Search

Article

x

留言板

姓名
邮箱
手机号码
标题
留言内容
验证码

Citation:

CAI Jiahe, DAI Dong, PAN Yongquan
cstr: 32037.14.aps.74.20250827
Article Text (iFLYTEK Translation)
PDF
HTML
Get Citation
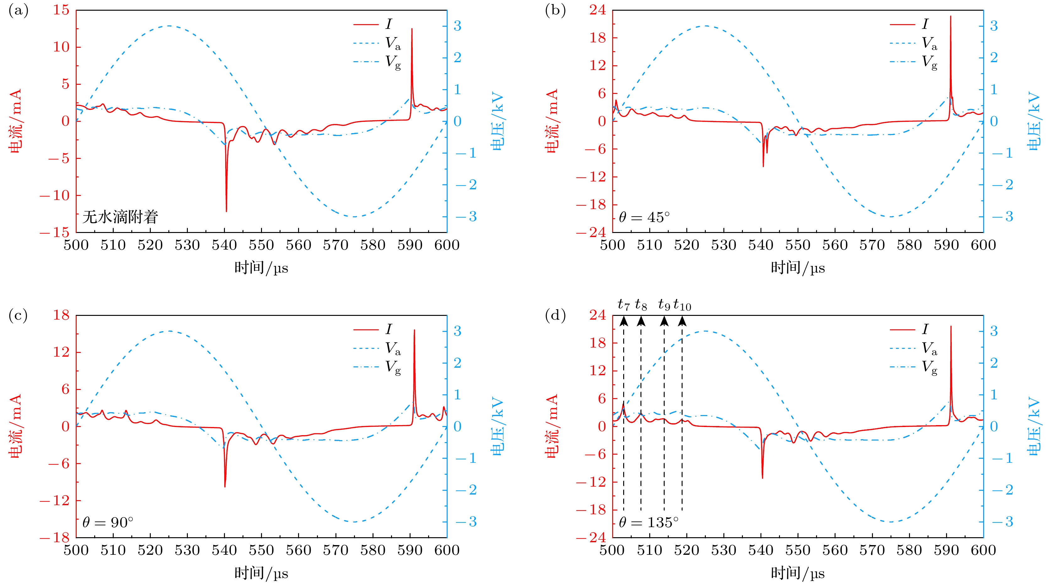
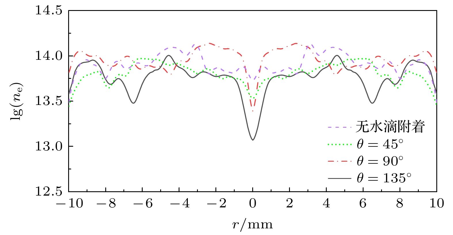
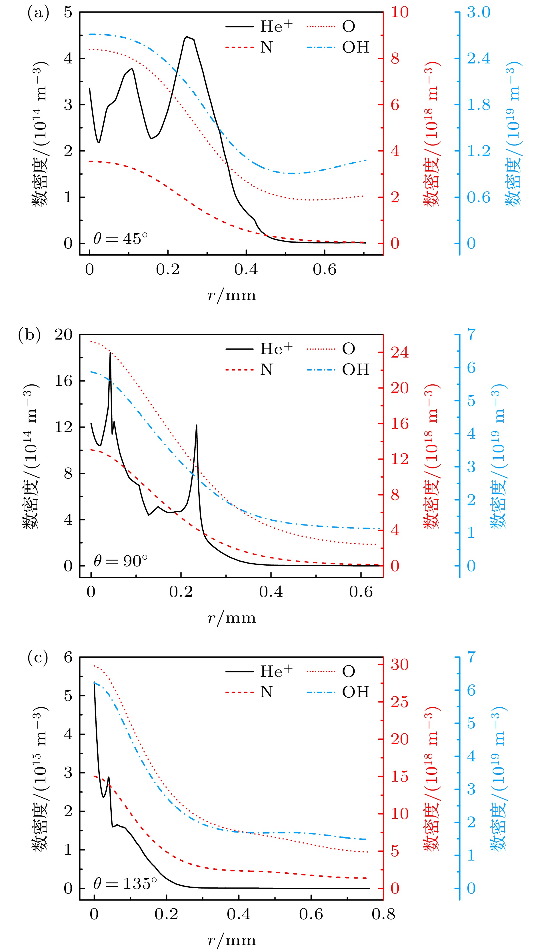
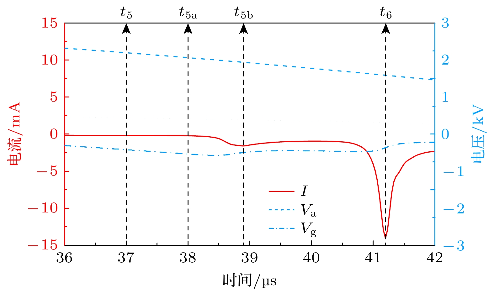
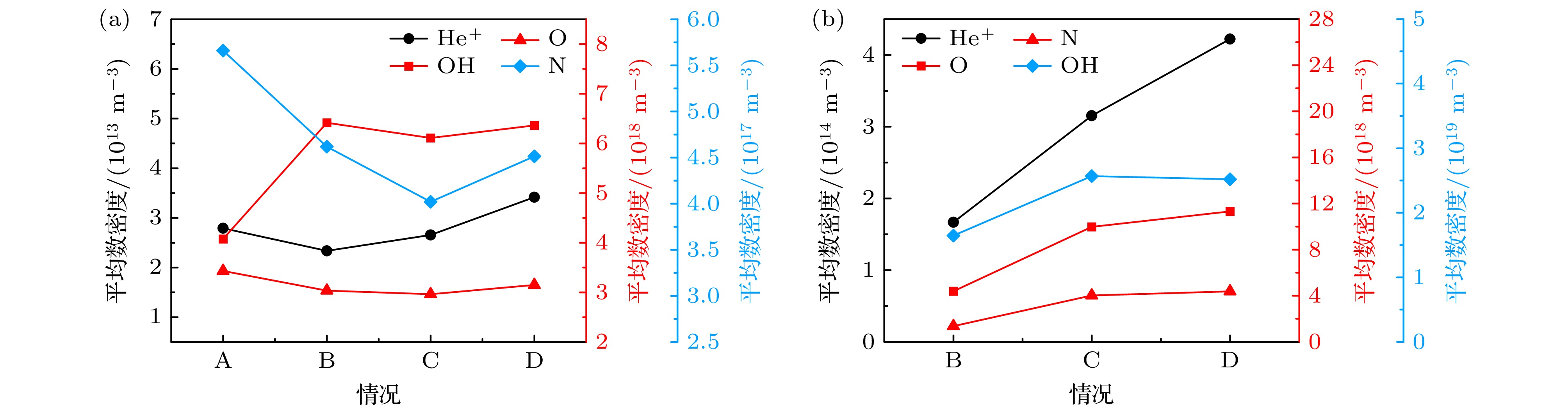
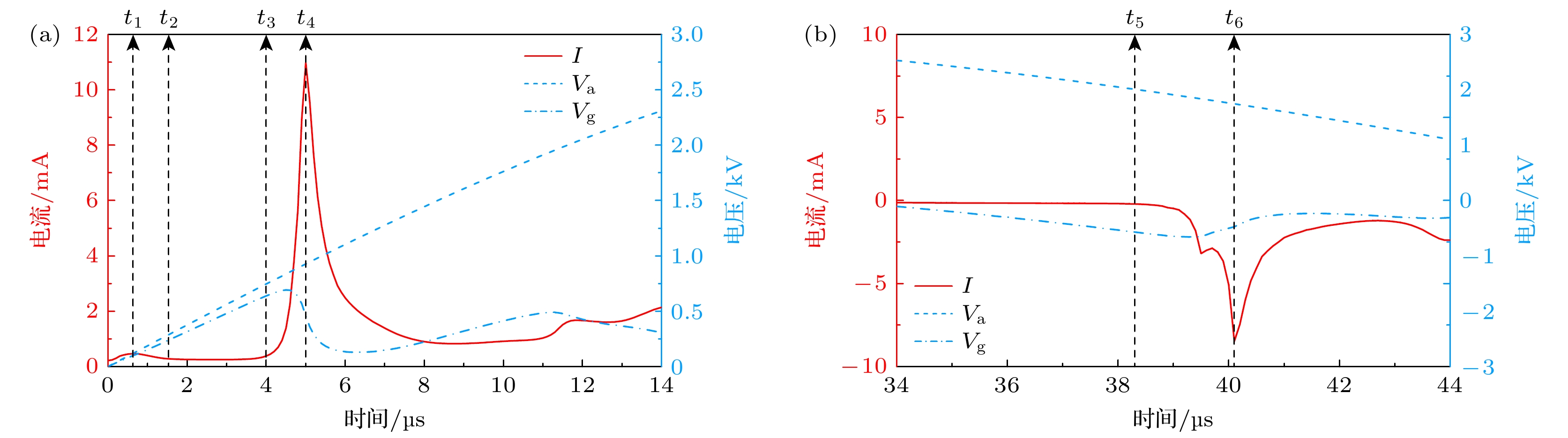
  • Dielectric barrier discharge technology can generate cold plasma at atmospheric pressure, which contains abundant active particles and shows great potential for fresh produce sterilization applications. However, water droplets frequently adhere to the surfaces of fruits and vegetables, which changes key parameters including the gas gap width, dielectric distribution, and gas-phase composition, consequently affecting the effectiveness of plasma applications. Currently, plasma-droplet interactions with contact angle as a variable remain unexplored, and the underlying mechanisms by which adhering droplets affect the electrochemical characteristics of dielectric barrier discharge require further investigation. In this work, we develop an atmospheric-pressure helium dielectric barrier discharge simulation model with an He-O2-N2-H2O reaction system. This model is used to study how water droplets (with contact angles of 45°, 90°, and 135°) adhering to the surface of the specimens affect both the steady-state discharge structure and active particle distribution, as well as their underlying mechanisms. The results show that the steady-state discharge intensity is significantly weakened both at the droplet surface and in the region above it, with the greatest reduction occurring at a contact angle of 135°. During the main positive breakdown phase, the polarized electric field at the droplet surface significantly enhances both electron impact ionization and secondary electron emission, thereby promoting gas-phase breakdown in the region above the water droplet. During the main negative breakdown phase, this polarized electric field accelerates electron migration toward the liquid surface, which intensifies plasma ambipolar diffusion and consequently leads to the formation of an annular discharge suppression zone around the water droplet. During the secondary positive discharge phase, even though the water droplet becomes polarized and a radially inward electric field is generated near the liquid surface, the resulting seed electron scavenging effect suppresses discharge in the region above the water droplet. Due to the stronger polarized electric fields generated at the surfaces of water droplets with larger contact angles, both the discharge enhancement and suppression effects become more pronounced with the increase of contact angle. Regarding the chemical species distribution, active particles and electrons exhibit a synergistic distribution relationship. On the surface of the specimens, He+ ions undergo electric field-driven migration, resulting in a highly non-uniform spatial distribution. The evaporation of water droplets provides more reactant sources for OH generation, thereby increasing its total deposition quantity. Because the bond energy of O2 is lower than that of N2, oxygen (O) demonstrates a more uniform distribution and a greater total deposition quantity than nitrogen (N). On the surfaces of water droplets, the active particles exhibit a gradually decreasing distribution from the center to the edge. Notably, the total deposition quantity of He+ continuously increases with larger contact angles increasing due to the aggregation effect of the polarized electric field. This study systematically elucidates the influence mechanisms of adhering water droplets on the electrochemical processes in dielectric barrier discharge, providing theoretical guidance for relevant applications of plasma-droplet systems.
      Corresponding author: DAI Dong, ddai@scut.edu.cn
    • Funds: Project supported by the National Natural Science Foundation of China (Grant No. 52377145) and the Natural Science Foundation of Guangdong Province, China (Grant No. 2023A1515012312).
    [1]

    [2]

    [3]

    [4]

    [5]

    [6]

    [7]

    [8]

    [9]

    [10]

    [11]

    [12]

    [13]

    [14]

    [15]

    [16]

    [17]

    [18]

    [19]

    [20]

    [21]

    [22]

    [23]

    [24]

    [25]

    [26]

    [27]

    [28]

    [29]

    [30]

    [31]

    [32]

    [33]

    [34]

    [35]

    [36]

    [37]

    [38]

    [39]

    [40]

    [41]

    [42]

    [43]

    [44]

    [45]

    [46]

    [47]

    [48]

    [49]

    [50]

    [51]

    [52]

    [53]

    [54]

    [55]

    [56]

  • 序号 反应式 速率系数 焓变/eV 参考文献
    1 $ {\text{e}}+{\text{He}} \to {\text{e} + \text{He}} $ f(c, ε) [43]
    2 $ {\text{e}}+{\text{He}} \to {\text{e} + \text{H}}{{\text{e}}^ * } $ f(c, ε) 19.82 [43]
    3 $ {\text{e}}+{{\text{He}}^ * } \to {\text{e} + \text{He}} $ 2.9×10–15 –19.82 [43]
    4 $ {\text{e}}+{\text{He}} \to 2{\text{e} + \text{H}}{{\text{e}}^ + } $ f(c, ε) 24.58 [43]
    5 $ {\text{e}}+{{\text{He}}^ * } \to 2{\text{e} + \text{H}}{{\text{e}}^ + } $ $4.661\times 10^{-16}\times T_{\rm e}^{0.6} \times \exp(-4.78/T_{\rm e}) $ 4.78 [43]
    6 $ {\text{e}}+{\text{He}}_2^ * \to 2{\text{e} + \text{He}}_2^ + $ $1.268 \times 10^{-18}\times T_{\rm e}^{0.71} \times\exp (-3.4/T_{\rm e}) $ 3.4 [43]
    7 $ {\text{e}}+{\text{He}}_2^ + \to {{\text{He}}^ * }+{\text{He}} $ $5.386\times 10^{-13}\times T_{\rm e}^{-0.5} $ [10]
    8 $ {\text{e}}+{{\text{He}}^ + } \to {\mathrm{He}}^ * $ $6.76\times 10^{-19}\times T_{\rm e}^{-0.5} $ [10]
    9 $ 2{\text{e}} + {{\text{He}}^ + } \to {\text{e}}+{{\text{He}}^ * } $ $6.186\times 10^{-39}\times T_{\rm e}^{-4.4} $ [10]
    10 $ {\text{e} + \text{He}}+{{\text{He}}^ + } \to \text{He}+{{\text{He}}^ * } $ $6.66\times 10^{-42}\times T_{\rm e}^{-2} $ [10]
    11 $ 2 {\text{e} + \text{He}}_2^ + \to \text{He}_2^ * + {\text{e}} $ 1.2×10–33 [10]
    12 $ {\text{e} + \text{He} + \text{He}}_2^ + \to \text{He}_2^ * + {\text{He}} $ 1.5×10–39 [10]
    13 $ {\text{e} + \text{He} + \text{He}}_2^ + \to {\mathrm{He}}^ * + 2 {\text{He}} $ 3.5×10–39 [10]
    14 $ 2 {\text{e} + \text{He}}_2^ + \to \text{He}^ * +{\text{He} + \text{e}} $ 2.8×10–32 [10]
    15 $ {\text{e}}+{{\text{N}}_2} \to {\text{e}}+{{\text{N}}_2} $ f(c, ε) [43]
    16 $ {\text{e}}+{{\text{N}}_2} \to {\text{e}}+{{\text{N}}_2} $ (v = 1) f(c, ε) 0.29 [55]
    17 $ {\text{e}}+{{\text{N}}_2} \to {\text{e}}+{{\text{N}}_2} $ (v = 2) f(c, ε) 0.59 [55]
    18 $ {\text{e}}+{{\text{N}}_2} \to {\text{e}}+{{\text{N}}_2} $ (v = 3) f(c, ε) 0.856 [10]
    19 $ {\text{e}}+{{\text{N}}_2} \to {\text{e}}+{{\text{N}}_2} $ (v = 4) f(c, ε) 1.134 [10]
    20 $ {\text{e}}+{{\text{N}}_2} \to {\text{e}}+{{\text{N}}_2} $ (v = 5) f(c, ε) 1.4088 [43]
    21 $ {\text{e}}+{{\text{N}}_2} \to 2{\text{e} + \text{N}}_2^ + $ f(c, ε) 15.6 [55]
    22 $ {\text{e} + \text{N}}_4^ + \to 2\text{N}_2 $ $3.18\times 10^{-13}\times T_{\rm e}^{-0.5} $ [10]
    23 $ {\text{e} + \text{N}}_2^ + \to 2 {\mathrm{N}} $ $4.8 \times 10^{-13} \times T_{\rm e}^{-0.5} $ [10]
    24 $ {\text{e} + \text{N}}_2^ + \to \text{N}_2 $ $7.72\times 10^{-14} \times T_{\rm e}^{-0.5} $ [10]
    25 $ {\text{e}}+{{\text{O}}_2} \to {\text{e}}+{{\text{O}}_2} $ f(c, ε) [55]
    26 $ {\text{e}}+{{\text{O}}_2} \to {\mathrm{O}}+{{\text{O}}^ - } $ f(c, ε) [55]
    27 $ {\text{e}}+{{\text{O}}_2} \to {\text{e}}+{{\text{O}}_2} $ (v = 3) f(c, ε) 0.57 [55]
    28 $ {\text{e}}+{{\text{O}}_2} \to {\text{e}}+{{\text{O}}_2} $ (v = 4) f(c, ε) 0.75 [55]
    29 $ {\text{e}}+{{\text{O}}_2} \to {\text{e}}+{{\text{O}}_2} $ (a1) f(c, ε) 0.977 [55]
    30 $ {\text{e}}+{{\text{O}}_2} \to {\text{e}}+{{\text{O}}_2} $ f(c, ε) –0.977 [10]
    31 $ {\text{e}}+{{\text{O}}_2} \to {\text{e}}+{{\text{O}}_2} $ (b1) f(c, ε) 1.627 [55]
    32 $ {\text{e}}+{{\text{O}}_2} \to {\text{e}}+{{\text{O}}_2} $ f(c, ε) –1.627 [10]
    33 $ {\text{e}}+{{\text{O}}_2} \to {\text{e}}+{{\text{O}}_2} $ (EXC) f(c, ε) 4.5 [55]
    34 $ {\text{e}}+{{\text{O}}_2} \to {\text{O}}_2^ - $ f(c, ε) [43]
    35 $ {\text{e}}+{{\text{O}}_2} \to {\text{e + O + O}} $ f(c, ε) 5.58 [10]
    36 $ {\text{e}}+{{\text{O}}_2} \to {\text{e + O + O}} $ (1D) f(c, ε) 8.4 [10]
    37 $ {\text{e}}+{{\text{O}}_2} \to 2{\text{e} + \text{O}}_2^ + $ f(c, ε) 12.06 [55]
    38 $ {\text{e}} + 2{{\text{O}}_2} \to \text{O}_2+{\text{O}}_2^ - $ $5.17\times 10^{-43} \times T_{\rm e}^{-1} $ –0.43 [43]
    39 $ {\text{e} + \text{O}}_2^ + \to 2{\text{O}} $ $6\times 10^{-11} \times T_{\rm e}^{-1} $ –6.91 [43]
    40 $ {\text{e} + \text{O}}_2^ + \to \text{O}_2 $ 4×10–18 [43]
    41 $ {\text{e} + \text{O}}_4^ + \to 2\text{O}_2 $ $2.25\times 10^{-13}\times T_{\rm e}^{-0.5} $ [10]
    42 $ {\text{e}}+{{\text{H}}_2}{\text{O}} \to {\text{e}}+{{\text{H}}_2}{\text{O}} $ f(c, ε) [10]
    43 $ {\text{e}}+{{\text{H}}_2}{\text{O}} \to {\text{e + e + }}{{\text{H}}_2}{{\text{O}}^ + } $ f(c, ε) 13.76 [10]
    44 $ {\text{e}}+{{\text{H}}_2}{\text{O}} \to {\text{e + H + OH}} $ f(c, ε) 7 [10]
    45 $ {\text{e + H + OH}} \to {\text{e}}+{{\text{H}}_2}{\text{O}} $ f(c, ε) –7 [10]
    46 $ {\text{e}}+{{\text{H}}_2}{{\text{O}}^ + } \to {\mathrm{OH}} + {\text{H}} $ $6.6\times 10^{-12} \times T_{\rm e}^{-0.5} $ [10]
    47 $ {\text{H}}{{\text{e}}^ * }{\text{ + H}}{{\text{e}}^ * } \to {\text{e + He + H}}{{\text{e}}^ + } $ 4.5×10–16 –15 [10]
    48 $ {\text{H}}{{\text{e}}^ * } + 2 {\text{He}} \to {\text{He}}_2^ * +{\text{He}} $ 1.3×10–45 [10]
    49 $ {\text{H}}{{\text{e}}^ + } + 2 {\text{He}} \to {\text{He}}_2^ + +{\text{He}} $ 1×10–43 [10]
    50 $ {{\text{O}}^ - }+{\text{O}}_2^ + \to {\mathrm{O}}+{{\text{O}}_2} $ 2×10–13 [10]
    51 $ {\text{O}}_2^ - +{\text{O}}_2^ + \to 2{{\text{O}}_2} $ 2×10–13 [10]
    52 $ {\text{O}}_2^ - +{\text{O}}_2^ + +{{\text{O}}_2} \to 3{{\text{O}}_2} $ 2×10–37 [10]
    53 $ {\text{O}}_2^ - +{\text{O}}_4^ + +{{\text{O}}_2} \to 4{{\text{O}}_2} $ 2×10–37 [10]
    54 $ {{\text{O}}_2}+{{\text{O}}_2}+{\text{O}}_2^ + \to {{\text{O}}_2}+{\text{O}}_4^ + $ 2.4×10–42 [10]
    55 $ {\text{H}}{{\text{e}}^ * }+{{\text{N}}_2} \to {\mathrm{e}}{\text{ + N}}_2^ + +{\text{He}} $ 7×10–17 [10]
    56 $ {\text{He}}_2^ * +{{\text{N}}_2} \to {\mathrm{e}}{\text{ + N}}_2^ + + 2 {\text{He}} $ 7×10–17 [10]
    57 $ {\text{He}}_2^ * +{{\text{O}}_2} \to {\mathrm{e}}+{\text{O}}_2^ + + 2 {\text{He}} $ 3.6×10–16 [10]
    58 $ {\text{H}}{{\text{e}}^ * }+{{\text{O}}_2} \to {\mathrm{e}}+{\text{O}}_2^ + +{\text{He}} $ 2.6×10–16 [10]
    59 $ {\text{He}}_2^ + +{{\text{N}}_2} \to {\mathrm{N}}_2^ + + 2 {\text{He}} $ 5×10–16 [10]
    60 $ {\text{H}}{{\text{e}}^ + }+{{\text{N}}_2} \to {\mathrm{N}}_2^ + +{\text{He}} $ 5×10–16 [10]
    61 $ {\text{He + }}{{\text{N}}_2}{\text{ + N}}_2^ + \to \text{He}{\text{ + N}}_4^ + $ 8.9×10–42 [10]
    62 $ {\text{He + }}{{\text{O}}_2}+{\text{O}}_2^ + \to {\mathrm{He}}+{\text{O}}_4^ + $ 5.8×10–43 [10]
    63 $ {\text{O + O + N}} \to \text{O}_2 + {\text{N}} $ 3.2×10–45 [10]
    64 $ {{\text{O}}_2}{\text{ + N + N}} \to \text{O}_2+{{\text{N}}_2} $ 3.9×10–45 [10]
    65 $ {{\text{O}}_2}{\text{ + N}}_4^ + \to 2\text{N}_2+{\text{O}}_2^ + $ 2.5×10–16 [43]
    66 $ {{\text{N}}_2}+{{\text{O}}_2}{\text{ + N}}_2^ + \to \text{O}_2{\text{ + N}}_4^ + $ 5×10–41 [10]
    67 $ {\text{O}}_2^ - +{\text{O}}_4^ + +{{\text{N}}_2} \to 3\text{O}_2+{{\text{N}}_2} $ 2×10–37 [10]
    68 $ {\text{O}}_2^ - +{\text{O}}_2^ + +{{\text{N}}_2} \to 2\text{O}_2+{{\text{N}}_2} $ 2×10–37 [10]
    69 $ {\text{O}}_2^ - +{\text{O}}_2^ + + {\text{He}} \to 2\text{O}_2 + {\text{He}} $ 2×10–37 [10]
    70 $ {\text{He + O + H}} \to \text{He}{\text{ + OH}} $ 3.2×10–45×T–1 [10]
    71 $ {\text{O + 2}}{{\text{O}}_2} \to {\mathrm{O}}_3+{{\text{O}}_2} $ 6×10–46×(T/300)–2.8 [56]
    72 $ 2 {\text{O}} + {{\text{O}}_2} \to {{\mathrm{O}}_3}+{\text{O}} $ 3.4×10–46×(T/300)–1.2 [56]
    73 $ {\text{O + }}{{\text{O}}_2}+{{\text{N}}_2} \to \text{N}_2+{{\text{O}}_3} $ 1.1×10–46×exp(510/T) [56]
    74 $ {\text{O + }}{{\text{O}}_2}+{\text{He}} \to \text{He}+{{\text{O}}_3} $ 3.4×10–46×(T/300)–1.2 [56]
    75 $ {{\text{O}}_3}+{\text{O}} \to 2{{\text{O}}_2} $ 8×10–18×exp(–2060/T) [56]
    76 $ {2}{{\text{O}}_3} \to {\text{O + }}{{\text{O}}_2}+{{\text{O}}_3} $ 1.6×10–15×exp(–11400/T) [56]
    77 $ {{\text{O}}_3}+{{\text{N}}_2} \to {\text{O}} + {{\text{O}}_2}+{{\text{N}}_2} $ 1.6×10–15×exp(–11400/T) [56]
    78 $ {\text{He}} + {{\text{O}}_3} \to \text{He} + {\text{O}} + {{\text{O}}_2} $ 1.56×10–15×exp(–11400/T) [56]
    注: f(c, ε)代表该反应的速率系数是使用碰撞横截面与电子能的函数和电子能量分布函数计算得到的; Te 为电子温度, 单位为 eV; He*代表He(23S)和He(21S); He2*代表He2 (${\mathrm{a}}^3\Sigma_{\rm u}^+$); N2代表N2 (v = 1), N2 (v = 2), N2 (v = 3), N2 (v = 4)和N2 (v = 5); O2代表O2 (v = 3), O2 (v = 4), O2 (a1), O2 (b1)和O2 (EXC); O代表O (1D); 双体和三体反应的速率系数单位分别为m3·s–1和m6·s–1 [10,43].
    DownLoad: CSV
    Baidu
  • [1]

    [2]

    [3]

    [4]

    [5]

    [6]

    [7]

    [8]

    [9]

    [10]

    [11]

    [12]

    [13]

    [14]

    [15]

    [16]

    [17]

    [18]

    [19]

    [20]

    [21]

    [22]

    [23]

    [24]

    [25]

    [26]

    [27]

    [28]

    [29]

    [30]

    [31]

    [32]

    [33]

    [34]

    [35]

    [36]

    [37]

    [38]

    [39]

    [40]

    [41]

    [42]

    [43]

    [44]

    [45]

    [46]

    [47]

    [48]

    [49]

    [50]

    [51]

    [52]

    [53]

    [54]

    [55]

    [56]

  • [1] LI Yaohua, YAN Zhaohe, YAN Zhihao, LI Cheng, PAN Yuyang, DONG Lifang. Honeycomb-like superlattice pattern in dielectric barrier discharge. Acta Physica Sinica, 2025, 74(22): 225201. doi: 10.7498/aps.74.20250952
    [2] MA Yichen, WANG Yufei, WANG Tingting, CAO Yawen, LI Zhengqing, TAN Chang. Discharge characteristics of Martian CO2 in a packed-bed dielectric barrier discharge reactor. Acta Physica Sinica, 2025, 74(23): 235212. doi: 10.7498/aps.74.20251061
    [3] Zhao Li-Fen, Ha Jing, Wang Fei-Fan, Li Qing, He Shou-Jie. Simulation of hollow cathode discharge in oxygen. Acta Physica Sinica, 2022, 71(2): 025201. doi: 10.7498/aps.71.20211150
    [4] Zhao Kai, Mu Zong-Xin, Zhang Jia-Liang. Dielectric layer equivalent capacitance and loading performance of a coaxial dielectric barrier discharge reactor. Acta Physica Sinica, 2014, 63(18): 185208. doi: 10.7498/aps.63.185208
    [5] Dai Dong, Wang Qi-Ming, Hao Yan-Peng. Experimental study on asymmetrical period-one discharge in dielectric barrier discharge in helium at atmospheric pressure. Acta Physica Sinica, 2013, 62(13): 135204. doi: 10.7498/aps.62.135204
    [6] Liu Wei-Yuan, Yue Han, Wang Shuai, Liu Zhong-Wei, Chen Qiang, Dong Li-Fang, Yang Yu-Jie. Characteristics of dielectric barrier discharge with different dielectric layer structures. Acta Physica Sinica, 2011, 60(2): 025216. doi: 10.7498/aps.60.025216
    [7] Dong Li-Fang, Li Shu-Feng, Fan Wei-Li. Defects in transition between different filament structures in dielectric barrier discharge. Acta Physica Sinica, 2011, 60(6): 065205. doi: 10.7498/aps.60.065205
    [8] Wang Li-Ming, Liang Zhuo, Guan Zhi-Cheng, Luo Hai-Yun, Wang Xin-Xin. Influences of gas flow on gas temperature and discharge mode in dielectric barrier discharge of nitrogen at atmospheric pressure. Acta Physica Sinica, 2010, 59(12): 8739-8746. doi: 10.7498/aps.59.8739
    [9] Dong Li-Fang, Yang Yu-Jie, Fan Wei-Li, Yue Han, Wang Shuai, Xiao Hong. Study on the phase transition of the filaments structure in dielectric barrier discharge. Acta Physica Sinica, 2010, 59(3): 1917-1922. doi: 10.7498/aps.59.1917
    [10] Shao Xian-Jun, Ma Yue, Li Ya-Xi, Zhang Guan-Jun. One-dimensional simulation of low pressure xenon dielectric barrier discharge. Acta Physica Sinica, 2010, 59(12): 8747-8754. doi: 10.7498/aps.59.8747
    [11] Dong Li-Fang, Wang Hong-Fang, Liu Wei-Li, He Ya-Feng, Liu Fu-Cheng, Liu Shu-Hua. Influence of dielectric parameters on temporal behavior of dielectric barrier discharge. Acta Physica Sinica, 2008, 57(3): 1802-1806. doi: 10.7498/aps.57.1802
    [12] Li Xue-Chen, Jia Peng-Ying, Liu Zhi-Hui, Li Li-Chun, Dong Li-Fang. Study on the transition from filamentary to uniform discharge in dielectric barrier discharge. Acta Physica Sinica, 2008, 57(2): 1001-1007. doi: 10.7498/aps.57.1001
    [13] Dong Li-Fang, Gao Rui-Ling, He Ya-Feng, Fan Wei-Li, Li Xue-Chen, Liu Shu-Hua, Liu Wei-Li. Study on the interaction of microdischarge channels in dielectric barrier discharge pattern. Acta Physica Sinica, 2007, 56(3): 1471-1475. doi: 10.7498/aps.56.1471
    [14] Investigation on power transfer in dielectric barrier discharge. Acta Physica Sinica, 2007, 56(12): 7078-7083. doi: 10.7498/aps.56.7078
    [15] Wang Yan-Hui, Wang De-Zhen. Characteristics of dielectric barrier homogenous discharge at atmospheric pressure in nitrogen. Acta Physica Sinica, 2006, 55(11): 5923-5929. doi: 10.7498/aps.55.5923
    [16] Ouyang Ji-Ting, He Feng, Miao Jin-Song, Feng Shuo. Study of characteristics of coplanar dielectric barrier discharge. Acta Physica Sinica, 2006, 55(11): 5969-5974. doi: 10.7498/aps.55.5969
    [17] He Ya-Feng, Dong Li-Fang, Liu Fu-Cheng, Fan Wei-Li. Localized hexagonal structure in dielectric barrier discharge. Acta Physica Sinica, 2005, 54(9): 4236-4239. doi: 10.7498/aps.54.4236
    [18] Dong Li-Fang, Mao Zhi-Guo, Ran Jun-Xia. Study on the electrical characteristic of different modes of dielectric barrier discharge in argon. Acta Physica Sinica, 2005, 54(7): 3268-3272. doi: 10.7498/aps.54.3268
    [19] Yin Zeng-Qian, Wang Long, Dong Li-Fang, Li Xue-Chen, Chai Zhi-Fang. The mapping equation of micro-discharge in dielectric barrier discharges. Acta Physica Sinica, 2003, 52(4): 929-934. doi: 10.7498/aps.52.929
    [20] Dong Li-Fang, Li Xue-Chen, Yin Zeng-Qian, Wang Long. . Acta Physica Sinica, 2002, 51(10): 2296-2301. doi: 10.7498/aps.51.2296
Metrics
  • Abstract views:  819
  • PDF Downloads:  14
  • Cited By: 0
Publishing process
  • Received Date:  24 June 2025
  • Accepted Date:  27 September 2025
  • Available Online:  30 September 2025
  • Published Online:  05 December 2025
    返回文章
    返回
    Baidu
    map