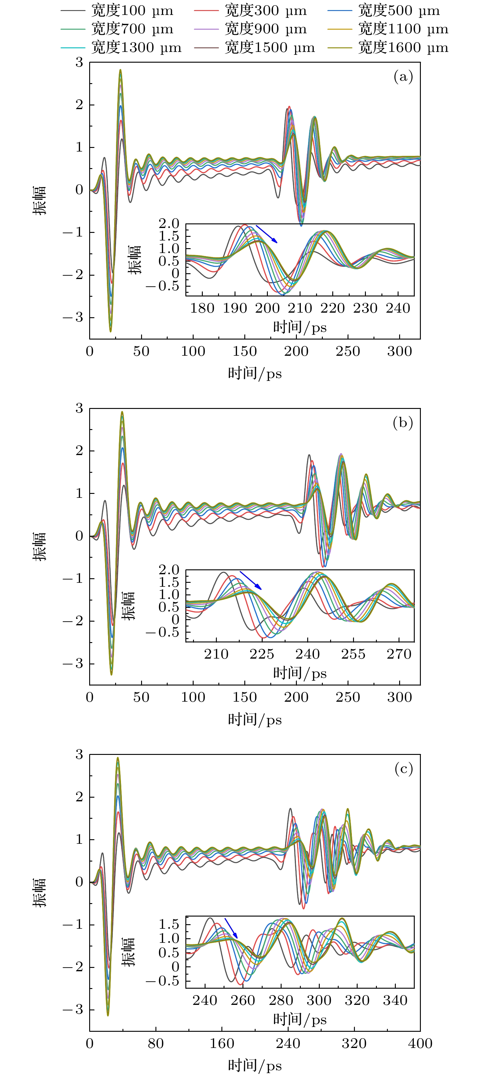
Terahertz waves have broad application prospects in fields such as food quality, biomedicine, and security communication. However, the dispersion and loss during transmission limit the development of terahertz systems. This study focuses on the dispersion characteristics of microstrip lines in the terahertz low-frequency range. By combining theoretical modeling, numerical simulation, and experimental verification, the dispersion mechanism and key influencing factors of microstrip lines are systematically analyzed, providing theoretical support for low dispersion, high-performance terahertz integrated circuits and systems. This study is based on electromagnetic field theory, dividing microstrip line dispersion into dielectric dispersion, geometric dispersion, and conductor dispersion, and introducing a modified model to overcome the limitations of traditional quasi-static theory in the high frequency range. In this study, the CST time-domain finite difference simulation and terahertz time-domain pulse reflection (TDR) technology are employed to conduct multidimensional simulation and examine three different dielectric constant substrates (2.2, 3, 4.5), wire widths (100–1600 μm), lengths (10–150 mm) and other parameters. The pulse broadening coefficient is introduced to quantitatively evaluate the dispersion characteristics of microstrip lines. The results indicate that the increase in substrate dielectric constant significantly enhances the dispersion effect. When εr increases from 2.2 to 4.5, the increase in equivalent dielectric constant leads to a decrease in pulse transmission speed. When the wire width increases from 100 μm to 1600 μm, the pulse broadening coefficient dominated by geometric dispersion increases from 3.12 to 5.12, with an increase of 38%. However, when the wire length increases from 10 mm to 150 mm, the cumulative dispersion increases the broadening coefficient from 2.12 to 3.18, with an increase of 33%, verifying the sensitivity of width to dispersion control. The simulation result once again shows that due to the small skin depth of terahertz waves on metal surfaces, the difference in conductivity among the three conductor materials of gold, silver, and copper (4.1×107–6.3×107 S/m) can be ignored in terms of dispersion effect. According to the actual measurement and fitting results, the geometric dispersion of microstrip lines is more significant than the dispersion loss caused by length accumulation. In addition, simulation, experimental testing, and theoretical analysis are all in good consistency with each other. The conclusion indicates that optimizing the design of microstrip lines requires priority control of the dielectric constant and wire width of substrate material to suppress the synergistic effect of geometric dispersion and dielectric dispersion, providing quantifiable design criteria for high bandwidth and low distortion transmission in terahertz communication systems, and laying experimental and theoretical foundations for the engineering application of terahertz integrated circuits.