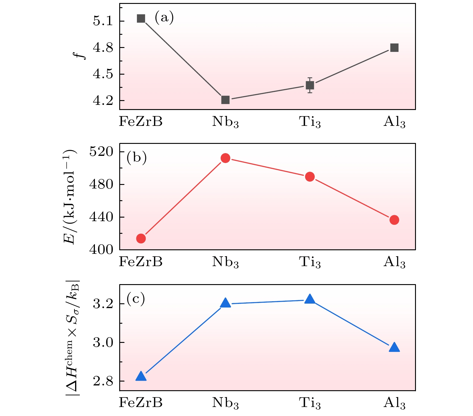
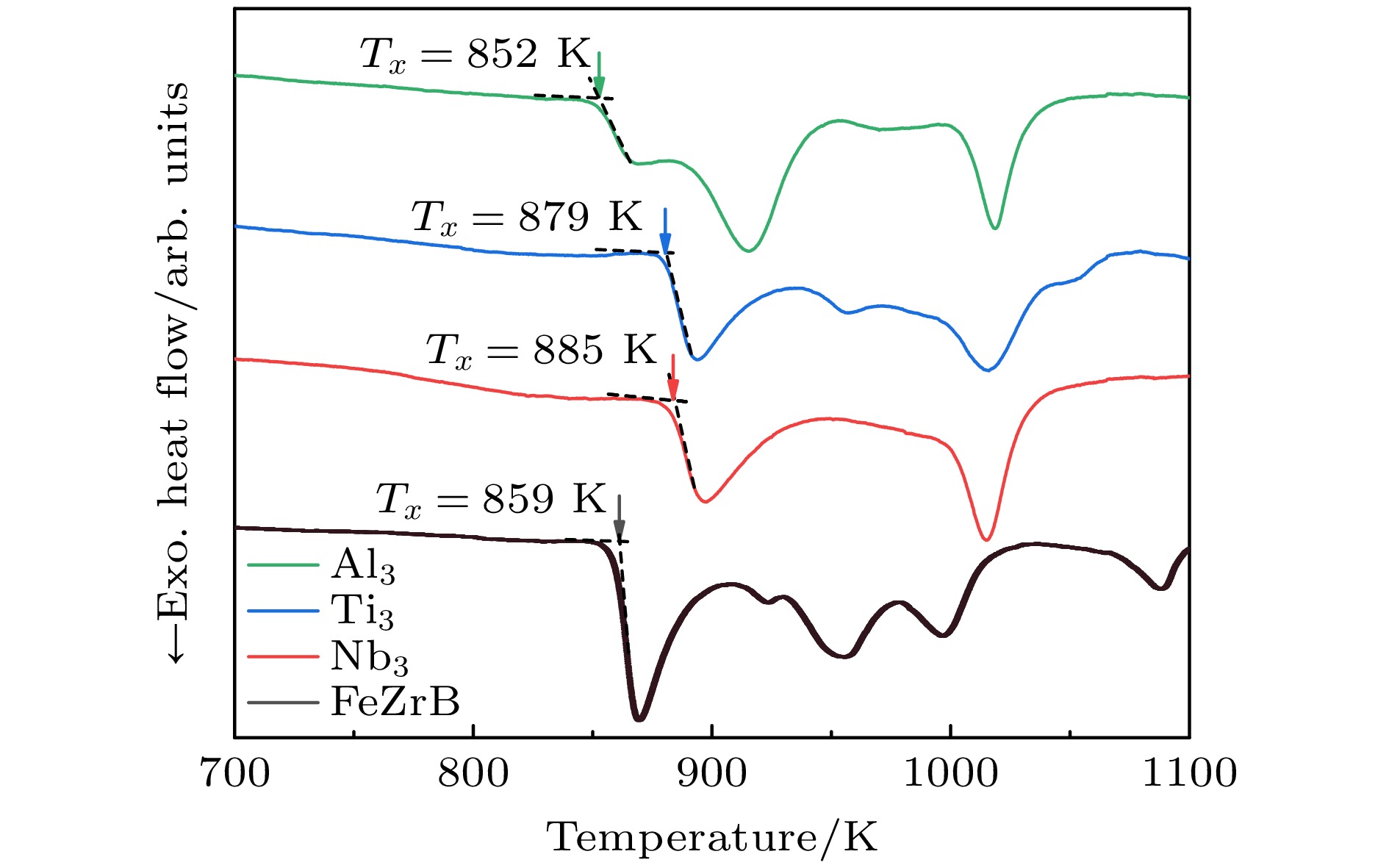
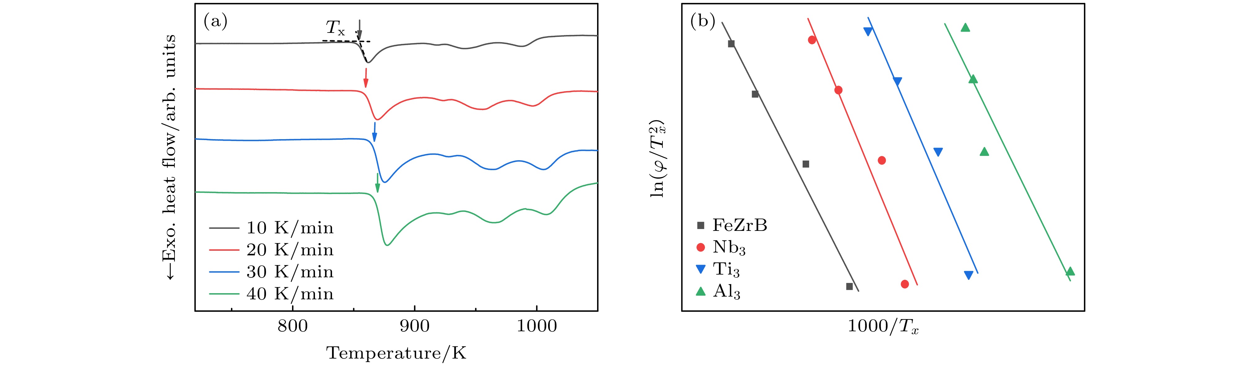
| [1] |
WANG Shoucheng, PAN Qiangqiang, NING Rui, PENG Hailong. Shear banding behavior in soft-hard phase ordered metallic glasses. Acta Physica Sinica,
2025, 74(19): 196101.
doi: 10.7498/aps.74.20250845
|
| [2] |
Jiang Shuang-Shuang, Zhu Li, Liu Si-Nan, Yang Zhan-Zhan, Lan Si, Wang Yin-Gang. Densification and heterogeneity enhancement of Fe-based metallic glass under local plastic flow. Acta Physica Sinica,
2022, 71(5): 058101.
doi: 10.7498/aps.71.20211304
|
| [3] |
Shang Ji-Xiang, Zhao Yun-Bo, Hu Li-Na. Abnormal viscosity changes in high-temperature metallic melts. Acta Physica Sinica,
2018, 67(10): 106402.
doi: 10.7498/aps.67.20172721
|
| [4] |
Yu Hai-Bin, Yang Qun. Ultrastable glasses. Acta Physica Sinica,
2017, 66(17): 176108.
doi: 10.7498/aps.66.176108
|
| [5] |
Wang Jun-Qiang, Ouyang Su. Extended elastic model for flow of metallic glasses. Acta Physica Sinica,
2017, 66(17): 176102.
doi: 10.7498/aps.66.176102
|
| [6] |
Ma Jiang, Yang Can, Gong Feng, Wu Xiao-Yu, Liang Xiong. Thermoplastic forming of bulk metallic glasses. Acta Physica Sinica,
2017, 66(17): 176404.
doi: 10.7498/aps.66.176404
|
| [7] |
Yuan Chen-Chen. Bonding nature and the origin of ductility of metallic glasses. Acta Physica Sinica,
2017, 66(17): 176402.
doi: 10.7498/aps.66.176402
|
| [8] |
Hu Li-Na, Zhao Xi, Zhang Chun-Zhi. Fragile-to-strong transition in metallic glass-forming liquids. Acta Physica Sinica,
2017, 66(17): 176403.
doi: 10.7498/aps.66.176403
|
| [9] |
Deng Yong-He, Wen Da-Dong, Peng Chao, Wei Yan-Ding, Zhao Rui, Peng Ping. Heredity of icosahedrons: a kinetic parameter related to glass-forming abilities of rapidly solidified Cu56Zr44 alloys. Acta Physica Sinica,
2016, 65(6): 066401.
doi: 10.7498/aps.65.066401
|
| [10] |
Cui Xiao, Xu Bao-Chen, Wang Zhi-Zhi, Wang Li-Fang, Zhang Bo, Zu Fang-Qiu. On glass forming ability and thermal stability of Zr57Cu20Al10Ni8Ti5 bulk metallic glass by substituting each component with 1 at% Ag. Acta Physica Sinica,
2013, 62(1): 016101.
doi: 10.7498/aps.62.016101
|
| [11] |
Yu Yu-Ying, Xi Feng, Dai Cheng-Da, Cai Ling-Cang, Tan Hua, Li Xue-Mei, Hu Chang-Ming. Plastic behavior of Zr51Ti5Ni10Cu25Al9 metallic glass under planar shock loading. Acta Physica Sinica,
2012, 61(19): 196202.
doi: 10.7498/aps.61.196202
|
| [12] |
Han Guang, Qiang Jian-Bing, Wang Qing, Wang Ying-Min, Xia Jun-Hai, Zhu Chun-Lei, Quan Shi-Guang, Dong Chuang. Electrochemical potential equilibrium of electrons in ideal metallic glasses based on the cluster-resonance model. Acta Physica Sinica,
2012, 61(3): 036402.
doi: 10.7498/aps.61.036402
|
| [13] |
Chen Yan, Jiang Min-Qiang, Dai Lan-Hong. Temperature-dependent yield asymmetry between tension and compression in metallic glasses. Acta Physica Sinica,
2012, 61(3): 036201.
doi: 10.7498/aps.61.036201
|
| [14] |
Xu Chun-Long, Hou Zhao-Yang, Liu Rang-Su. Simulation study on thermodynamic, dynamic and structural transition mechanisms during the formation of Ca70Mg30 metallic glass. Acta Physica Sinica,
2012, 61(13): 136401.
doi: 10.7498/aps.61.136401
|
| [15] |
Guo Gu-Qing, Yang Liang, Zhang Guo-Qing. Atomic structure of Zr48Cu45Al7 bulk metallic glass. Acta Physica Sinica,
2011, 60(1): 016103.
doi: 10.7498/aps.60.016103
|
| [16] |
Wei Hong-Qing, Li Xiang-An, Long Zhi-Lin, Peng Jian, Zhang Ping, Zhang Zhi-Chun. Correlations between viscosity and glass-forming ability in bulk amorphous alloys. Acta Physica Sinica,
2009, 58(4): 2556-2564.
doi: 10.7498/aps.58.2556
|
| [17] |
Xia Ming-Xu, Meng Qing-Ge, Zhang Shu-Guang, Ma Chao-Li, Li Jian-Guo. Thermodynamic characteristics of metallic glass-forming liquids. Acta Physica Sinica,
2006, 55(12): 6543-6549.
doi: 10.7498/aps.55.6543
|
| [18] |
Yu Peng, Bai Hai-Yang, Tang Mei-Bo, Wang Wan-Lu, Wang Wei-Hua. CuZr-based bulk metallic glasses with good glass-forming ability prepared by Al addition. Acta Physica Sinica,
2005, 54(7): 3284-3289.
doi: 10.7498/aps.54.3284
|
| [19] |
Chen Zhi-Hao, Liu Lan-Jun, Zhang Bo, Xi Yun, Wang Qiang, Zu Fang-Qiu. Glass transition kinetic property of novel bulk Zr-Al-Ni-Cu (Nb,Ti) amorphous alloy*. Acta Physica Sinica,
2004, 53(11): 3839-3844.
doi: 10.7498/aps.53.3839
|
| [20] |
Tong Cun-Zhu, Zheng Pjing, Bai Hai-Yang, Chen Zhao-Jia, Luo Jian-Lin, Zhang Jie, Lin De-Hua, Wang Wei-Hua. . Acta Physica Sinica,
2002, 51(7): 1559-1563.
doi: 10.7498/aps.51.1559
|