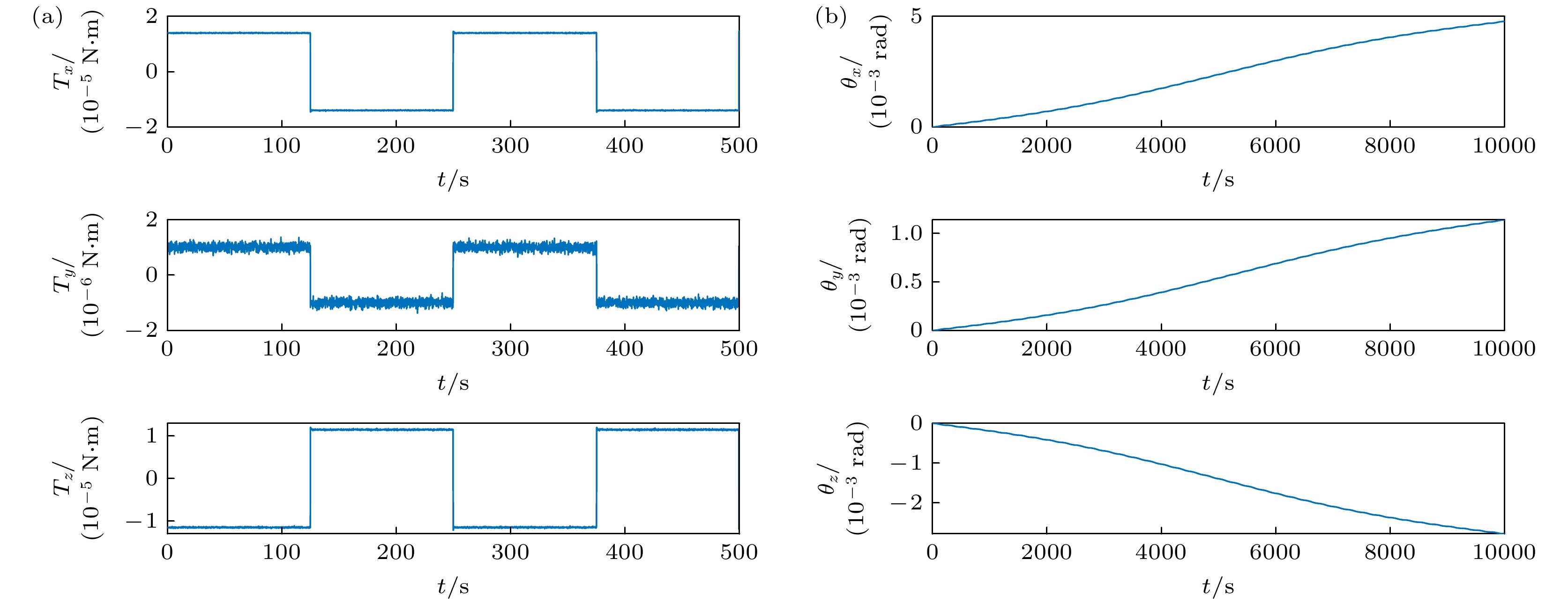
The Taiji program-frequency gravitational waves. The mission's success hinges on the precise operation of its core payloads, particularly the inertial sensors, which are responsible for measuring the residual acceleration noise of the test masses. The duration of a space-based gravitational wave detection mission is 3 to 5 years. During this period, the shift in the satellite’s center of mass due to propellant consumption and other factors, as well as the drift in the scale factors caused by electronic component aging, will gradually degrade the accuracy of inertial sensor data. Therefore, it is necessary to regularly perform in-orbit calibration of inertial sensor parameters.In this work, we develop a calibration scheme, which actively applies controlled satellite oscillations and is tailored according to the installation layout of the inertial sensors in the Taiji program and the noise models. For the calibration of scale factors, high-precision star sensors are used to measure the satellite attitude signal, which is then combined with the driving voltage data from inertial sensors. By using the linear relationship between these signals, the scale factors are estimated using an extended Kalman Filter. For the calibration of center of mass (CoM) offsets, the calibrated scale factors are utilized, along with the driving voltage data from the front-end electronics of inertial sensors, to derive the test mass’s angular acceleration, linear acceleration, and angular velocity. These parameters are then used to complete the CoM offset calibration according to the dynamic equation.The feasibility of the proposed calibration scheme is validated through a simulation experiment. The results demonstrate that the scale factors of the three axes can be calibrated to relative accuracies of 33×10–6 and 173×10–6, respectively, meeting the requirement within 300×10–6. The CoM deviation are calibrated with accuracies of $ {\delta }_{{\boldsymbol{r}}_{1}}= $[15 μm, 31 μm, 34 μm], $ {\delta }_{{\boldsymbol{r}}_{2}}= $[5 μm, 15 μm, 13 μm], satisfying the 75 μm threshold. These results confirm that the proposed scheme can effectively maintain the inertial sensors’ performance within the required accuracy range.All in all, the calibration scheme developed in this study is crucial for maintaining the high performance of inertial sensors in the Taiji program. By achieving the precise calibration of the scale factors and deviation of center of mass within the required accuracy ranges, the scheme ensures the reliability of inertial sensor data, thereby significantly enhancing the sensitivity of space-based gravitational wave detection, which paves the way for groundbreaking discoveries in astrophysics and cosmology.