In the inductively coupled plasma (ICP) discharge, surface processes, such as reflection, de-excitation, and recombination, can occur when active species arrive at material surfaces, which accordingly influences the plasma properties. In this work, a fluid model is used to study the Ar/O
2plasma generated by ICP reactors made of different materials. In simulation, sticking coefficient is employed to estimate the surface reactions on different materials. As the reactor material changes from stainless steel to anodized aluminum to Cu, the sticking coefficient of surface reaction O→1/2O
2decreases accordingly. It is found that the reactor material has a great effect on species density. In the stainless steel reactor, the density of O atoms at grounded state and excited state are much lower because more O
2molecules are generated from the surface reaction, yielding a much higher density of
$ {\text{O}}_2^ + $
molecular ions which are mainly created from the ionization process of O
2molecules. Similarly, the high density of O
2molecules also enhances the production of
${{{\mathrm{O}}} _2}\left( {{{\mathrm{a}}^1}{\Delta _{\mathrm{g}}}} \right)$
molecules through the excitation process and O
–ions through the dissociation attachment reaction. On the contrary, more electrons are consumed via the collisions between electrons and O
2molecules or
$ {\text{O}}_2^ + $
molecular ions. Therefore, the electron density obtained in the Cu reactor is highest. The density of Ar
+ions and Ar
matoms also increase with sticking coefficient decreasing. The density of O
+ions and
$ {\text{O}}_2^ + $
molecular ions peak below the coil in the stainless steel reactor, whereas the radial uniformities are improved in the Cu reactor. In the three reactors, the electrons distribute evenly at the reactor center region. The O density and
${{{\mathrm{O}}} _2}\left( {{{\mathrm{a}}^1}{\Delta _{\mathrm{g}}}} \right)$
density significantly peak at the reactor center, while the maximum value of Ar
+density and Ar
mdensity are below the coil. As for O(
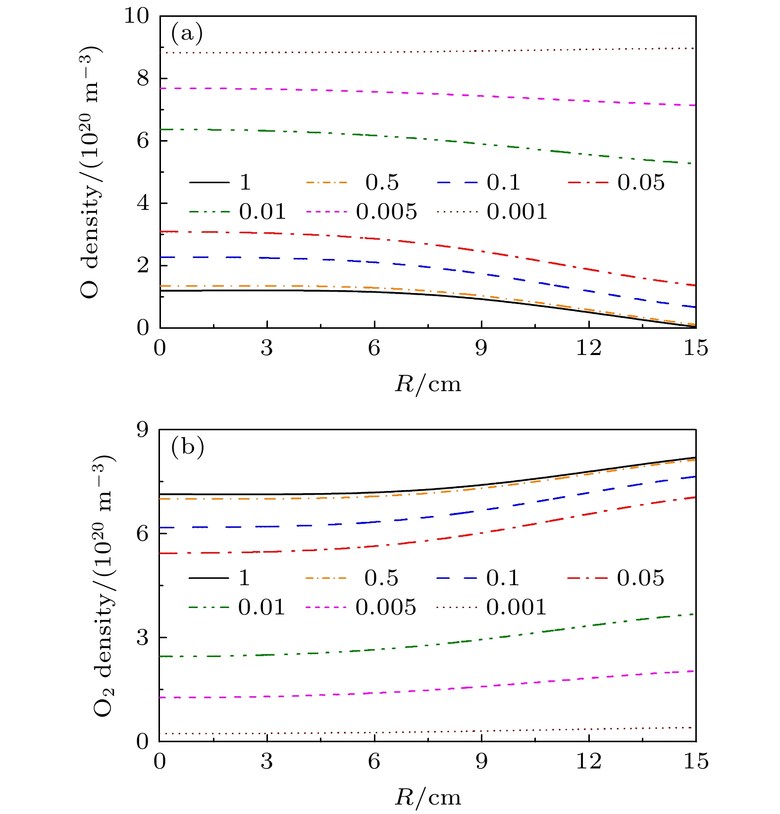
1D), the maximum density below the coil region moves toward the reactor center as the reactor material changes from stainless steel to Cu. Finally, the effect of sticking coefficient of O→1/2O
2is studied. The results show that the O atom density decreases with the sticking coefficient increasing, but the opposite trend is observed in O
2molecular density. It is noticed that the sticking coefficient has little effect on species density when it is higher than 0.5.