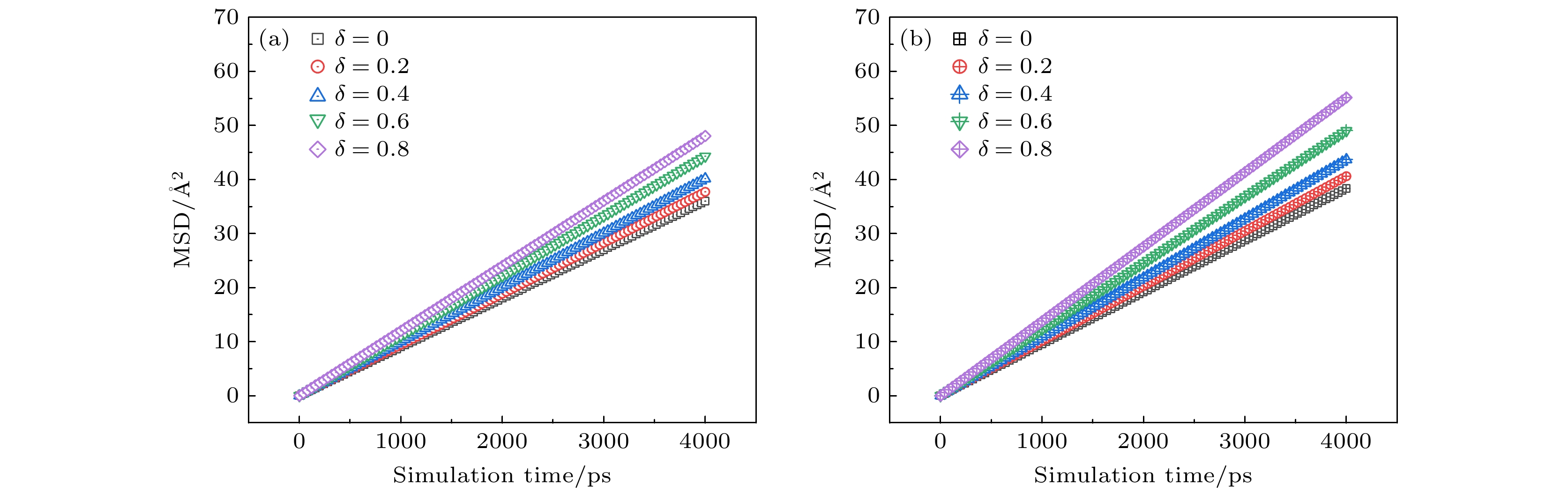
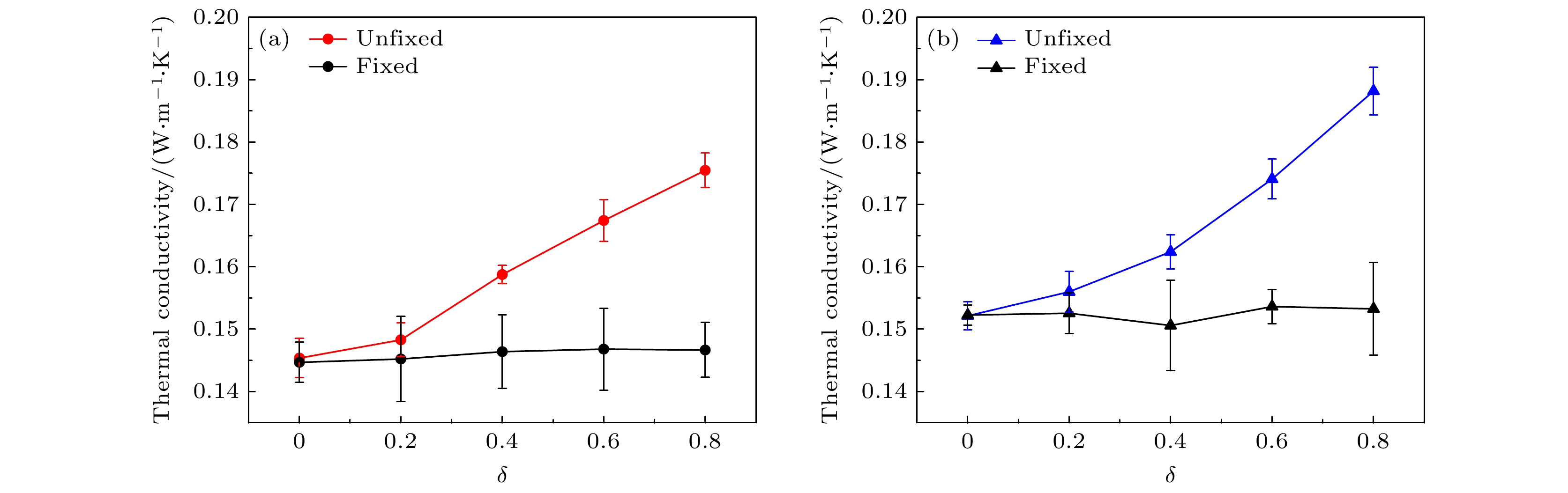
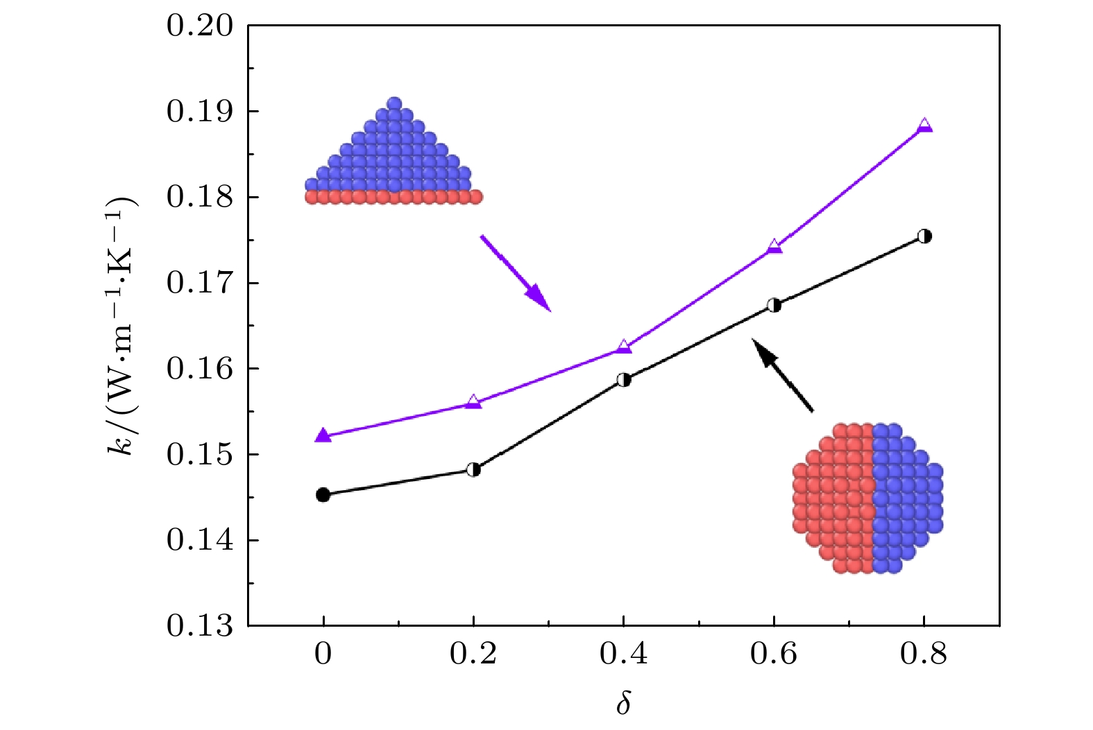
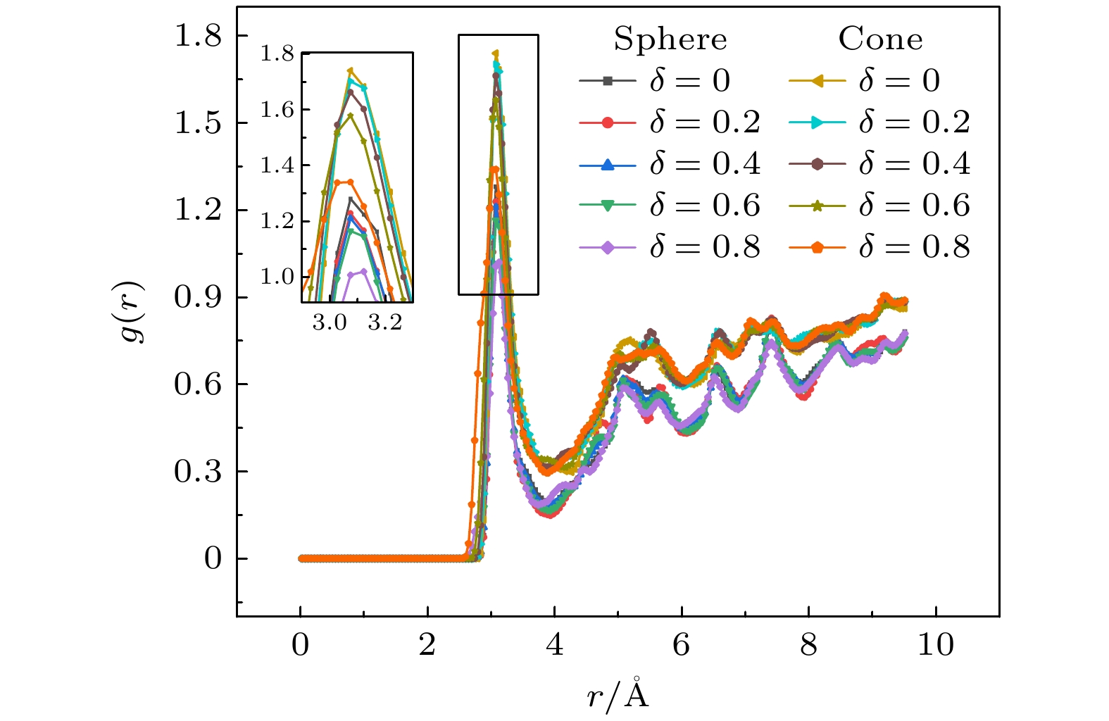
It has been reported that the thermal conductivity of the nanofluids can be enhanced by adding Janus nanoparticles into the base fluid. Additionally, the non-spherical nanoparticles also affect the thermal characteristics of nanofluids. In this work, conical nanoparticles are designed as Janus nanoparticles with hydrophilic side and hydrophobic bottom, which are suspended in the base fluid to form cone-shaped Janus nanofluids. By using molecular dynamics (MD) simulations, it is found that the thermal conductivity of conical Janus nanofluids can be enhanced by 43.4% compared with that of the base fluid, whereas the spherical Janus nanofluids indicate an increase of 33.7% under the same volume fraction. According to MD simulation results of the RDF and diffusion coefficients of solid particle and base fluid, the increased thermal conductivity observed in conical nanofluids can be attributed to the higher liquid layer density and the enhanced Brownian motion of the conical particles. For Janus nanofluids, the asymmetrical structure of Janus nanoparticles leads to higher diffusion coefficient than that of normal particles, which enhances the colliding possibility of Janus nanoparticles with surrounding liquid molecules, thus resulting in enhanced heat transfer in Janus nanofluids. In this paper, both fixed and unfixed particles are considered to explore the influence of particle diffusion on nanofluids. Under the fixed condition, the Brownian motion of the nanoparticles is artificially excluded, while under the unfixed condition, the particle can diffuse in the base liquid. It is found that for both spherical and conical Janus nanofluids, the thermal conductivity of Janus nanofluids gradually increases with the augment of asymmetry parameter δ under unfixed conditions. However, under fixed conditions, the thermal conductivity of Janus nanofluids is almost independent of the parameter δ. Therefore, the enhanced Brownian motion of the non-spherical particles is a likely reason of the increased thermal conductivity observed in conical Janus nanofluids. The combination of non-spherical particles and Janus particles provides a promising idea for designing nanofluids with high thermal conductivity.