In this study, the thermophysical properties and rapid solidification mechanism of highly undercooled liquid Zr
60Ni
25Al
15alloy are investigated through the electrostatic levitation technique. The maximum undercooling of this alloy reaches 316 K (0.25
T
L). Both density and surface tension display a linear relationship with temperature, while viscosity is related to temperature exponentially. When alloy undercooling is less than 259 K, two significant recalescence events are observed during solidification, corresponding to the formation of pseudobinary (Zr
6Al
2Ni + Zr
5Ni
4Al) eutectic and ternary (Zr
6Al
2Ni + Zr
5Ni
4Al + Zr
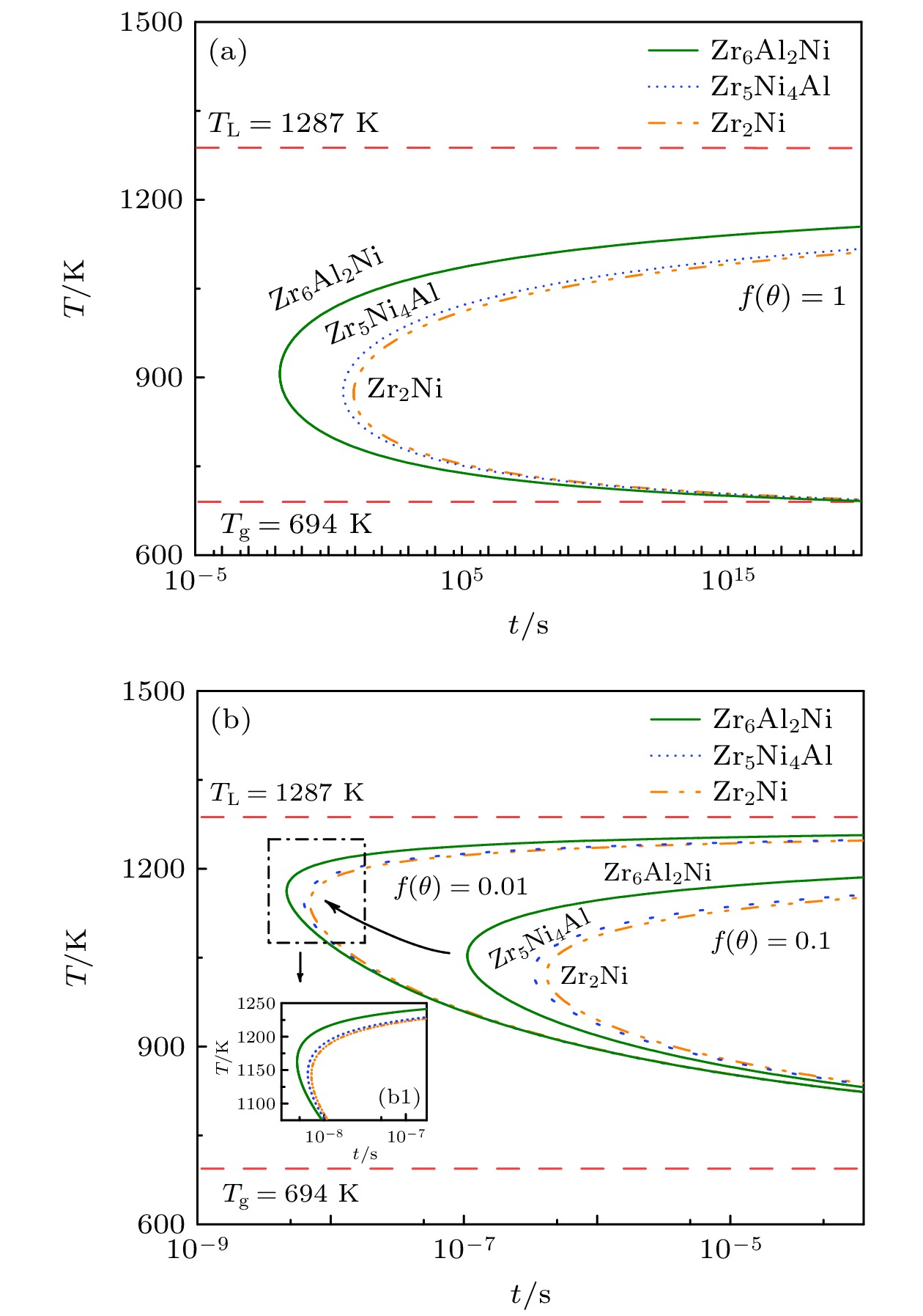
2Ni) eutectic. The growth velocity of the binary eutectic phase gradually increases with further undercooling and reaches a maximum undercooling value of 259 K. In contrast, once undercooling exceeds 259 K, a single recalescence event occurs, leading to the independent nucleation of all three compound phases from alloy melt and the rapid growth of a ternary anomalous eutectic structure. Notably, the growth velocity of the ternary eutectic phase exhibits a gradual decline with further undercooling. This diminishing trend of the growth velocity suggests that further undercooling might entirely suppress crystal growth dynamically at a threshold of 385 K. With classical nucleation theory and the Kolmogorov-Johnson-Mehl-Avrami (KJMA) model, the onsets of crystallization for the three phases are calculated, thereby constructing a time–temperature-transformation (TTT) diagram. This diagram elucidates the competitive nucleation among the three phases in the undercooled melt. Both theoretical and experimental evidence reveal that Zr
6Al
2Ni phase is primarily nucleated at lower undercooling levels, whereas under higher cooling condition, it is possible for all three phases to nucleate simultaneously.