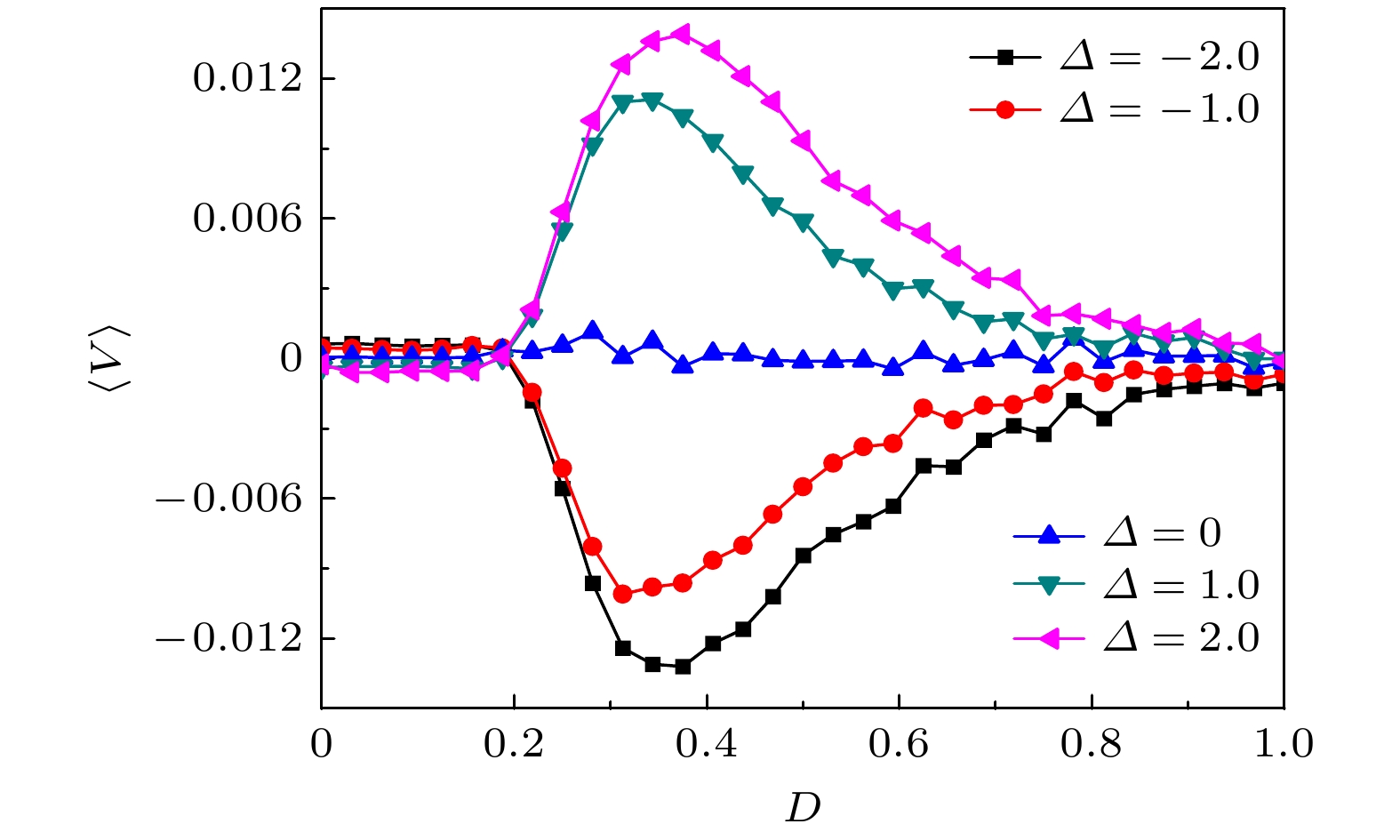
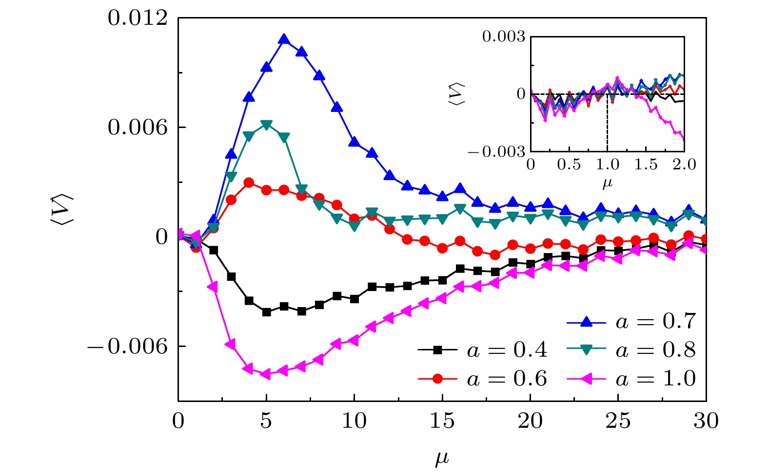
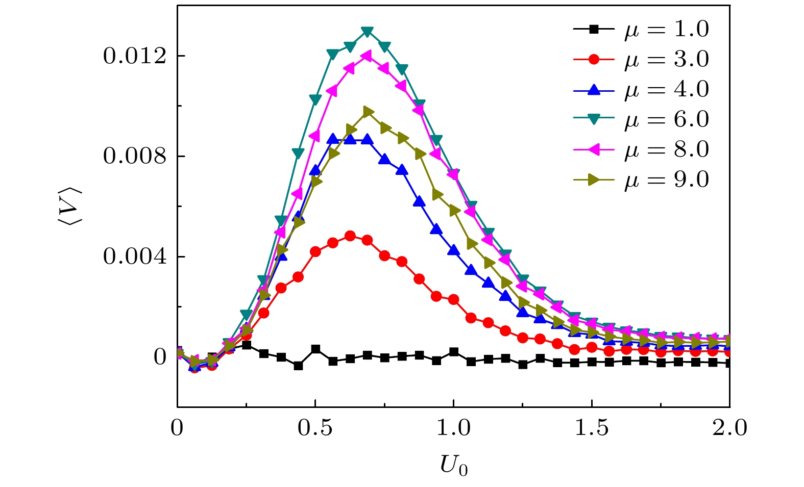
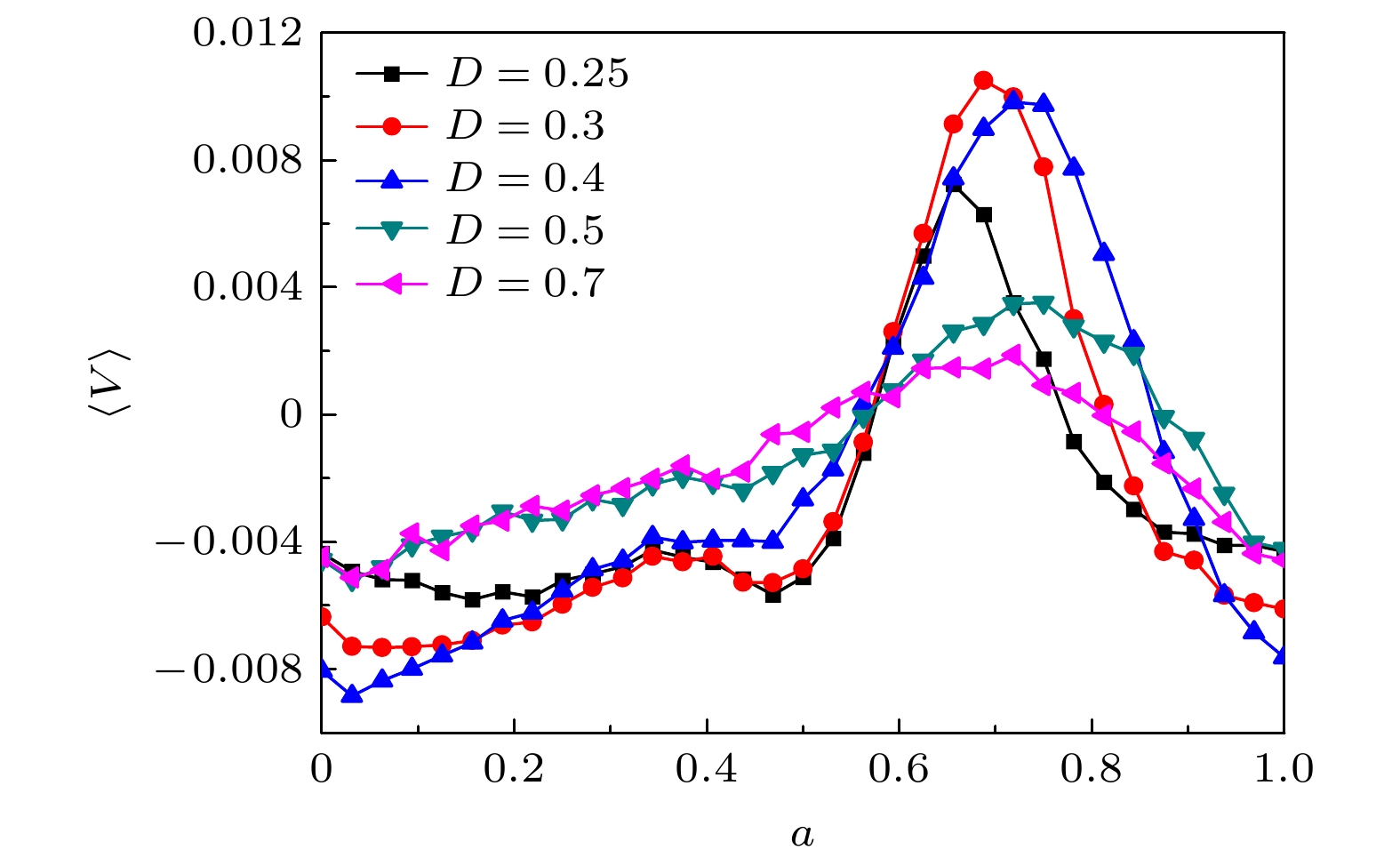
In recent years, the physics of systems with non-reciprocal interactions has received increasing attention. Systems with non-reciprocal interactions are existent in soft matters, active matters, as well as biological and artificial nanoscale systems. The directional transport of coupled Brownian particles with nonreciprocal interactions is investigated by establishing a nonreciprocal coupled Brownian ratchet model. The effects of parameters such as the coupling free length, thermal noise intensity, and the ratio of nonreciprocal coupling strength coefficients on the directional transport of ratchets are systematically examined in this work.The research result reveals that the flow reversal of particles can be induced by adjusting the coupling free length. Meanwhile, there exists an optimal ratio of coupling strength coefficients that maximizes the directional transport of the nonreciprocally coupled Brownian particles. These findings demonstrate that the nonreciprocal interactions indeed enhance the directional transport of coupled system. Additionally, directional transport control can be achieved by modulating parameters such as thermal noise intensity, asymmetry coefficient, and external potential barrier height. Future research may further explore the dynamical mechanisms of nonreciprocal interactions in complex environments, especially the swarm behaviors in many-particle systems. Furthermore, by combining relevant experimental and theoretical studies, deeper insights can be gained into the regularity and universality of non-reciprocal interactions in both natural and artificial nanoscale systems.