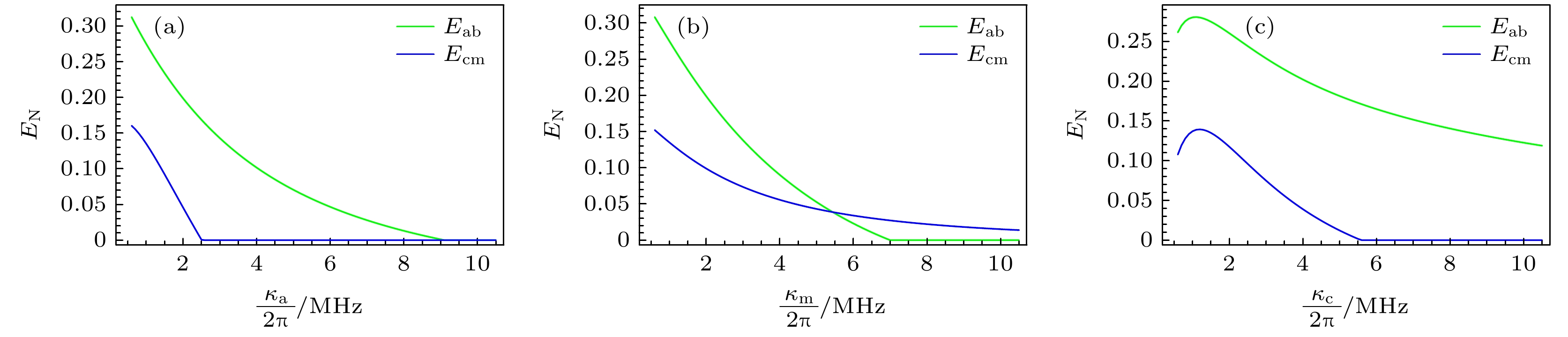
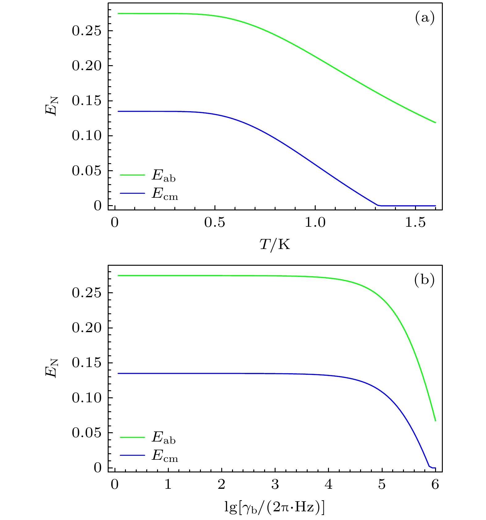
Quantum entanglement is a key resource for performing quantum computing and building quantum communication networks. By injecting a microwave-optical dual-mode entanglement field into the system, as well as pumping the optical and microwave cavities, and by appropriately choosing the detuning relationship between the pumping field and the modes, it is shown in this work that microwave-phonon entanglement Eab and magnon-optics entanglement Ecm can be generated simultaneously in the cavity opto-magnomechanic system, and the entanglement can be in a steady state. Specifically, the model is based on a hybrid quantum system of magnons, where a microwave-light entanglement generated by an optically pulsed superconducting electro-optical device through spontaneous parametric down-conversion process is injected as the intracavity field, and a blue-detuned microwave field is used to excite the magnon modes to produce magnon-phonon entanglement. Through the interaction between an optomechanical beam splitter and microwave-magnon state-swap, steady microwave-phonon entanglement Eab and magnon-optics entanglement Ecm are successfully realized. The entanglement Eab and Ecm in the system are analyzed using the logarithmic negativity. The effects of several parameters of the system, such as environment temperature, coupling strength and dissipation rate, on the degree of entanglement are investigated. In particular, the entanglement Eab and Ecm generated in this system can exist both simultaneously and individually. Especially when gam = 0, the entanglement Eab and Ecm still exist. Moreover, directly injecting entangled microwave-light into the system can significantly enhance the robustness of the entanglement against temperature, which will have broad application prospects in quantum information processing in quantum networks and hybrid quantum systems. Notably, the entanglement Eab and Ecm exist even at a temperature of 1.3 K. Our research has potential value for applications in the fields of quantum information processing and quantum networks.