| [1] |
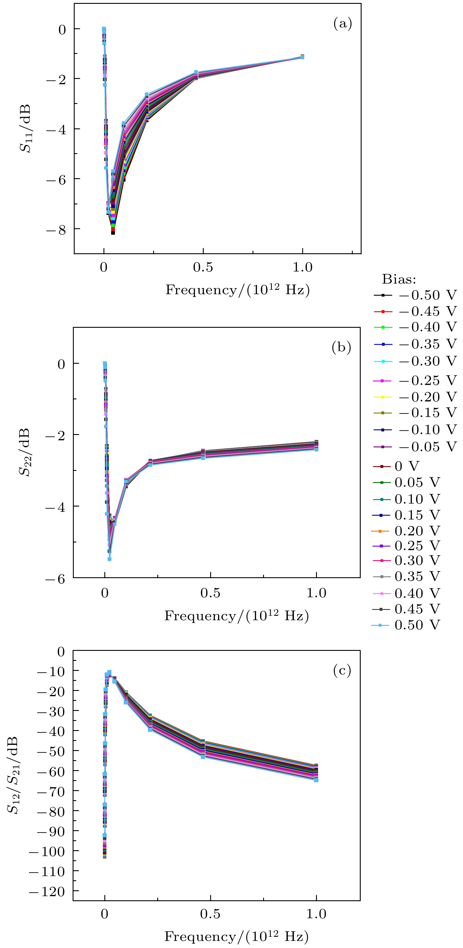
Li Pei, Dong Zhi-Yong, Guo Hong-Xia, Zhang Feng-Qi, Guo Ya-Xin, Peng Zhi-Gang, He Chao-Hui.Investigation of laser-induced single event effect on SiGe BiCMOS low noise amplifiers. Acta Physica Sinica, 2024, 73(4): 044301.doi:10.7498/aps.73.20231451 |
| [2] |
Yang Wei-Tao, Hu Zhi-Liang, He Huan, Mo Li-Hua, Zhao Xiao-Hong, Song Wu-Qing, Yi Tian-Cheng, Liang Tian-Jiao, He Chao-Hui, Li Yong-Hong, Wang Bin, Wu Long-Sheng, Liu Huan, Shi Guang.Neutron induced single event effects on near-memory computing architecture AI chips. Acta Physica Sinica, 2024, 73(13): 138502.doi:10.7498/aps.73.20240430 |
| [3] |
Ju An-An, Guo Hong-Xia, Zhang Feng-Qi, Liu Ye, Zhong Xiang-Li, Ouyang Xiao-Ping, Ding Li-Li, Lu Chao, Zhang Hong, Feng Ya-Hui.Simulation research on single event effect of N-well resistor. Acta Physica Sinica, 2023, 72(2): 026102.doi:10.7498/aps.72.20220125 |
| [4] |
Fu Jing, Cai Yu-Long, Li Yu-Dong, Feng Jie, Wen Lin, Zhou Dong, Guo Qi.Single event transient effect of frontside and backside illumination image sensors under proton irradiation. Acta Physica Sinica, 2022, 71(5): 054206.doi:10.7498/aps.71.20211838 |
| [5] |
Shen Rui-Xiang, Zhang Hong, Song Hong-Jia, Hou Peng-Fei, Li Bo, Liao Min, Guo Hong-Xia, Wang Jin-Bin, Zhong Xiang-Li.Numerical simulation of single-event effects in fully-depleted silicon-on-insulator HfO2-based ferroelectric field-effect transistor memory cell. Acta Physica Sinica, 2022, 71(6): 068501.doi:10.7498/aps.71.20211655 |
| [6] |
Zhang Jin-Xin, Wang Xin, Guo Hong-Xia, Feng Juan, Lü Ling, Li Pei, Yan Yun-Yi, Wu Xian-Xiang, Wang Hui.Three-dimensional simulation of total ionizing dose effect on SiGe heterojunction bipolor transistor. Acta Physica Sinica, 2022, 71(5): 058502.doi:10.7498/aps.71.20211795 |
| [7] |
.3D Simulation Study on the Mechanism of Influence Factor of Total Dose Ionizing Effect on SiGe HBT. Acta Physica Sinica, 2021, (): .doi:10.7498/aps.70.20211795 |
| [8] |
Han Jin-Hua, Qin Ying-Can, Guo Gang, Zhang Yan-Wen.A method of designing binary energy degrader. Acta Physica Sinica, 2020, 69(3): 033401.doi:10.7498/aps.69.20191514 |
| [9] |
Han Jin-Hua, Guo Gang, Liu Jian-Cheng, Sui Li, Kong Fu-Quan, Xiao Shu-Yan, Qin Ying-Can, Zhang Yan-Wen.Design of 100-MeV proton beam spreading scheme with double-ring double scattering method. Acta Physica Sinica, 2019, 68(5): 054104.doi:10.7498/aps.68.20181787 |
| [10] |
Wang Xun, Zhang Feng-Qi, Chen Wei, Guo Xiao-Qiang, Ding Li-Li, Luo Yin-Hong.Application and evaluation of Chinese spallation neutron source in single-event effects testing. Acta Physica Sinica, 2019, 68(5): 052901.doi:10.7498/aps.68.20181843 |
| [11] |
Zhao Wen, Guo Xiao-Qiang, Chen Wei, Qiu Meng-Tong, Luo Yin-Hong, Wang Zhong-Ming, Guo Hong-Xia.Effects of nuclear reactions between protons and metal interconnect overlayers on single event effects of micro/nano scaled static random access memory. Acta Physica Sinica, 2015, 64(17): 178501.doi:10.7498/aps.64.178501 |
| [12] |
Li Pei, Guo Hong-Xia, Guo Qi, Wen Lin, Cui Jiang-Wei, Wang Xin, Zhang Jin-Xin.Simulation and sesign of single event effect radiation hardening for SiGe heterojunction bipolar transistor. Acta Physica Sinica, 2015, 64(11): 118502.doi:10.7498/aps.64.118502 |
| [13] |
Xiao Yao, Guo Hong-Xia, Zhang Feng-Qi, Zhao Wen, Wang Yan-Ping, Ding Li-Li, Fan Xue, Luo Yin-Hong, Zhang Ke-Ying.Synergistic effects of total ionizing dose on the single event effect sensitivity of static random access memory. Acta Physica Sinica, 2014, 63(1): 018501.doi:10.7498/aps.63.018501 |
| [14] |
Zhang Jin-Xin, He Chao-Hui, Guo Hong-Xia, Tang Du, Xiong Cen, Li Pei, Wang Xin.Three-dimensional simulation study of bias effect on single event effects of SiGe heterojunction bipolar transistor. Acta Physica Sinica, 2014, 63(24): 248503.doi:10.7498/aps.63.248503 |
| [15] |
Sun Ya-Bin, Fu Jun, Xu Jun, Wang Yu-Dong, Zhou Wei, Zhang Wei, Cui Jie, Li Gao-Qing, Liu Zhi-Hong.Study on ionization damage of silicon-germanium heterojunction bipolar transistors at various dose rates. Acta Physica Sinica, 2013, 62(19): 196104.doi:10.7498/aps.62.196104 |
| [16] |
Zhang Jin-Xin, Guo Hong-Xia, Guo Qi, Wen Lin, Cui Jiang-Wei, Xi Shan-Bin, Wang Xin, Deng Wei.3D simulation of heavy ion induced charge collection of single event effects in SiGe heterojunction bipolar transistor. Acta Physica Sinica, 2013, 62(4): 048501.doi:10.7498/aps.62.048501 |
| [17] |
Liu Bi-Wei, Chen Jian-Jun, Chen Shu-Ming, Chi Ya-Qin.NPN bipolar effect and its influence on charge sharing in a tripe well CMOS technology with n+ deep well. Acta Physica Sinica, 2012, 61(9): 096102.doi:10.7498/aps.61.096102 |
| [18] |
Liu Fan-Yu, Liu Heng-Zhu, Liu Bi-Wei, Liang Bin, Chen Jian-Jun.Effect of doping concentration in p+ deep well on charge sharing in 90nm CMOS technology. Acta Physica Sinica, 2011, 60(4): 046106.doi:10.7498/aps.60.046106 |
| [19] |
Cai Ming-Hui, Han Jian-Wei, Li Xiao-Yin, Li Hong-Wei, Zhang Zhen-Li.A simulation study of the atmospheric neutron environment in near space. Acta Physica Sinica, 2009, 58(9): 6659-6664.doi:10.7498/aps.58.6659 |
| [20] |
He Chao-Hui, Geng Bin, Yang Hai-Liang, Chen Xiao-Hua, Wang Yan-Ping, Li Guo-Zheng.Experimental study on irradiation effects in floating gate ROMs. Acta Physica Sinica, 2003, 52(1): 180-187.doi:10.7498/aps.52.180 |