-
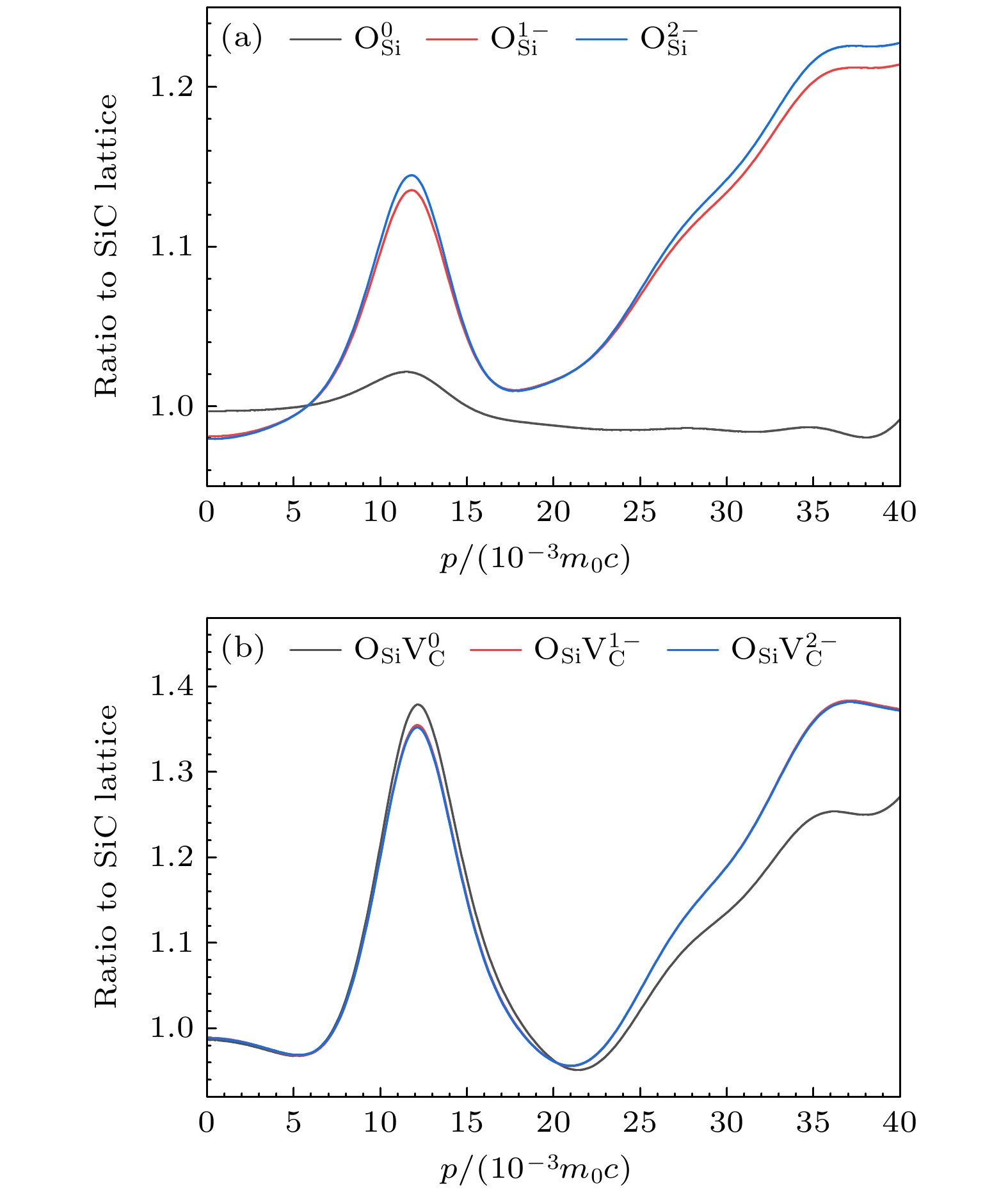
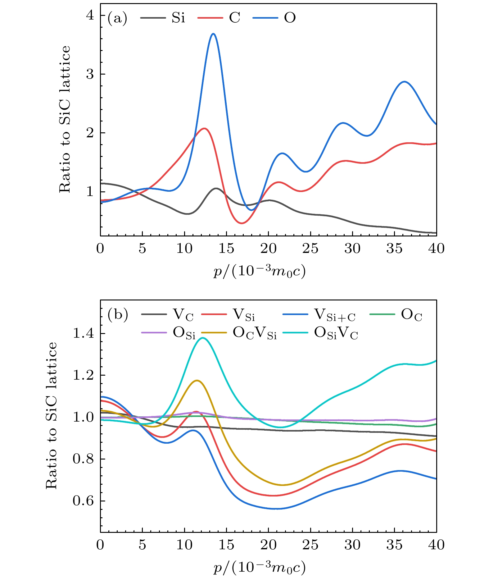
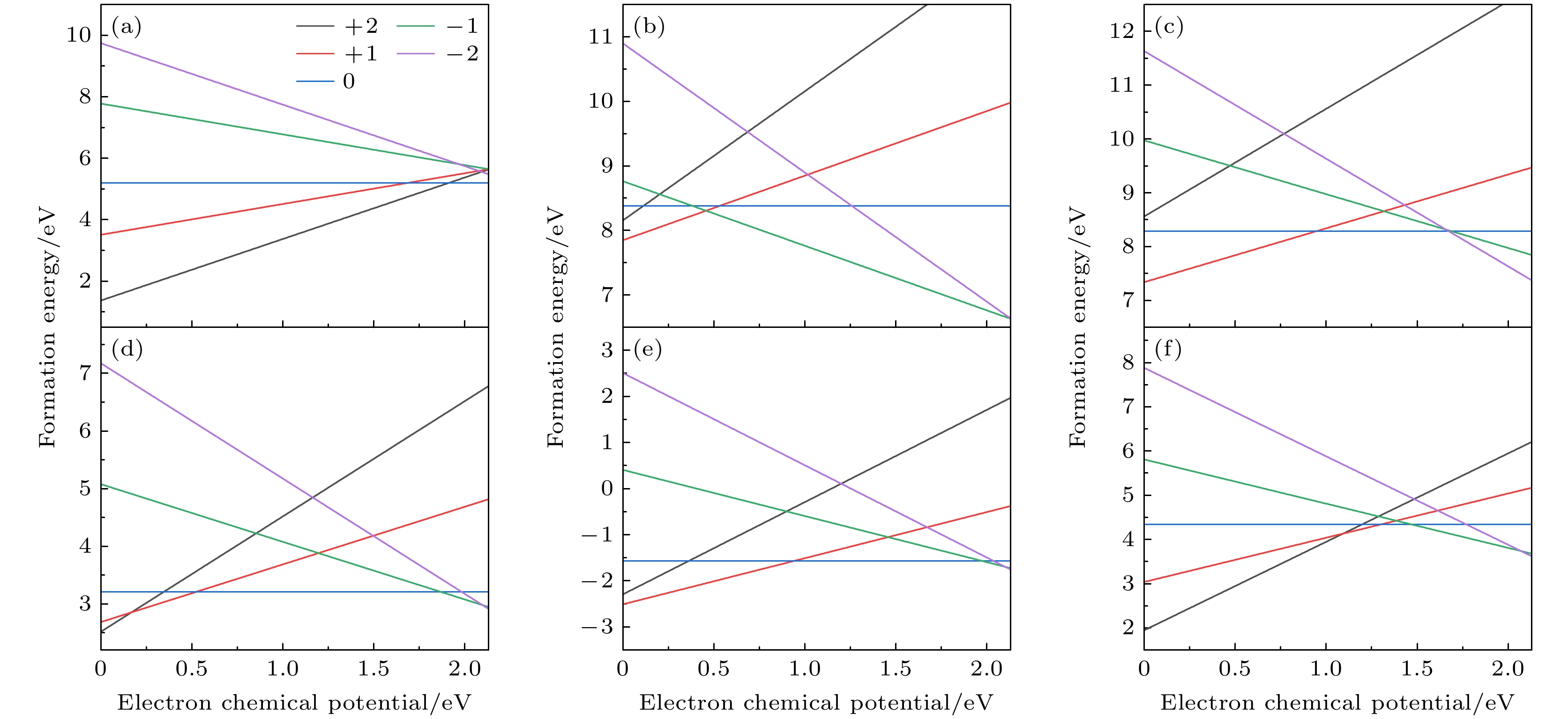
Based on density functional theory (DFT), the formation energies of intrinsic vacancy defects (VC, VSi, and VSi+C) and oxygen-related defects (OC, OSi, OCVSi, and OSiVC) in 3C-SiC are calculated. The results indicate that all defects considered, except for OC, possess neutral or negative charge states, thereby making them suitable for detection by positron annihilation spectroscopy (PAS). Furthermore, the electron and positron density distributions and positron annihilation lifetimes for the perfect 3C-SiC supercell and various defective configurations are computed. It is found that the OSi and OSiVC complexes act as effective positron trapping centers, leading to the formation of positron trapped states and a notable increase in annihilation lifetimes at the corresponding defect sites. In addition, coincidence Doppler broadening (CDB) spectra, along with the S and W parameters, are calculated for both intrinsic and oxygen-doped point defects (OC, OSi, OCVSi, and OSiVC). The analysis reveals that electron screening effects dominate the annihilation characteristics of the OSi defect, whereas positron localization induced by the vacancy is the predominant contributor in the case of OSiVC. This distinction results in clearly different momentum distributions of these two oxygen-related defects for different charge states. Overall, the PAS is demonstrated to be a powerful technique for distinguishing intrinsic vacancy-type defects and oxygen-doped composites in 3C-SiC. Combining the analysis of electron and positron density distributions, the electron localization and positron trapping behavior in defect systems with different charge states can be comprehensively understood. These first-principles results provide a solid theoretical foundation for identifying and characterizing the defects in oxygen-doped 3C-SiC by using positron annihilation spectroscopy.
-
Keywords:
- 3C-SiC /
- positron annihilation lifetime /
- Doppler broadening spectra /
- point defect
[1] [2] [3] [4] [5] [6] [7] [8] [9] [10] [11] [12] [13] [14] [15] [16] [17] [18] [19] [20] [21] [22] [23] [24] [25] [26] [27] [28] [29] [30] [31] [32] [33] [34] [35] [36] [37] [38] [39] [40] [41] [42] [43] [44] [45] [46] [47] [48] [49] [50] [51] [52] [53] [54] [55] [56] [57] -
类型 BNLDA APGGA PHNCGGA QMCGGA 文献 体相 150 150 147 153 145[56] ${\text{V}}_{\text{C}}^{0}$ 151 150 147 152 150[23] ${\text{V}}_{{\text{Si}}}^{0}$ 241 238 233 242 227[54] ${\text{V}}_{{\text{Si}}}^{1 - }$ 237 233 229 238 225[54] ${\text{V}}_{{\text{Si}}}^{2 - }$ 236 232 228 237 222[54] ${\text{V}}_{{\text{Si} + {\text{C}}}}^{0}$ 250 249 243 251 ${\text{V}}_{{\text{Si} + {\text{C}}}}^{1 - }$ 243 242 236 245 ${\text{V}}_{{\text{Si} + {\text{C}}}}^{2 - }$ 239 244 235 242 ${\text{O}}_{{\text{Si}}}^{0}$ 164 170 164 169 ${\text{O}}_{{\text{Si}}}^{1 - }$ 167 187 175 176 ${\text{O}}_{{\text{Si}}}^{2 - }$ 167 187 174 175 ${{\text{O}}_{\text{C}}}{\text{V}}_{{\text{Si}}}^{0}$ 239 242 234 242 ${{\text{O}}_{\text{C}}}{\text{V}}_{{\text{Si}}}^{1 - }$ 237 242 234 240 ${{\text{O}}_{\text{C}}}{\text{V}}_{{\text{Si}}}^{2 - }$ 234 240 231 238 ${{\text{O}}_{{\text{Si}}}}{\text{V}}_{\text{C}}^{0}$ 181 186 180 186 ${{\text{O}}_{{\text{Si}}}}{\text{V}}_{\text{C}}^{1 - }$ 183 202 190 192 ${{\text{O}}_{{\text{Si}}}}{\text{V}}_{\text{C}}^{2 - }$ 183 202 190 191 Defect type Srel Wrel VC 1.020 0.948 VSi 1.063 0.872 VSi+C 1.082 0.790 OC 1.000 0.999 OSi 0.997 1.009 OCVSi 1.025 1.002 OSiVC 0.988 1.228 Defect type Srel Wrel ${\text{O}}_{{\text{Si}}}^{0}$ 0.997 1.009 ${\text{O}}_{{\text{Si}}}^{1 - }$ 0.984 1.087 ${\text{O}}_{{\text{Si}}}^{2 - }$ 0.983 1.092 ${{\text{O}}_{{\text{Si}}}}{\text{V}}_{\text{C}}^{0}$ 0.988 1.228 ${{\text{O}}_{{\text{Si}}}}{\text{V}}_{\text{C}}^{1 - }$ 0.990 1.210 ${{\text{O}}_{{\text{Si}}}}{\text{V}}_{\text{C}}^{2 - }$ 0.990 1.209 -
[1] [2] [3] [4] [5] [6] [7] [8] [9] [10] [11] [12] [13] [14] [15] [16] [17] [18] [19] [20] [21] [22] [23] [24] [25] [26] [27] [28] [29] [30] [31] [32] [33] [34] [35] [36] [37] [38] [39] [40] [41] [42] [43] [44] [45] [46] [47] [48] [49] [50] [51] [52] [53] [54] [55] [56] [57]
Catalog
Metrics
- Abstract views: 1627
- PDF Downloads: 22
- Cited By: 0









DownLoad: