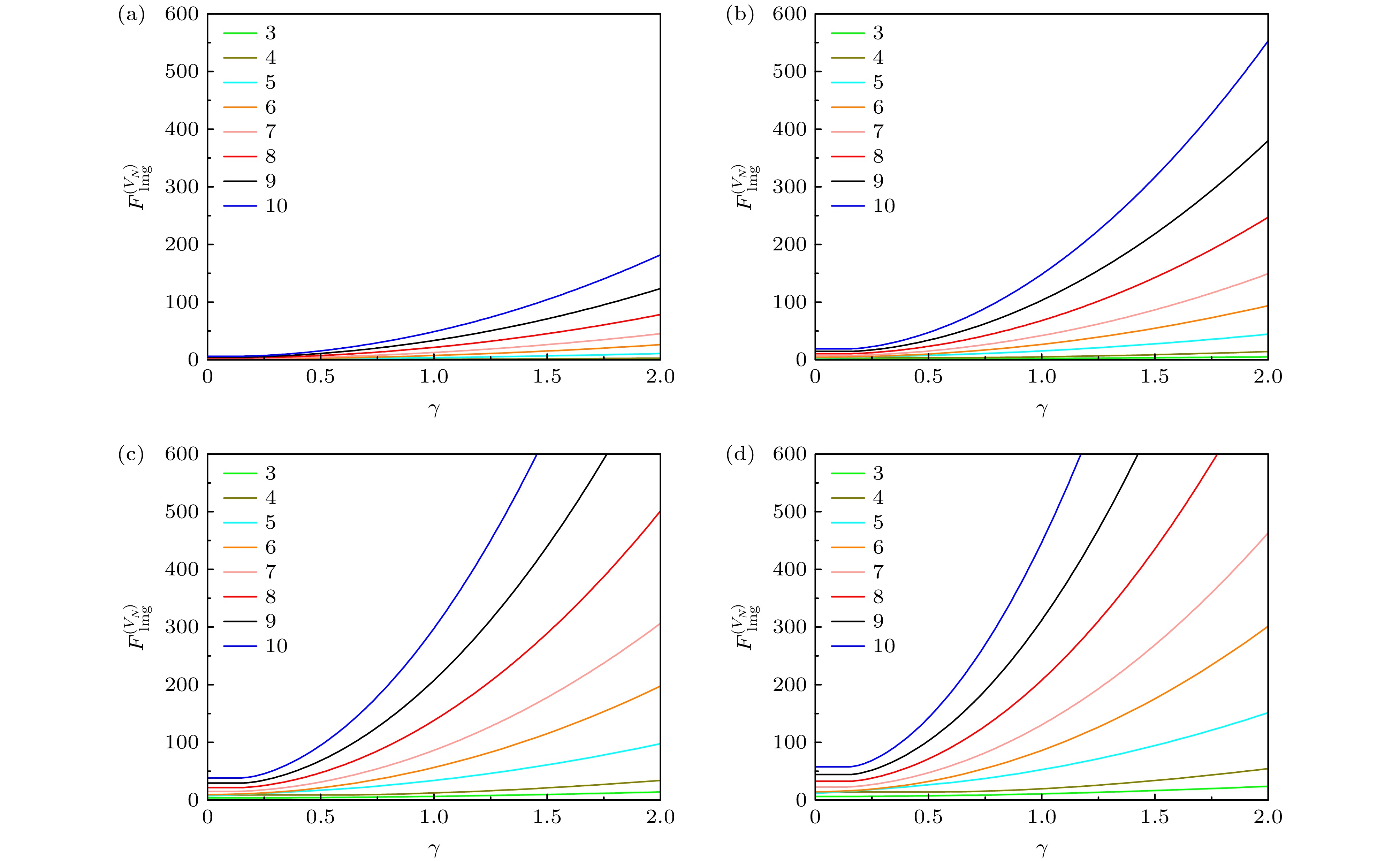
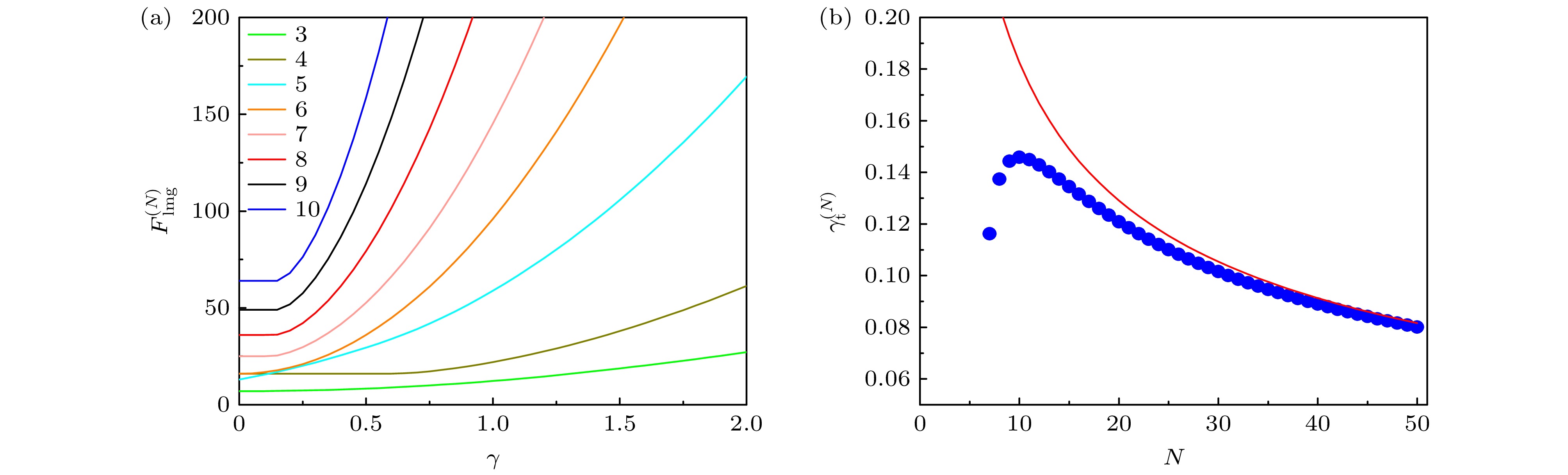
Entanglement detection and classification of multipartite systems remain the key topics in the field of quantum information and science. In this work, we take advantage of the nature that quantum Fisher information (QFI) can witness multipartite entanglement to comprehensively investigate the entanglement detection and classification of multi-qubit $W{\overline{W}} $ states immersed in a white noise environment. In the situation of local operation, by combining the information of the known quantum state, we have presented a criterion with visibility for witnessing the genuine multipartite entanglement and another for identifying the presence of quantum entanglement. Specifically, with respect to the 5-qubit $W{\overline{W}} $ state and 6-qubit $W{\overline{W}} $ state, due to the fact that the maximum QFI of their splitting-structure states exceeds that of the original states, it is infeasible to strictly establish a criterion for detecting the genuine multipartite entanglement. However, we delineate the scope for inferring the possible entanglement structures. Furthermore, it is found that as the number of qubits increases, the conditions for witnessing the genuine multipartite entanglement become increasingly strict, while those for detecting the existence of entanglement grow relatively more relaxed. Taking into account the likelihood of the crosstalk between neighboring qubits during the local operations on the multipartite systems in experiments, we employ the Lipkin-Meshkov-Glick (LMG) model to explore the entanglement classification of diverse multi-qubit multipartite states. It is found that with the increasing interaction strength, even for the strong white noise, the $W{\overline{W}} $ states can still be distinguished, thereby resolving the challenge of managing the entanglement classification under local operation. Besides, as the interaction strength continues to increase, the task of entanglement classification becomes more straightforward. This fully shows the superiority of nonlocal operations over local operations in the aspect of entanglement classification.