The atomic data of medium- and high-
Zelements, such as electron-impact ionization and excitation cross-sections, possess extensive applications in fields such as fusion science and X-ray interactions with matter. There are atoms and ions in high energy density plasma, with different charge states and energy states ranging from ground states to highly excited states, and the cross-sections of each charge state and energy state need to be calculated. The bottlenecks limiting computational performance are the inevitable relativistic effects of medium- and high-
Zelements and the extremely complex electronic configurations. Taking tantalum (Ta) for example, by using the relativistic Dirac-Fock theory and distorted wave model, we compute the electron-impact ionization and excitation cross-sections of Ta from the ground state atom up to Ta
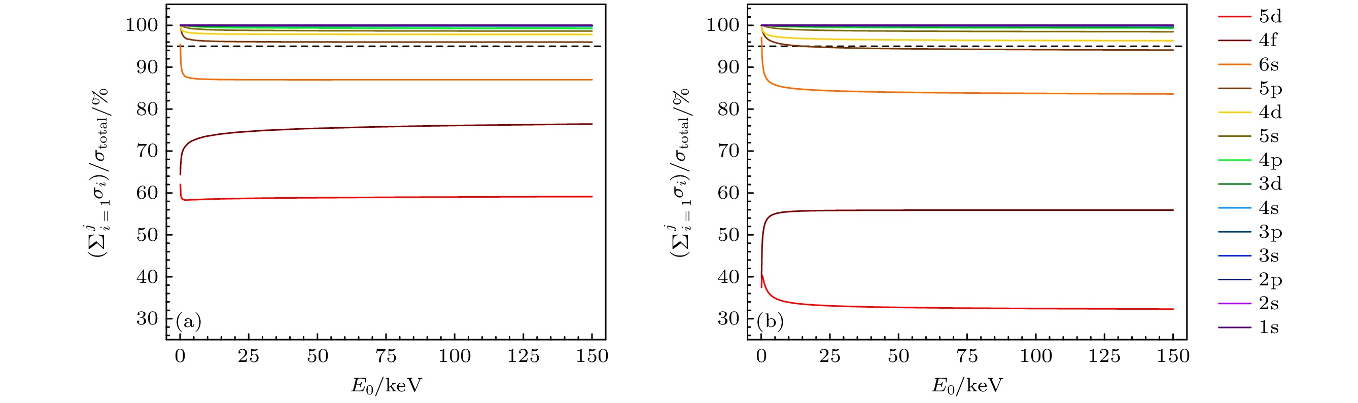
72+with the incident electron energy range of 1–150 keV. The detailed configuration accounting (DCA) reaction channel cross-sections are derived by summing and weighting the original detailed level accounting (DLA) cross-sections. After examining the data, two regularities are found. In terms of DLA, the pre-averaging DCA cross-sections have varying initial DLA energy levels but are typically close to each other. There is not a straightforward function that can explain the discrepancies between them. In terms of DCA, inner subshells typically contribute very little to the total cross-section as their ionization and excitation cross-sections are orders of magnitude smaller than those of outer subshells. We provide two techniques to reduce the computational costs based on the regularities. To minimize the total number of DLA reaction channels used in the computation, the initial DLA energy levels can be randomly sampled. Through a Monte Carlo numerical experiment, we determine the appropriate number of sampling points that can reduce the total number of DLA channels by an order of magnitude while maintaining a 5% error margin. In terms of impact ionization, since small cross-section DCA channels are insignificant, only a tiny portion of the DCA channels are required to preserve a 95% accuracy of the entire cross-section. It is possible to use the analytical Binary Encounter Bethe (BEB) formula to determine which DCA channels should be neglected before the computation to reduce computational costs. In terms of electron-impact excitation, just the cross-sections of the same excited subshells as the preserved ionized subshells, which are determined in the previous electron-impact ionization (EII) calculations, are needed. Finally, we compare our EII results with theoretical and experimental results. In the low incident electron energy range of below 2 keV, our results accord with the theoretical result of the 6s EII cross-section of the Ta atom and the experimental result of the total EII cross-section of the Ta
1+ion. In the high energy range of below 150 keV, our results are also consistent with the theoretical result of the 1s EII cross-section of the Ta atom and the experimental result of the 1s EII cross-section of the Cu atom. Our results reasonably match the previous experimental and theoretical results in low-energy range and high-energy range, inner subshell and outer subshell, indicating the accuracy of our calculation. The proposed optimizing strategy can be applied to various medium- to high-
Zelements and is compatible to most computation codes.