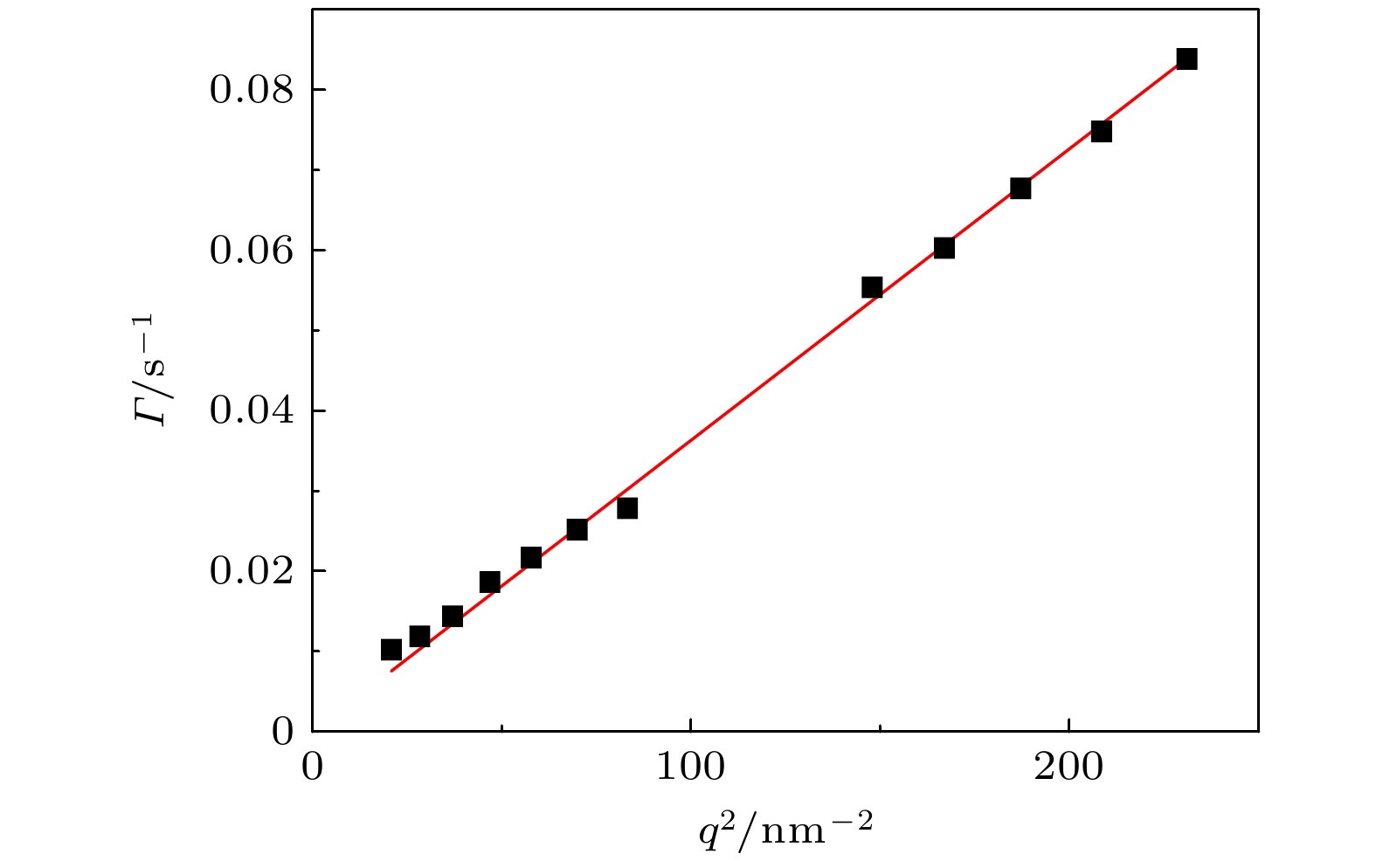
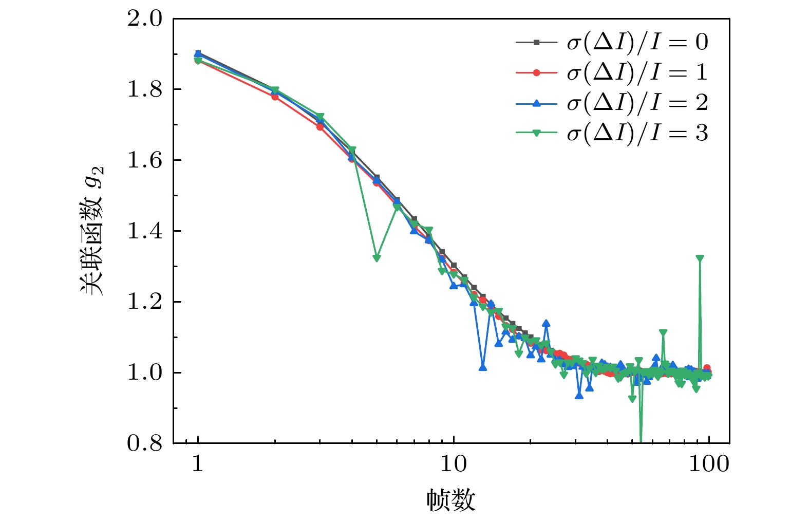
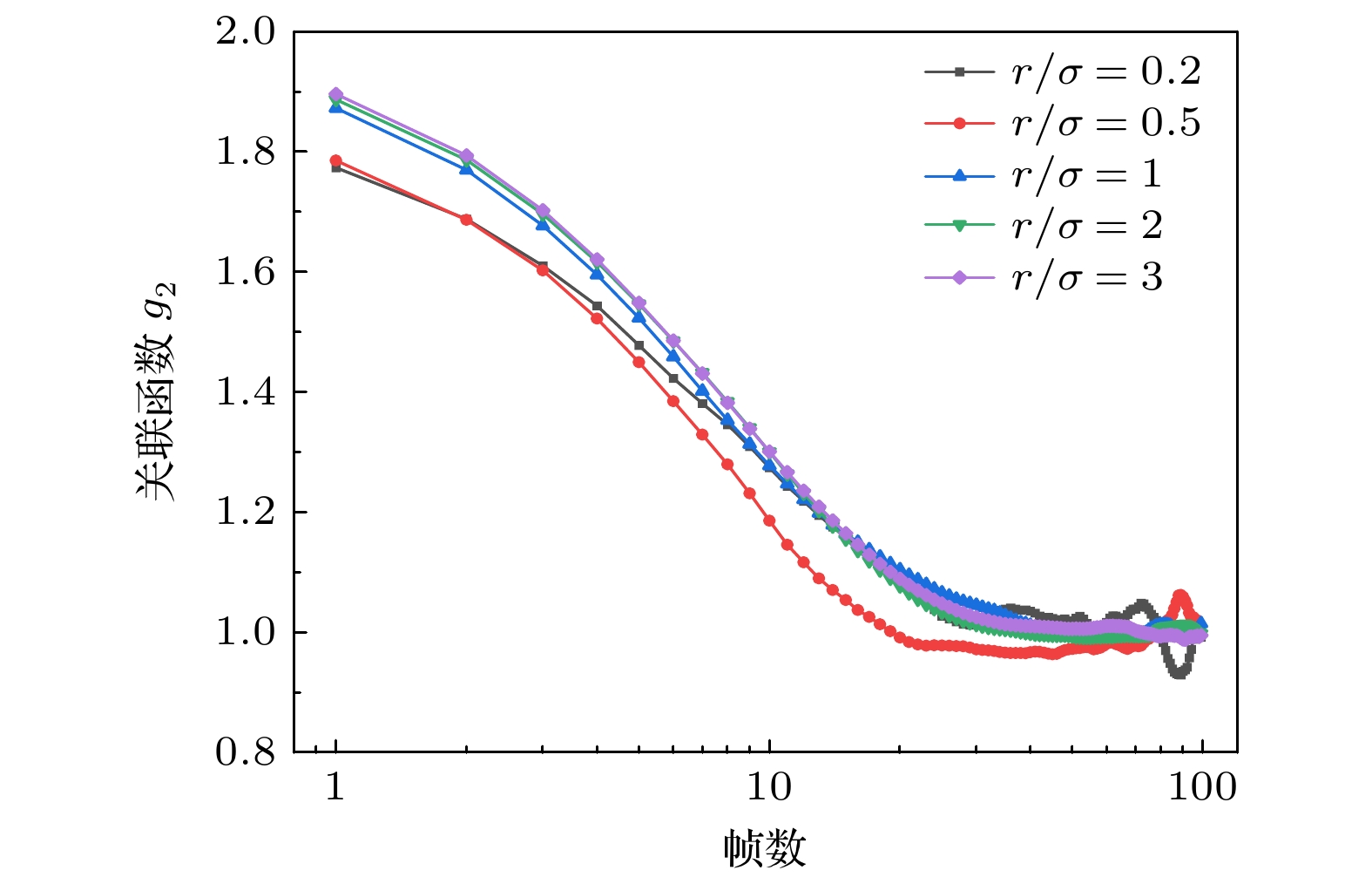
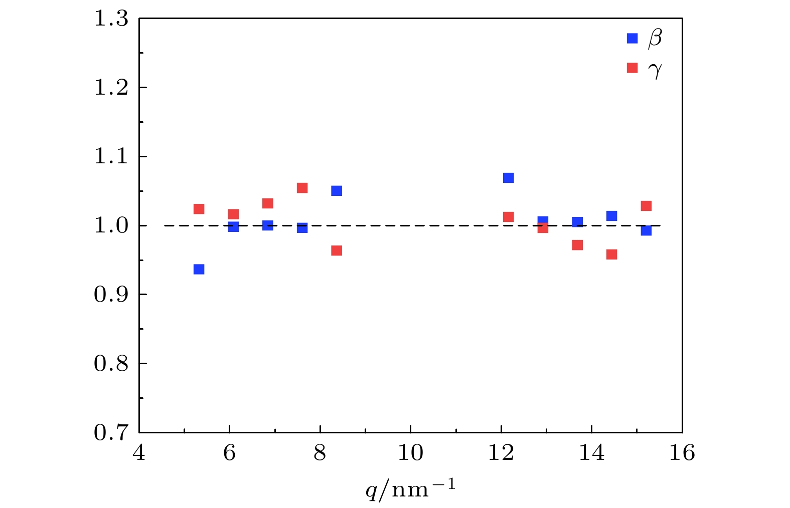
| [6] |
Ren Jie, Ruan Xi-Chao, Chen Yong-Hao, Jiang Wei, Bao Jie, Luan Guang-Yuan, Zhang Qi-Wei, Huang Han-Xiong, Wang Zhao-Hui, An Qi, Bai Huai-Yong, Bao Yu, Cao Ping, Chen Hao-Lei, Chen Qi-Ping, Chen Yu-Kai, Chen Zhen, Cui Zeng-Qi, Fan Rui-Rui, Feng Chang-Qing, Gao Ke-Qing, Gu Min-Hao, Han Chang-Cai, Han Zi-Jie, He Guo-Zhu, He Yong-Cheng, Hong Yang, Huang Wei-Ling, Huang Xi-Ru, Ji Xiao-Lu, Ji Xu-Yang, Jiang Hao-Yu, Jiang Zhi-Jie, Jing Han-Tao, Kang Ling, Kang Ming-Tao, Li Bo, Li Chao, Li Jia-Wen, Li Lun, Li Qiang, Li Xiao, Li Yang, Liu Rong, Liu Shu-Bin, Liu Xing-Yan, Mu Qi-Li, Ning Chang-Jun, Qi Bin-Bin, Ren Zhi-Zhou, Song Ying-Peng, Song Zhao-Hui, Sun Hong, Sun Kang, Sun Xiao-Yang, Sun Zhi-Jia, Tan Zhi-Xin, Tang Hong-Qing, Tang Jing-Yu, Tang Xin-Yi, Tian Bin-Bin, Wang Li-Jiao, Wang Peng-Cheng, Wang Qi, Wang Tao-Feng, Wen Jie, Wen Zhong-Wei, Wu Qing-Biao, Wu Xiao-Guang, Wu Xuan, Xie Li-Kun, Yang Yi-Wei, Yi Han, Yu Li, Yu Tao, Yu Yong-Ji, Zhang Guo-Hui, Zhang Lin-Hao, Zhang Xian-Peng, Zhang Yu-Liang, Zhang Zhi-Yong, Zhao Yu-Bin, Zhou Lu-Ping, Zhou Zu-Ying, Zhu Dan-Yang, Zhu Ke-Jun, Zhu Peng. In-beam γ-rays of back-streaming white neutron source at China Spallation Neutron Source. Acta Physica Sinica,
2020, 69(17): 172901.
doi: 10.7498/aps.69.20200718
|