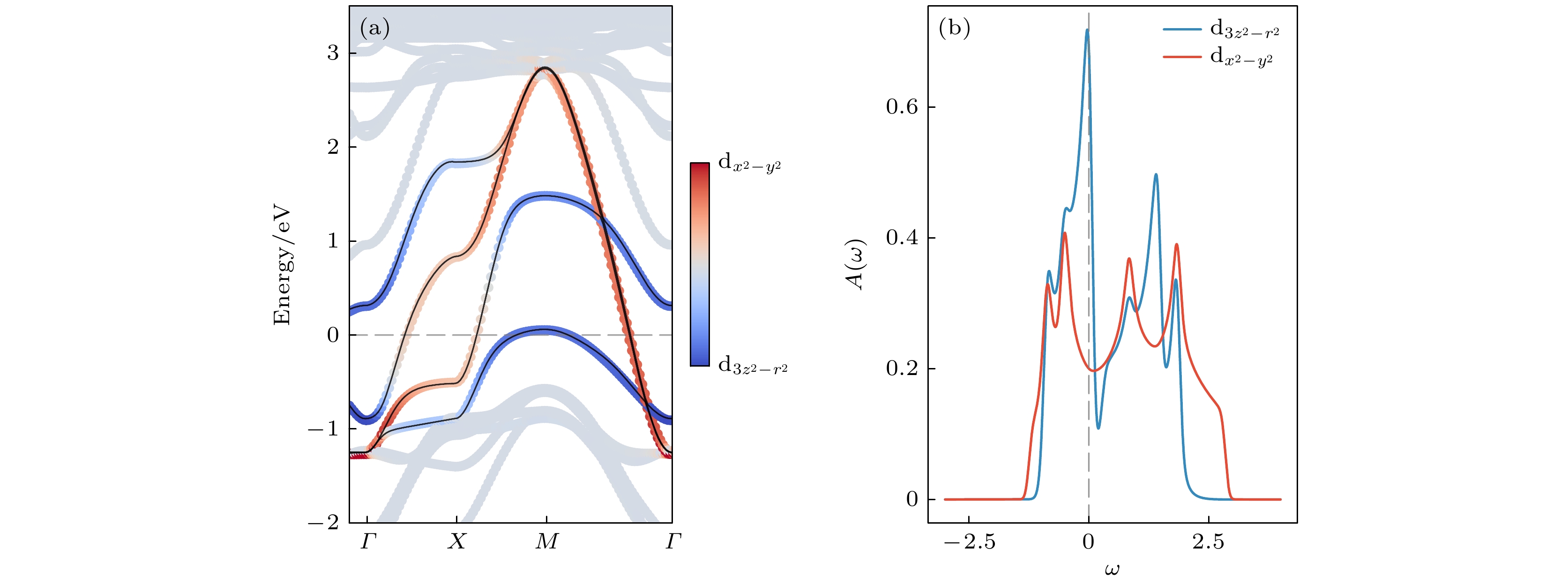
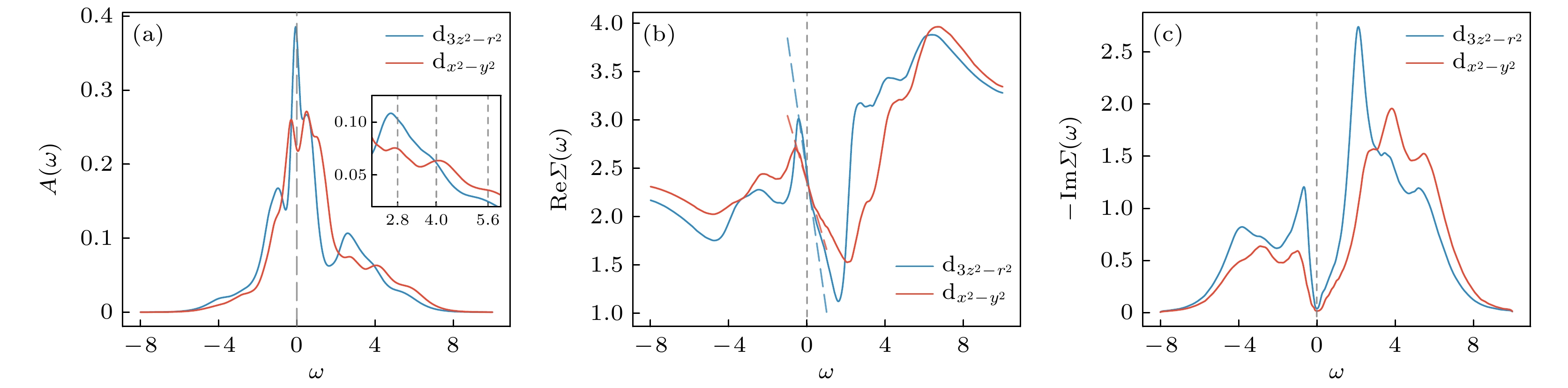
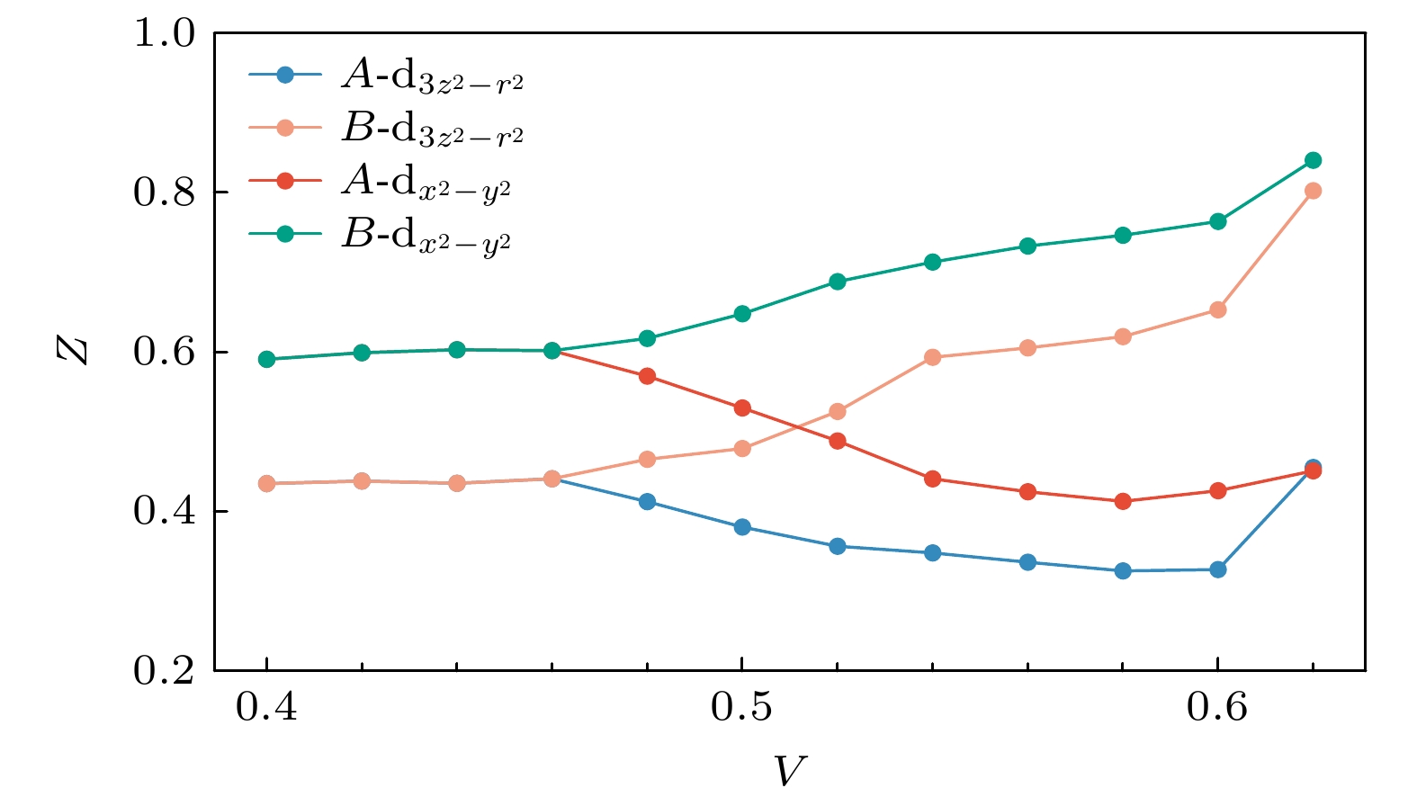
The bilayer nickelate La3Ni2O7, a member of the Ruddlesden–Popper series, has recently received significant attention due to its superconductivity under high pressure (above 14 GPa) with a transition temperature of approximately 80 K. Its unique bilayer structure results in an electronic configuration significantly different from those observed in cuprates and infinite-layer nickelates. Consequently, understanding its correlated electronic structure and superconducting mechanism has become a topic of major scientific importance. Recent experimental observations have further identified the coexistence of charge and spin density wave orders in La3Ni2O7, suggesting a complex interplay between various competing electronic phases and superconductivity.In this work, the charge order in La3Ni2O7 is investigated using a low-energy effective model that explicitly includes the Ni-eg orbitals. By employing a combined density functional theory and dynamical mean-field theory (DFT+DMFT) framework, the influences of the nearest-neighbor Coulomb interaction V on charge ordering and electronic correlation effects are investigated, with nonlocal interactions treated at the Hartree approximation level. Our computational method features a newly developed tensor-network impurity solver, in which a natural-orbital basis and complex-time evolution are utilized, facilitating efficient and accurate evaluation of the Green's function on the real-frequency axis. Our analysis indicates that for interaction strengths below a critical value ($ V \leqslant V_{{\mathrm{c}}1} \approx 0.46 $ eV), the system retains sublattice symmetry, resulting in minimal changes of the spectral function. Several high-energy fine structures identified within the Hubbard bands correspond to the residual atomic multiplet excitations, enabling the extraction of effective Hubbard parameters. When $ V>V_{{\mathrm{c}}1} $, the sublattice symmetry is disrupted and the system transitions to a charge-ordered state. Spectral features systematically evolve with the increase of charge order, providing a clear benchmark for quantitatively evaluating the degree of charge disproportionation based on experimental data. The quasiparticle weight Z exhibits a nonmonotonic behavior with the increase of V, reaching a minimum value of nearly $ V \approx 0.60 $ eV in the more populated sublattice as it approaches half-filling. When the interaction further increases beyond $ V_{{\mathrm{c}}2} \approx 0.63 $ eV, the system becomes fully charged polarized, characterized by one sublattice becoming almost empty and the other substance being nearly three-quarters filled.These findings underscore the critical role of nonlocal Coulomb interactions in driving charge disproportionation and regulating electron correlation, thereby providing new insights into the low-energy ordering phenomena of bilayer nickelates.