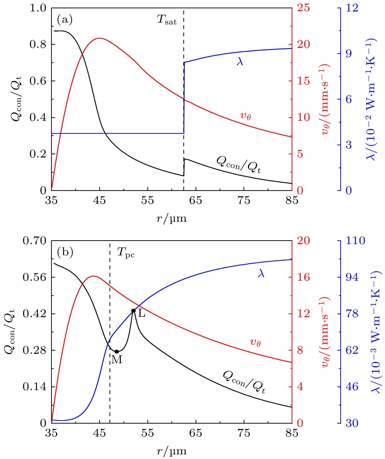
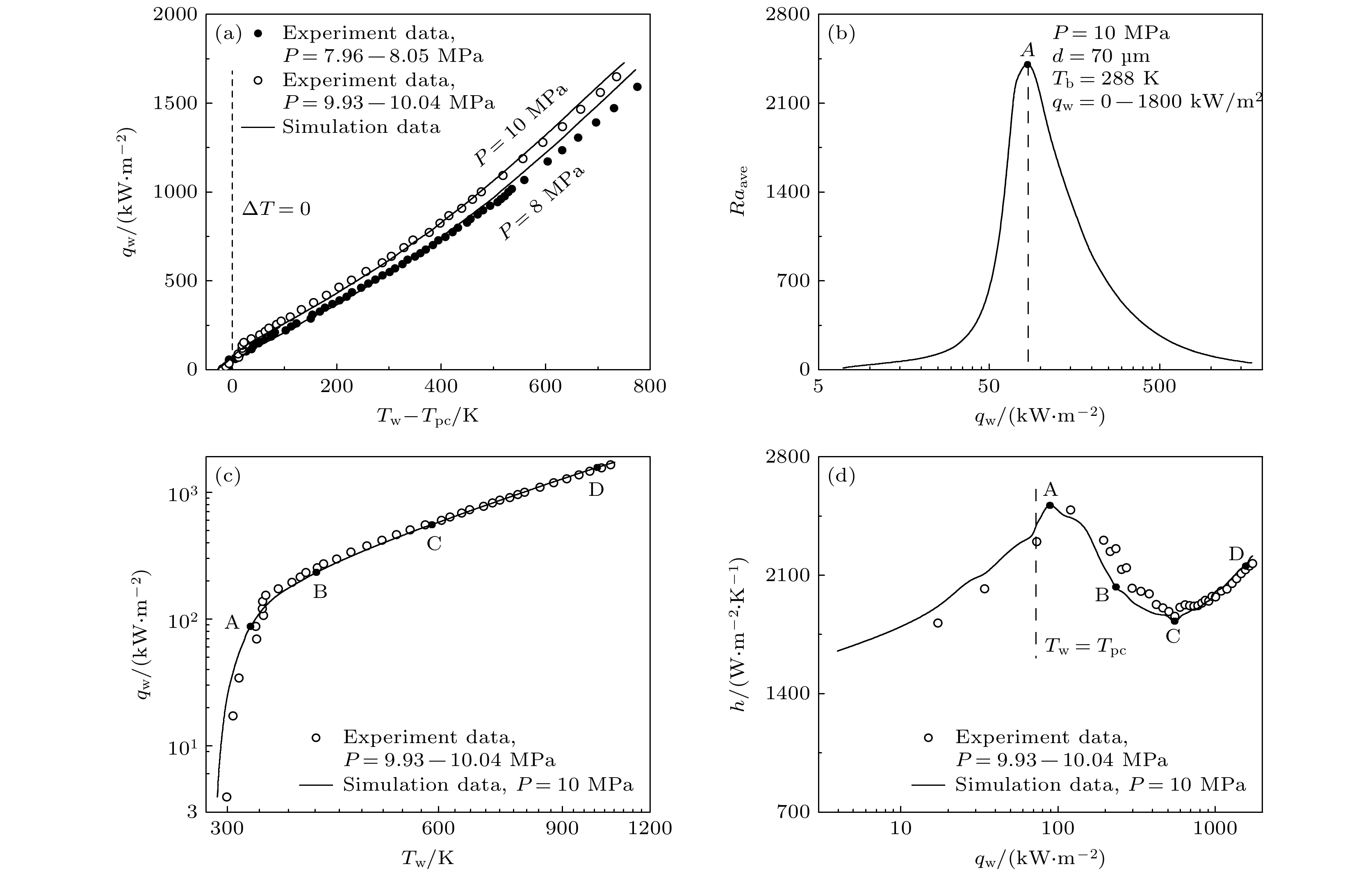
The heat transfer of supercritical pseudo-boiling has been preliminarily studied, but the definition of gas-liquid interface is still not unified. The fluid-structure coupling numerical simulation of heat transfer characteristics in supercritical CO
2pool is carried out by using laminar flow model. Platinum wire is the heating element, with diameter
d= 70 μm. The heat flux density
q
wis in a range of 0–2000 kW/m
2, and the pressure
Pis in a range of 8–10 MPa. Multi-scale mesh is used to model the heating wire, and simulation values accord well with the experimental data. The results show that due to the increase of the circumferential average Rayleigh number
Ra
aveof the heating filament with
q
w, the characteristic of the natural convection zone is that
hincreases with
q
w. The temperatures of the four characteristic working conditions in the evaporation-like zone show a downward trend along the
rdirection. Through analogy with subcritical heat transfer and by calculating the thermal conductivity ratio
Q
con/
Q
t, the supercritical is divided into three regions,
T<
T
Lis liquid-like region (LL),
T
L<
T<
T
Mis two-phase-like region (TPL),
T>
T
Mis vapor-like region (VL). The rule is the same as that of
xpartition according to supercritical pseudo-boiling dryness. According to the curves of average thermal conductivity
λ
aveand thermal resistance
R
Gversus heat flux
q
w, determined by calculating thermal conductivity ratio, the variation law of heat transfer coefficient
hwith
q
win evaporation-like region can be well explained, as
q
wincreases, the thermal conductivity thermal resistance
R
Gincreases, and the heat from the heating filament is difficult to transfer to the fluid outside the vapor-like membrane, leading the heat transfer coefficient
hto decrease when
q
A<
q
w<
q
C, and a significant increase in
λ
avewhen
q
w>
q
C, and the recovery of heat transfer when
hrises again. In this paper, a new method of determining the gas-liquid interface of supercritical pool heat transfer is proposed. This method can effectively explain the heat transfer mechanism in the evaporation-like zone, and provide a theoretical basis for developing supercritical pool heat transfer in the future.