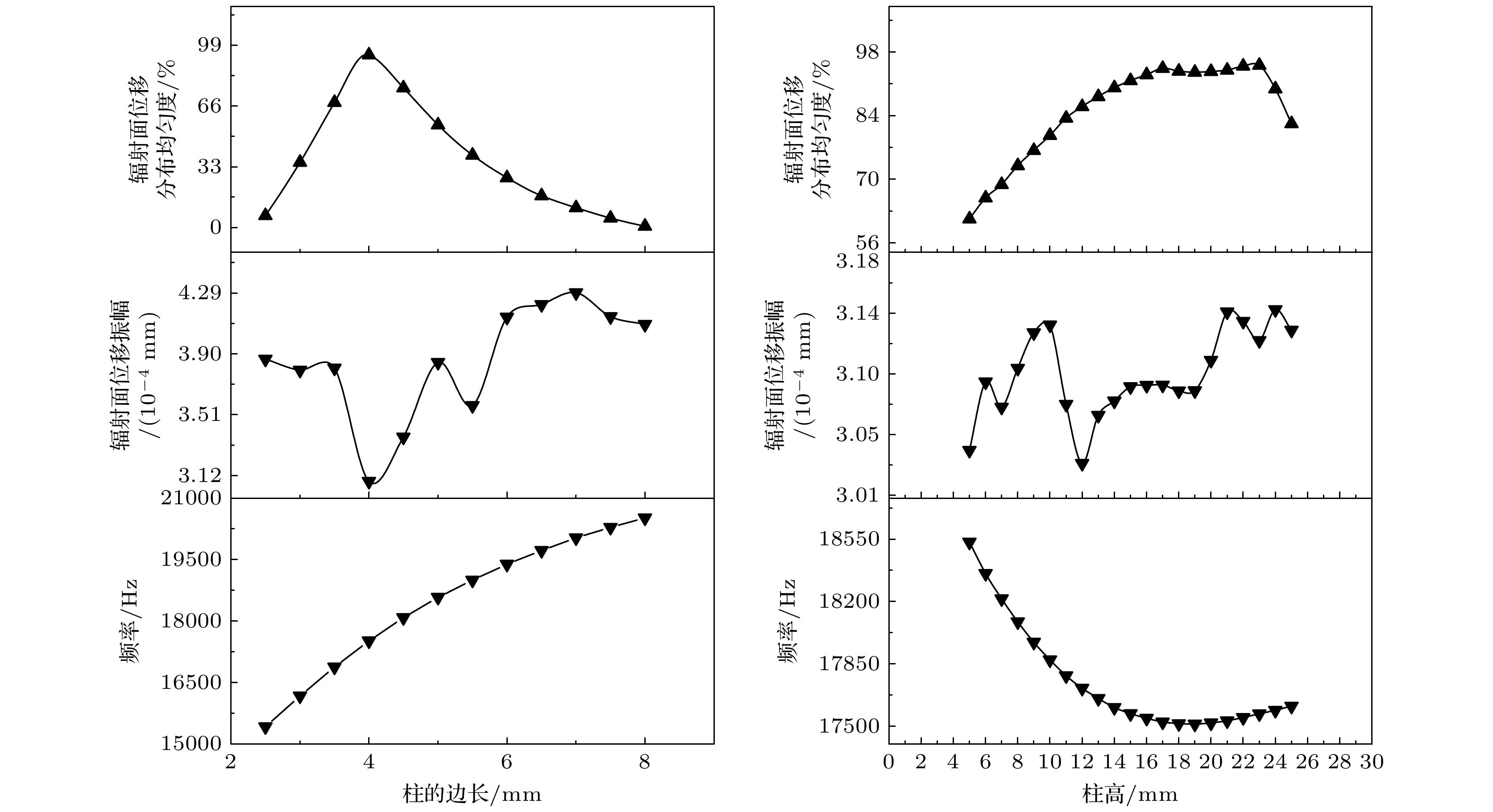
The band gap, localization, and waveguide characteristics of phononic crystal structures offer extensive potential applications in transducer field, particularly for circular-hole phononic crystals, which are extensively utilized in research on performance optimization of transducers due to their straightforward structure and easy fabrication. Nonetheless, studies have revealed that the bandgap width of circular-hole phononic crystal structures is directly proportional to their porosity. Typically, a higher porosity leads to enhanced energy localization of elastic waves. However, high porosity implies a narrower distance between circular holes, greatly reducing the mechanical strength of the structure. The introduction of columnar phononic crystal structures solves the problems of high porosity and strict dimensional accuracy requirements in circular-hole phononic crystal structures, providing a new approach for enhancing the performance of piezoelectric ultrasonic transducers.This study employs cylindrical and acoustic surface structures fabricated on the front and rear cover plates of piezoelectric ultrasonic transducers to manipulate the transmission behavior and pathway of sound waves, thereby achieving effective control over coupled vibrations within the transducer. This approach not only solves the problem of uneven amplitude distribution on the radiation surface due to uneven vibration energy transmission but also markedly enhances the displacement amplitude of the transducer’s radiation surface, ultimately enhancing its operational efficiency. The simulation results elucidate the influences of the configuration of these cylindrical and acoustic surface structures on transducer performance. Experimental findings further validate that these structures can effectively improve the performance of piezoelectric ultrasonic transducers. This study provides systematic design theory support for the engineering calculation and optimization of transducers.