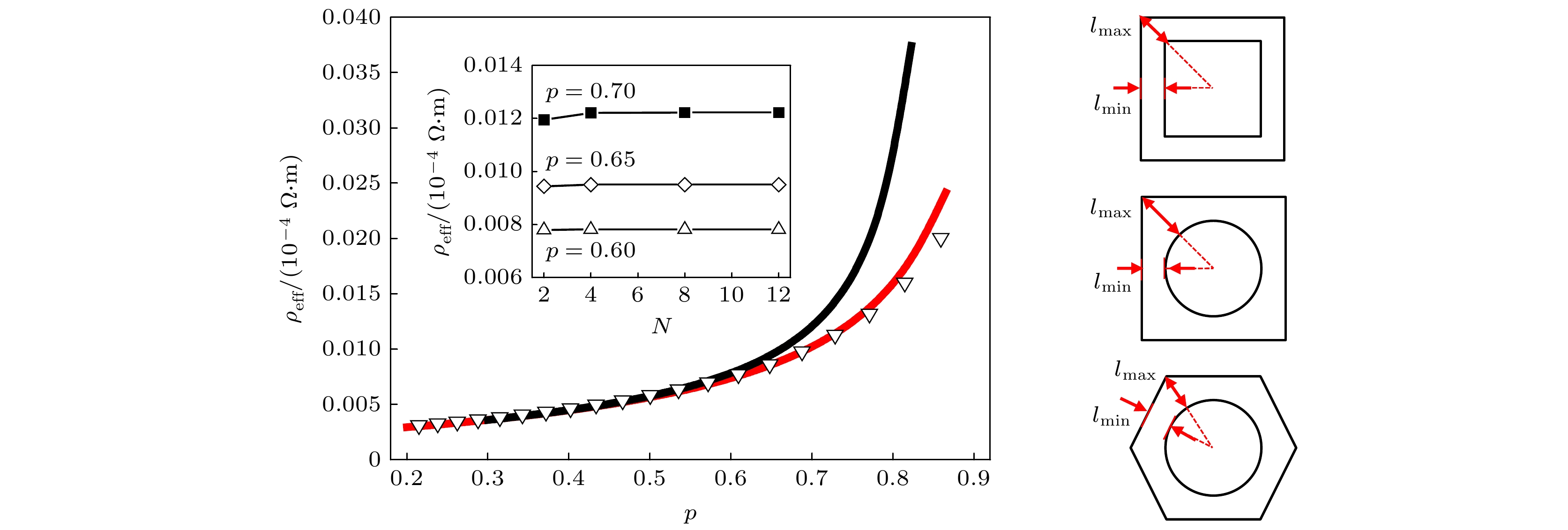
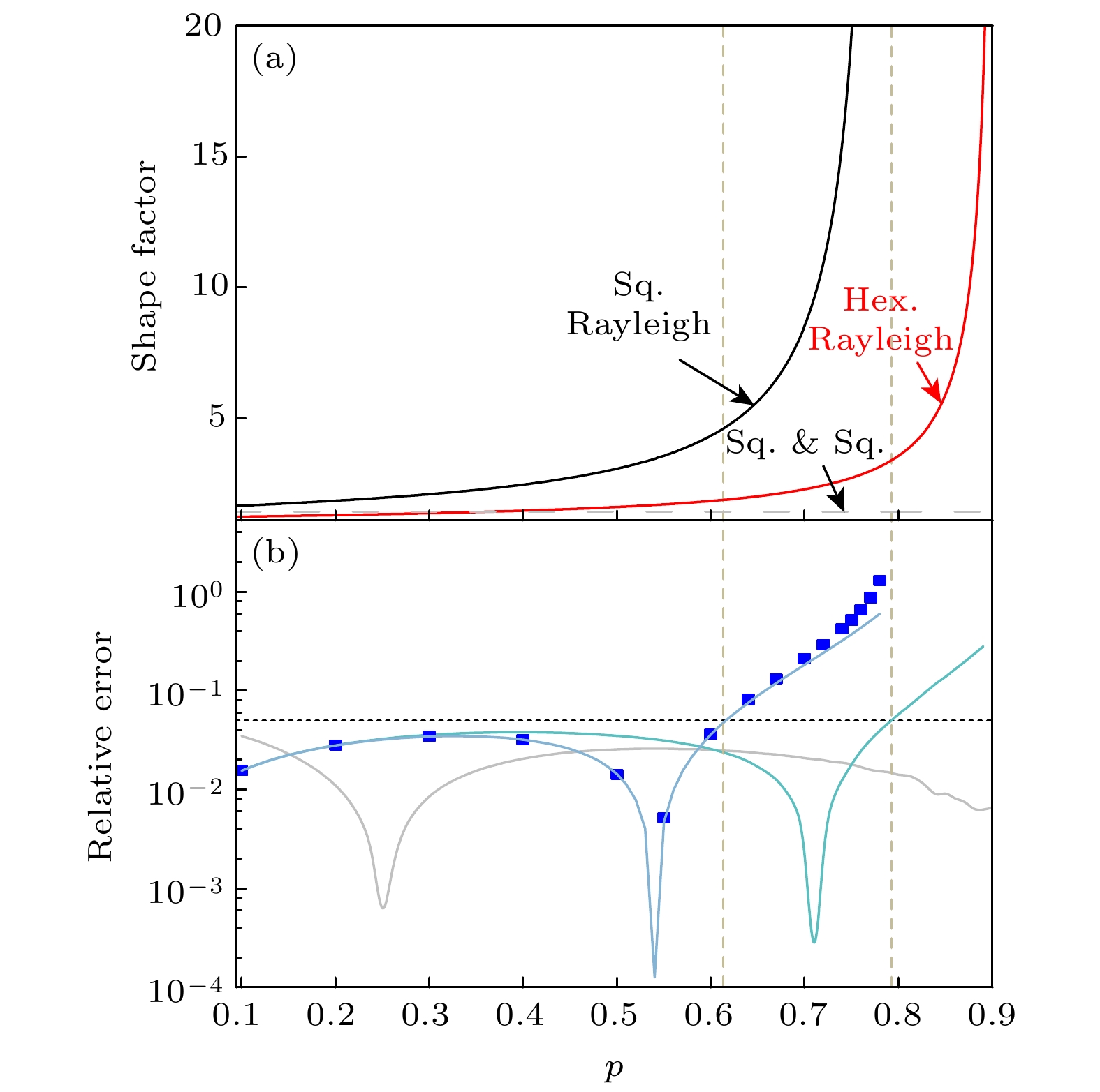
Transparent conducting oxides (TCOs), especially indium tin oxides (ITOs), have played an important role in realizing optoelectronics devices. Composite electrodes fabricated by introducing different types of metal-meshes into TCO have exhibited improved electric properties as well as good transparency. This technology can also reduce the demand for ITO and provide the candidates of flexible electrodes for wearable devices. Analysis of the electric properties of this type of electrode, such as the variance of the sheet resistance of the composite electrodes with the embedded mesh structure parameters, can provide a theoretical basis for designing and fabricating this electrode. But detailed studies are still lacking. This work focuses on the electrical property analysis of the typical square hole and grid shaped metal mesh-TCO composite electrodes based on Rayleigh model and finite-element simulation, respectively. The electric potential distribution and current density distribution are obtained from the finite element calculations, revealing that the dramatic deformation of the metallic channels in the composite results in the failure of a conventional Rayleigh model for the moderate and high opening rates. Accordingly, we adopt a lattice correction to the Rayleigh model to reduce the channel deformation by increasing the symmetry of the exterior boundary of the lattice cell. A comparison of the results from the simulations with those from the second-order approximation of the lattice-adapted Rayleigh model shows that the new analytic form of the effective conductivity is applicable to a much larger opening-rate range for both the monolayer and the sandwich structures of metal-mesh TCO composite electrodes. The variances of the sheet resistance and the effective conductivity with different material and structure parameters of the composite electrodes are calculated and discussed based on the lattice-adapted Rayleigh approximation. The results are well consistent with experimental results. A comparison of our model with other theoretical models is also made, showing that this lattice-adapted Rayleigh approximation can be used as a simple and efficient theoretical tool to analyze and design the concerned transparent composite electrodes.