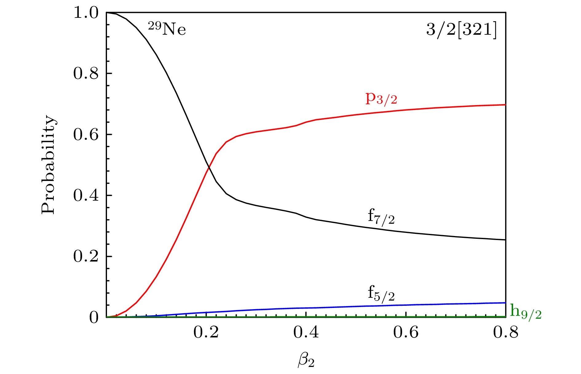
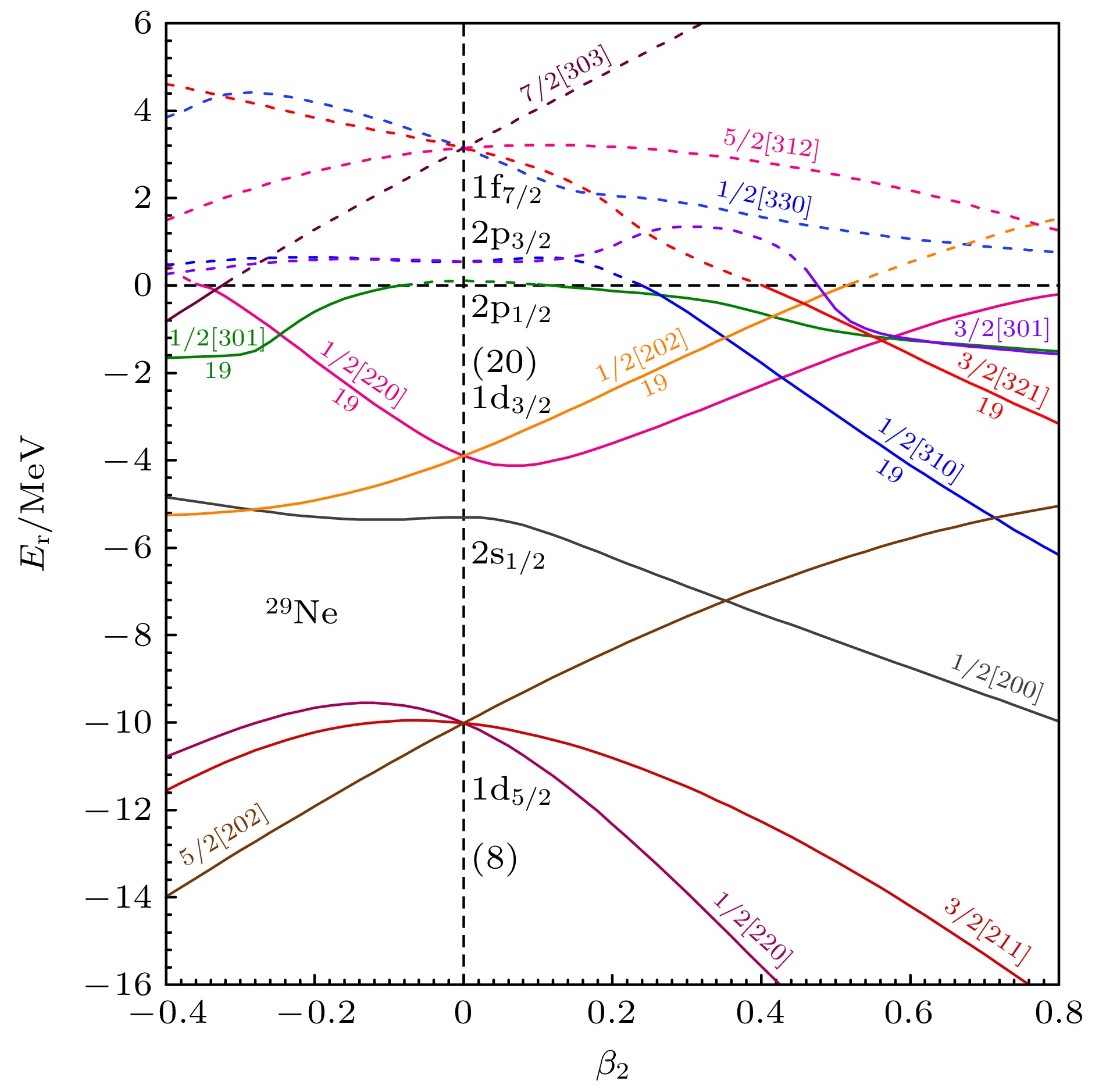
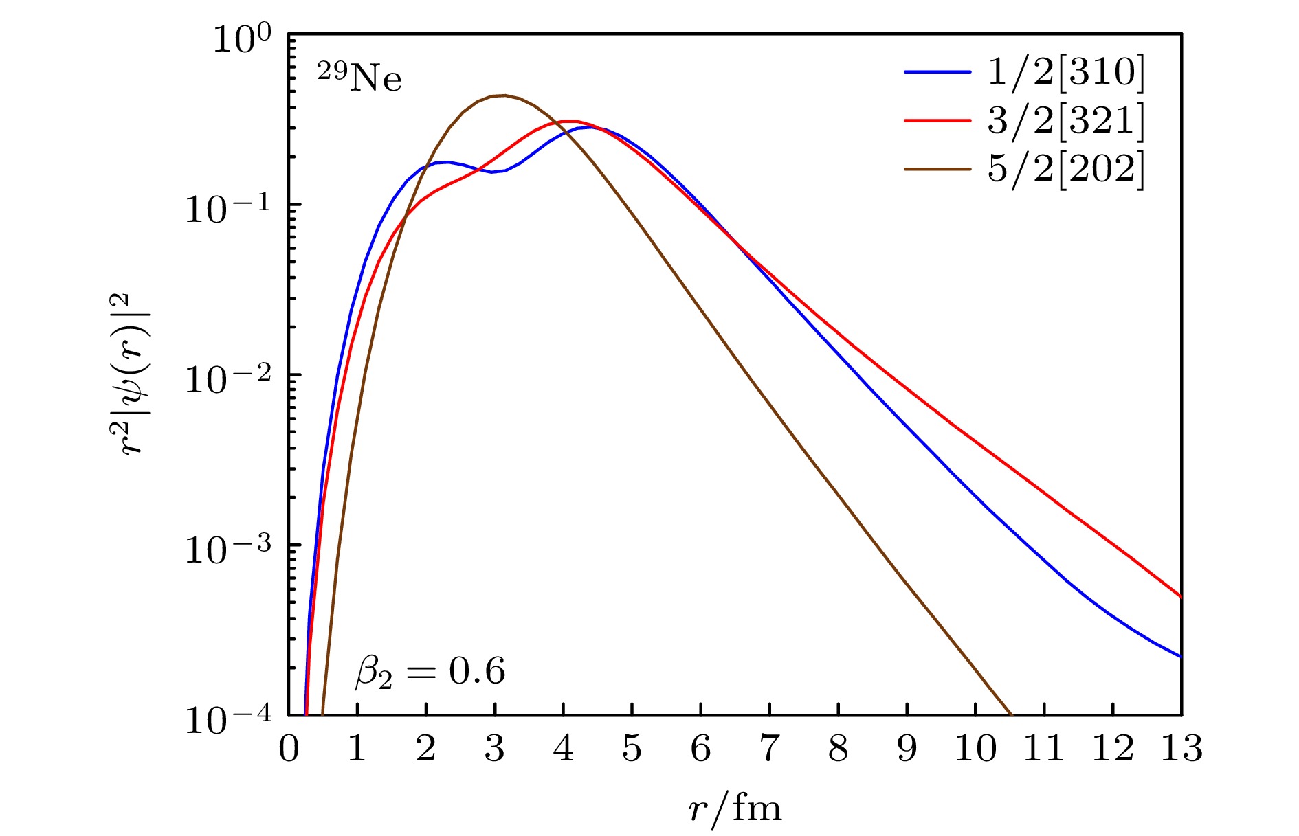
The neutron-rich nucleus 29Ne, located in the $N = 20$ “island of inversion” challenges traditional shell-model predictions by exhibiting a ground-state valence neutron configuration primarily influenced by the $2{\mathrm{p}}_{3/2}$ orbital rather than the anticipated $1{\mathrm{f}}_{7/2}$ orbital. This study aims to reveal the mechanisms behind this shell inversion and explore the potential halo structure in 29Ne, by using the interplay between weak binding, deformation, and low-$\ell$ orbital occupancy.The complex-momentum representation (CMR) method is used within a relativistic framework by integrating relativistic mean-field (RMF) theory with Woods-Saxon potentials to describe bound states, resonances, and continuum states. The model combines quadrupole deformation (β2) to analyze single-particle energy evolution, orbital mixing, and radial density distribution. Key parameters are calibrated based on experimental data, including binding energy and neutron separation energy.The key results are presented below.1) Shell inversion: In the spherical limit ($\beta_2 = 0$), the $2{\mathrm{p}}_{1/2}$ and $2{\mathrm{p}}_{3/2}$ orbitals drop below the $1{\mathrm{f}}_{7/2}$ orbital, confirming the collapse of the $N = 20$ shell gap.2) Deformation-driven halo: For β2 ≥ 0.58, the valence neutrons occupy 3/2[321] orbital (derived from 1f7/2), but due to strong l-mixing, the p3/2 component accounts for 68%. This orbital exhibits a diffuse radial density distribution, indicating a halo structure.3) Experimental consistency: The predicted ground-state spin-parity ($3/2^-$) and low separation energy (~1 MeV) align with measurements, supporting 29Ne as a deformation-induced halo.From this study, some conclusions are obtained as shown below. The 29Ne’s anomalous structure arises from the synergy of p-wave dominance and quadrupole deformation, which reduces centrifugal barriers and enhances spatial dispersion. The CMR method provides a unified description of bound and resonant states, offering new insights into the island of inversion and halo formation. Future work will include pairing correlations and experimental validation of density distributions.This work advances the understanding of exotic nuclear structures near drip lines and highlights the role of deformation in halo phenomena, which is of great significance for future experiments detecting neutron-rich nuclei.