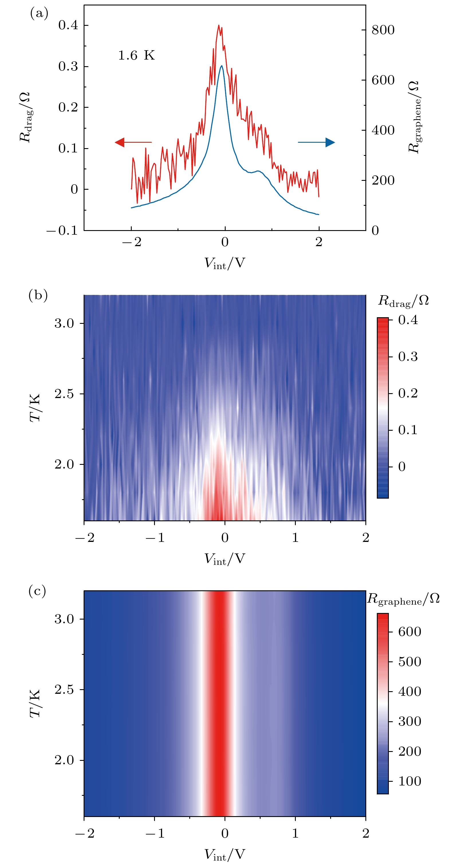
In an electronic double-layer system composed of two spatially adjacent but electrically insulated conductors, when current flows through one conductor (drive layer), its charge carriers transfer energy/momentum to the charge carriers in the other conductor (drag layer) through interlayer Coulomb coupling, thus generating a measurable voltage or current in the drag layer. This phenomenon is known as the interlayer drag effect. This effect provides a critical approach for studying quasiparticle interactions and investigating interlayer-correlated quantum states. Two-dimensional layered materials with highly tunable properties provide new opportunities for exploring the drag effect. In this study, we fabricate an electronic double-layer structure consisting of graphene and NbSe2 to systematically investigate the drag effect between a two-dimensional semimetal and a two-dimensional superconductor, wherein a thin hBN layer serves as the insulating spacer. When graphene acts as the drive layer and NbSe2 acts as the drag layer, a significant positive drag response is observed within the superconducting transition temperature range of NbSe2. In contrast, the drag signal vanishes when NbSe2 is in its normal metallic state. The measurements of magnetic field dependence reveal that the drag response disappears under high fields where the superconductivity of NbSe2 is suppressed, further confirming its direct correlation with the superconducting transition. The gate-voltage modulation experiments reveal that the drag response peaks when adjusting the Fermi level of graphene across the Dirac point. This is attributed to the reduced screening of interlayer interactions due to the ultra-low carrier concentration at this point. Notably, the sign of the supercurrent drag does not depend on the carrier type in graphene, ruling out the traditional momentum-transfer drag mechanism. Our results collectively demonstrate the realization of supercurrent drag effect, which has been attributed to Coulomb coupling between the quantum fluctuations of the superconducting phases in a superconductor and the charge densities in a normal conductor in previous study. Notably, by comparing different devices, it is found that this type of supercurrent drag responses occurs only in the thin NbSe2 layers cleaved in air. No significant signals are detected in thick NbSe2 layers or thin layers cleaved under the protection of argon. These results establish the importance of superconducting inhomogeneity in NbSe2 for generating supercurrent drag effect, indicating that drag measurements can also serve as a novel probe for investigating superconducting properties. Further investigation into the polarity and intensity of supercurrent drag signals may advance our understanding of inhomogeneous superconductivity, as well as interactions between normal carriers and Cooper pairs.