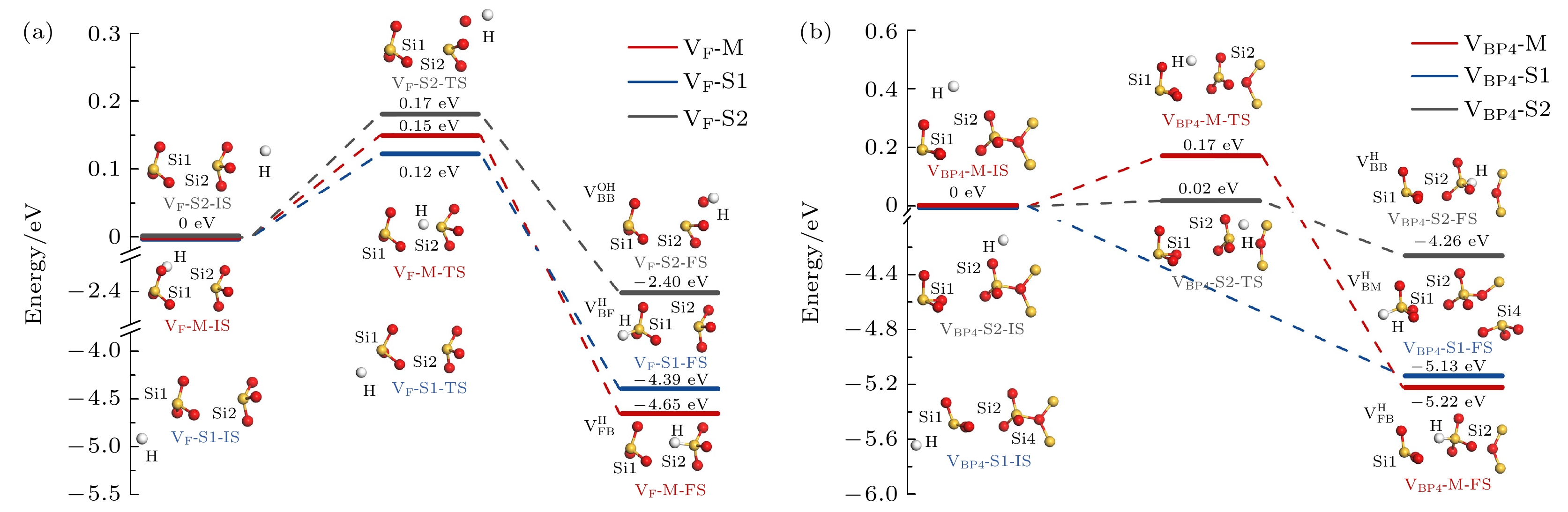
Amorphous silica (a-SiO2) with excellent insulating properties, uniform disordered structure, and good thermal stability, is the preferred material for field oxide layers, gate insulation layers and passivation layers in many semiconductor devices. However, in space environments, the oxygen vacancies generated by high-energy particle radiation and their interaction with hydrogen atoms in a-SiO2 can lead to enhanced low-dose-rate sensitivity, potentially causing threshold voltage to shift and leakage current to increase in semiconductor devices. These seriously threaten the operation safety of spacecraft, and the exploration of related reaction mechanisms is crucial. A first-principles calculation is employed to investigate the neutral oxygen vacancies in amorphous silica and their reaction mechanisms with hydrogen atoms. Five types of neutral oxygen vacancies are identified, namely $ {\mathrm{V}}_{\mathrm{D}} $, $ {\mathrm{V}}_{\mathrm{B}} $, $ {\mathrm{V}}_{\mathrm{F}} $, $ {\mathrm{V}}_{\mathrm{B}\mathrm{P}4} $ and $ {\mathrm{V}}_{\mathrm{D}\mathrm{S}\mathrm{i}} $ configurations. A significant positive correlation is observed between the defect formation energy and the distance between two defective silicon atoms. Due to the lowest defect formation energy, the $ {\mathrm{V}}_{\mathrm{D}} $ configuration may become the main type of defect in irradiation or fabrication.$ {\mathrm{V}}_{\mathrm{F}} $ and $ {\mathrm{V}}_{\mathrm{B}} $ configurations display comparable Fermi contacts to those of $ {\mathrm{E}}_{\mathrm{\gamma }}' $ centers. The presence of electron pairs leads to zero fermi contacts in $ {\mathrm{V}}_{\mathrm{D}} $, $ {\mathrm{V}}_{\mathrm{B}\mathrm{P}4} $ and $ {\mathrm{V}}_{\mathrm{D}\mathrm{S}\mathrm{i}} $ configurations. Previous studies have often focused more on the reaction between oxygen vacancies and hydrogen atoms at the middle-sites of oxygen vacancies. And, a critical characteristic of the disordered a-SiO2 structure is neglected by this approach: the reactions may extend into the neighboring network and occur at side-sites of oxygen defects. For a full understanding of actual reactions, both the middle-sites and side-sites are considered for hydrogen atoms in present investigations. It’s revealed that hydrogen atoms passivate neutral oxygen vacancies through two distinct mechanisms: Si−H bond formation or silanol group generation. These processes yield two classes of neutral hydrogenated oxygen vacancies, $ {\mathrm{V}}^{\mathrm{H}} $ and $ {\mathrm{V}}^{\mathrm{O}\mathrm{H}} $ configurations, which can be further classified into seven distinct configurations based on the orientation of dangling bonds and Si−H bonds. By combining the analyses of ELF maps and EPR simulations, it is demonstrated that $ {\mathrm{V}}_{\mathrm{B}\mathrm{B}}^{\mathrm{H}} $ and $ {\mathrm{V}}_{\mathrm{B}\mathrm{M}}^{\mathrm{H}} $ configurations have EPR parameters comparable to those of $ {\mathrm{E}}_{\mathrm{\gamma }}' $ center, implying that hydrogen passivation processes may interfere with the identification of $ {\mathrm{E}}' $ center. The formation of silanol group in $ {\mathrm{V}}_{\mathrm{B}\mathrm{B}}^{\mathrm{O}\mathrm{H}} $ configuration provides theoretical bases for explaining water molecules formation within oxide layers and at interfaces. This study elucidates the hydrogen-induced cross-network migration and silanol group formation pathway, collectively revealing the dual role of hydrogen in passivating defects and inducing secondary defects. A microscopic explanation is derived from these findings for the enhanced low dose rate sensitivity in bipolar devices.