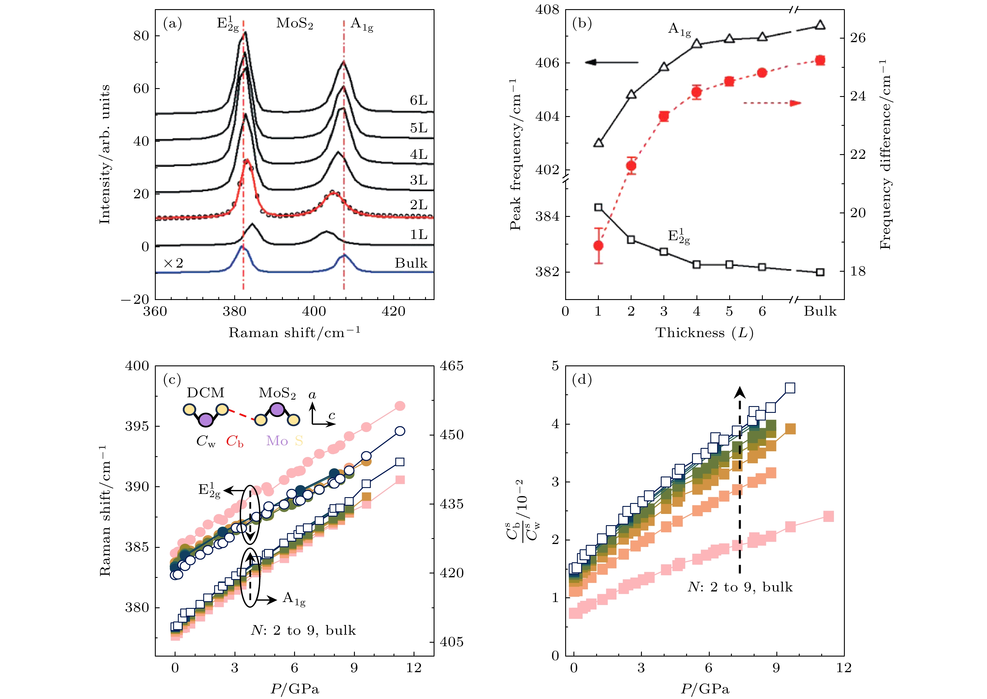
Semiconducting transition metal chalcogenides exhibit layer-dependent bandgaps, strong excitonic effects, and spin-valley coupling, positioning them as promising candidates for optoelectronic applications. In heterostructures formed by van der Waals stacking, interlayer excitons and moiré superlattices have emerged as a unique platform for exploring quantum many-body physics and correlated electronic phases. Subjecting semiconducting transition metal dichalcogenides and their heterostructures to high pressure enables precise, continuous tuning of optoelectronic properties through anisotropic lattice compression, particularly the dramatic reduction of interlayer distances, which greatly enhances interlayer orbital hybridization over traditional tuning methods. This review systematically presents diamond anvil cell techniques for in situ high-pressure characterization and analyzes the pressure-induced evolution in semiconducting transition metal dichalcogenides and their heterostructures. It focuses on four key aspects: 1) Atomic-scale structural phase transitions (e.g., layer sliding) and corresponding electronic band structure modifications, including direct-to-indirect bandgap transitions in monolayers (K-Λ crossover) and metallization/superconductivity; 2) Quantifiable enhancement of interlayer interactions revealed by layer-dependent phonon shifts and spin-orbit splitting amplification, along with the mechanisms of their influence on properties; 3) Modulation of exciton binding states and related mechanisms, covering intralayer excitons, trions and interlayer excitons; 4) Moiré potential modulation where high pressure significantly deepens potentials via interlayer compression. This review particularly highlights the unique capability of high pressure in enhancing interlayer orbital hybridization, thereby inducing exotic quantum phases. Finally, the future research directions in this field are outlined to advance quantum information device design, strongly correlated electron system simulation, and the novel excitonic state exploration.