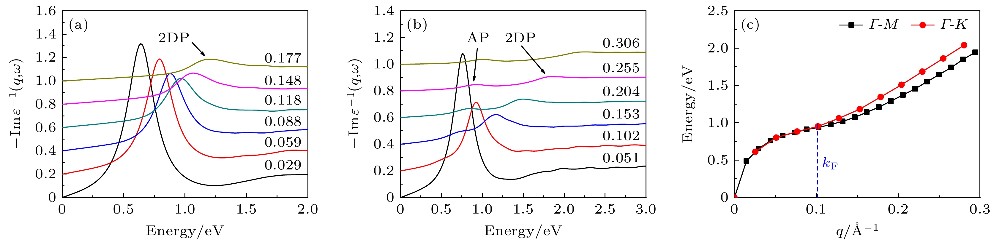
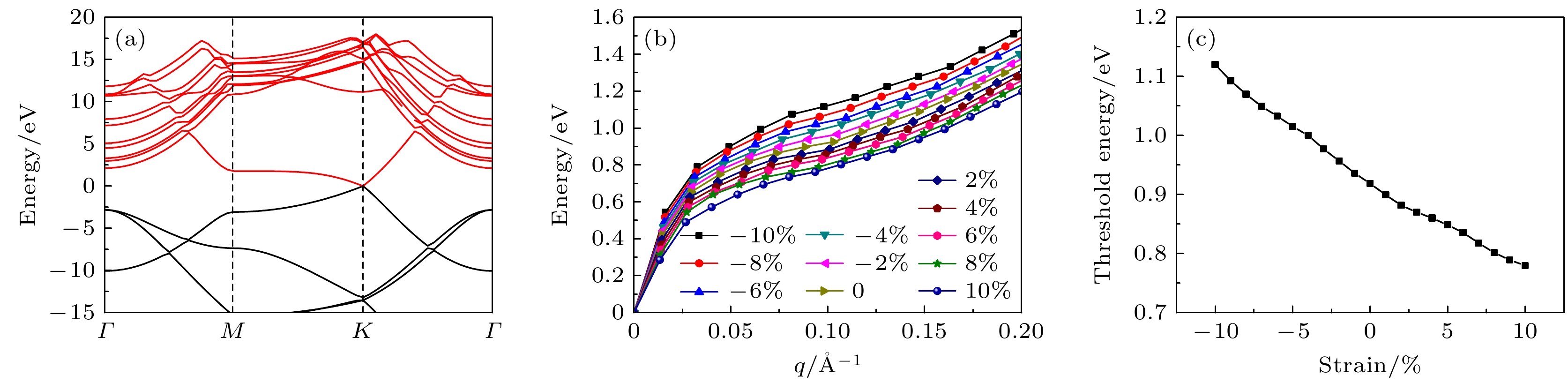
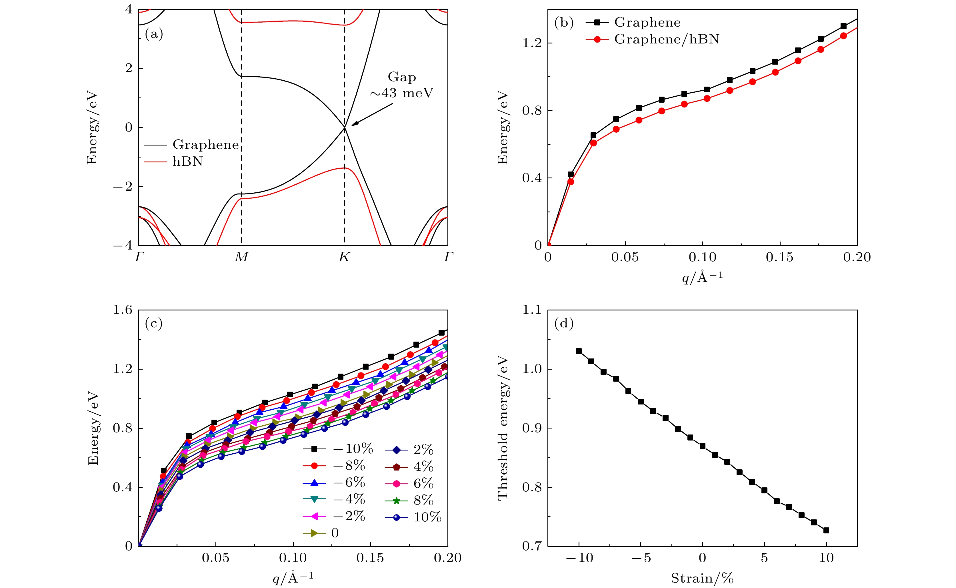
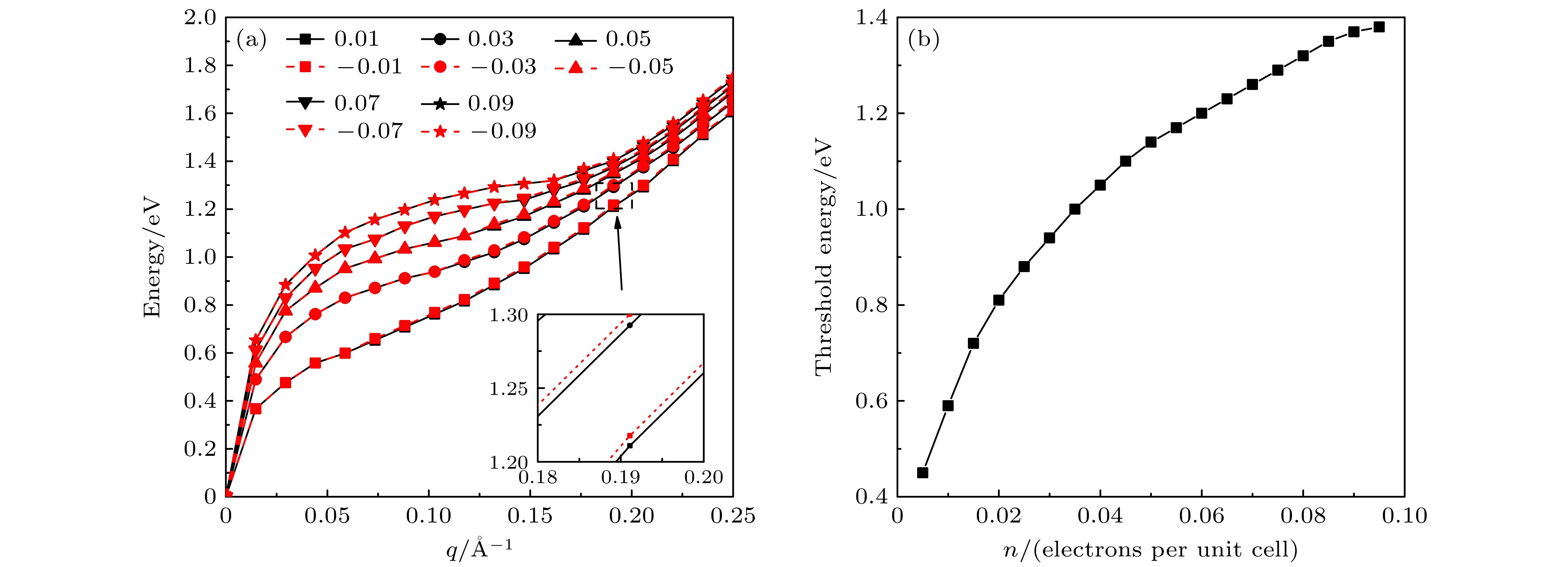
Graphene Dirac plasmons, which are collective oscillations of charge carriers behaving as massless Dirac fermions, have emerged as a transformative platform for nanophotonics due to their exceptional capability for deep subwavelength light confinement in the infrared-to-terahertz spectral region and their unique dynamic tunability. Although external controls such as electrostatic doping, mechanical strain, and substrate engineering are empirically known to be able to modulate plasmonic responses, a comprehensive and quantitative theoretical framework from first principles is essential to reveal the distinct efficiency and fundamental mechanisms of each tuning strategy. To address this issue, we conduct a systematic first-principles study of three primary modulation pathways—carrier density, biaxial strain, and substrate integration—by using linear-response time-dependent density functional theory in the random-phase approximation (LR-TDDFT-RPA) as implemented in the computational code ABACUS. A truncated Coulomb potential is adopted in order to accurately model the isolated two-dimensional system, while structural and electronic properties are computed using the PBE functional with SG15 norm-conserving pseudopotentials and van der Waals corrections for heterostructures. Our research results indicate that modulating carrier concentration can cause the plasmon dispersion to follow the characteristic $\omega \propto n^{1/4}$ scaling law, thereby tuning within a wide range from 0.45 eV to 1.38 eV at the Landau damping threshold—a 207% change for the carrier density varying from 0.005 to 0.1 electrons/unit cell, although efficiency decreases at higher concentrations due to the sublinear nature of the scaling law. Biaxial strain linearly changes the plasmon energy by modifying the Fermi velocity ($v_{\mathrm{F}}$) near the Dirac point, yielding a 30.4% tuning range (0.78–1.12 eV) under $\pm 10{\text{%}}$ strain. Introducing an hBN substrate induces a small band gap (~43 meV) and causes a general redshift in plasmon energy due to band renormalization, while remarkably preserving the linear strain-tuning capability in a $30.1{\text{%}}$ energy range (0.72–1.03 eV) in the heterostructure, demonstrating robust compatibility between strain engineering and substrate integration. These results quantitatively elucidate the different physical mechanisms—Fermi level shifting, Fermi velocity modification, and substrate-induced symmetry breaking and hybridization—underpinning each strategy, thereby providing a solid theoretical foundation for designing dynamically tunable optoelectronic devices based on graphene and its van der Waals heterostructures.