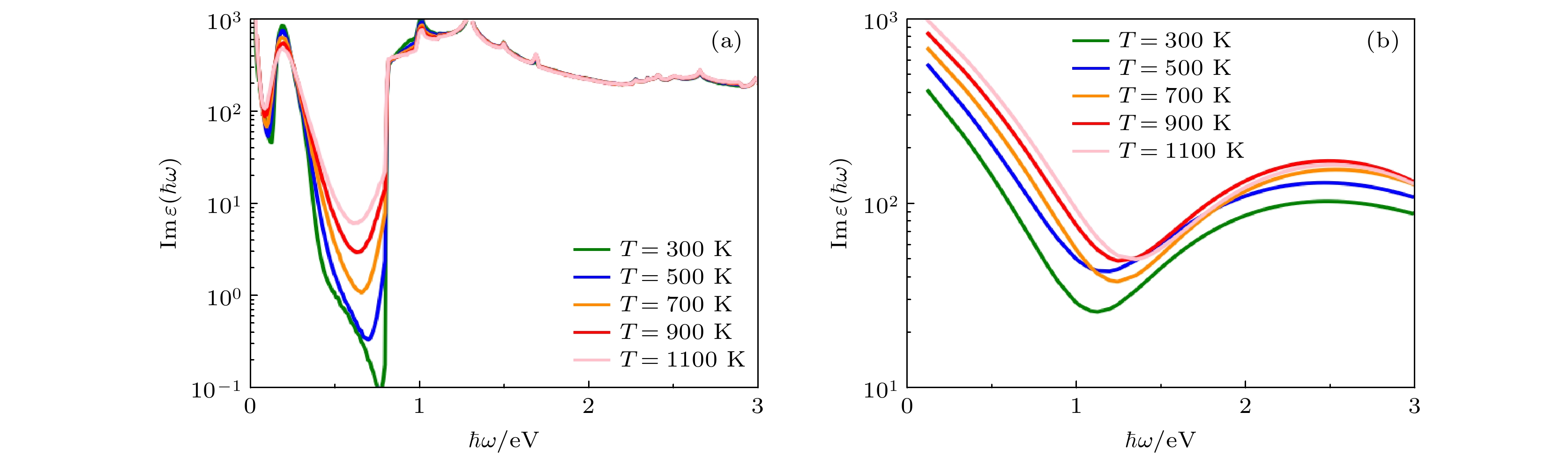
2and borophene, MXenes has an abundance of surface functional groups. However, the increase of ambient temperature will accelerate the oxidation modification of surface functional groups, thus affecting the life and performance stability of optoelectronic devices. In view of the inherent limitations of experimental research on dynamic characteristics of hot carriers at continuous temperatures, we study the temperature effects on the electronic state distributions and scattering effects by using the theory of multi-body perturbation and quantum mechanics. Particularly, we introduce temperature effect into interband electron transition and phonon-assisted electron transition process to obtain temperature dependent dielectric function. From the perspective of non-radiative decay of surface plasmon, we quantify the hot carrier generation efficiency, energy distribution and transport characteristics by first principles calculations, in order to systematically study the ambient temperature dependence of plasmon-induced hot carriers in MXenes. The results show that the interband transition and the phonon-assisted electron transition in MXenes together efficiently produce high-energy hot hole-dominated carriers with a long lifetime and transport distance, which is comparable to borophene. The increase of ambient temperature significantly improves the hot carrier generation efficiency in the infrared range. Meanwhile, the physical mechanism of hot carrier generation in visible light is almost unaffected by the increase of ambient temperature, and the generated hot holes show excellent ambient temperature stability. In addition, the lifetime and transport distance of hot carriers decrease with ambient temperature increasing, which is mainly due to the enhanced scattering of electrons and optical phonons. The research results will provide theoretical and data support for quantitatively evaluating the ambient temperature stability of MXenes plasmon optoelectronic devices in practical environment.