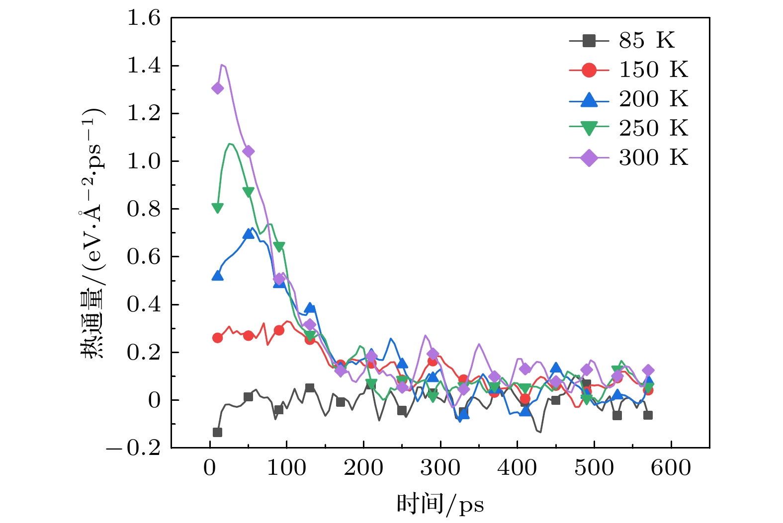
The process of droplet impacting on a high-temperature wall is widely existent in daily life and industrial applications. Most of scholars mainly have focused on experimental and macroscopic research on this phenomenon. In this work, molecular dynamics simulation is conducted to investigate the evolution of droplet and the influence of surface temperature on its evolution, in order to explore the heat transfer mechanism of nanodroplet impacting on high-temperature surface. Droplet containing 10741 argon atoms impacts on the copper plates at temperatures of 85, 150, 200, 250 and 300 K, respectively. The number of droplet evaporation atoms is statistically obtained, the droplet barycenter displacement is analyzed, and the density distribution and temperature distribution inside the droplet are acquired. It is shown that the droplet exhibits different characteristics on the wall at different temperatures. The droplet finally stabilizes on the wall at 85 K as shown in Fig. (a), but when the temperature of the wall rises to 150 K, the droplet evaporates slowly and finally completely as shown in Fig. (b), and for the wall temperatures 200, 250 and 300 K, the Leidenfrost phenomenon is found: the droplet is suspended above the wall as displayed in Figs. (c)–(e). Fig. (f) shows the number of evaporated atoms at different wall temperatures. It also can be seen that the Leidenfrost phenomenon occurs at wall temperatures 200, 250 and 300 K, because for the three conditions there are rise steps and then the numbers of evaporated atoms almost keep constant. For the temperature conditions under which the Leidenfrost phenomenon can occur, the higher the wall temperature, the faster the droplet evaporates, the earlier the detachment occurs from the wall, the greater the droplet detaching velocity, and the larger the final suspending droplet volume. The analyses of the density distribution and temperature distribution of the droplet at the moment when it detaches from the wall show that the evaporation process is faster and a thicker vapor layer is generated due to the higher heat flux of the high-temperature wall, which will hinder the heat exchange, so that the average temperature of the droplet is lower and the average density is smaller.