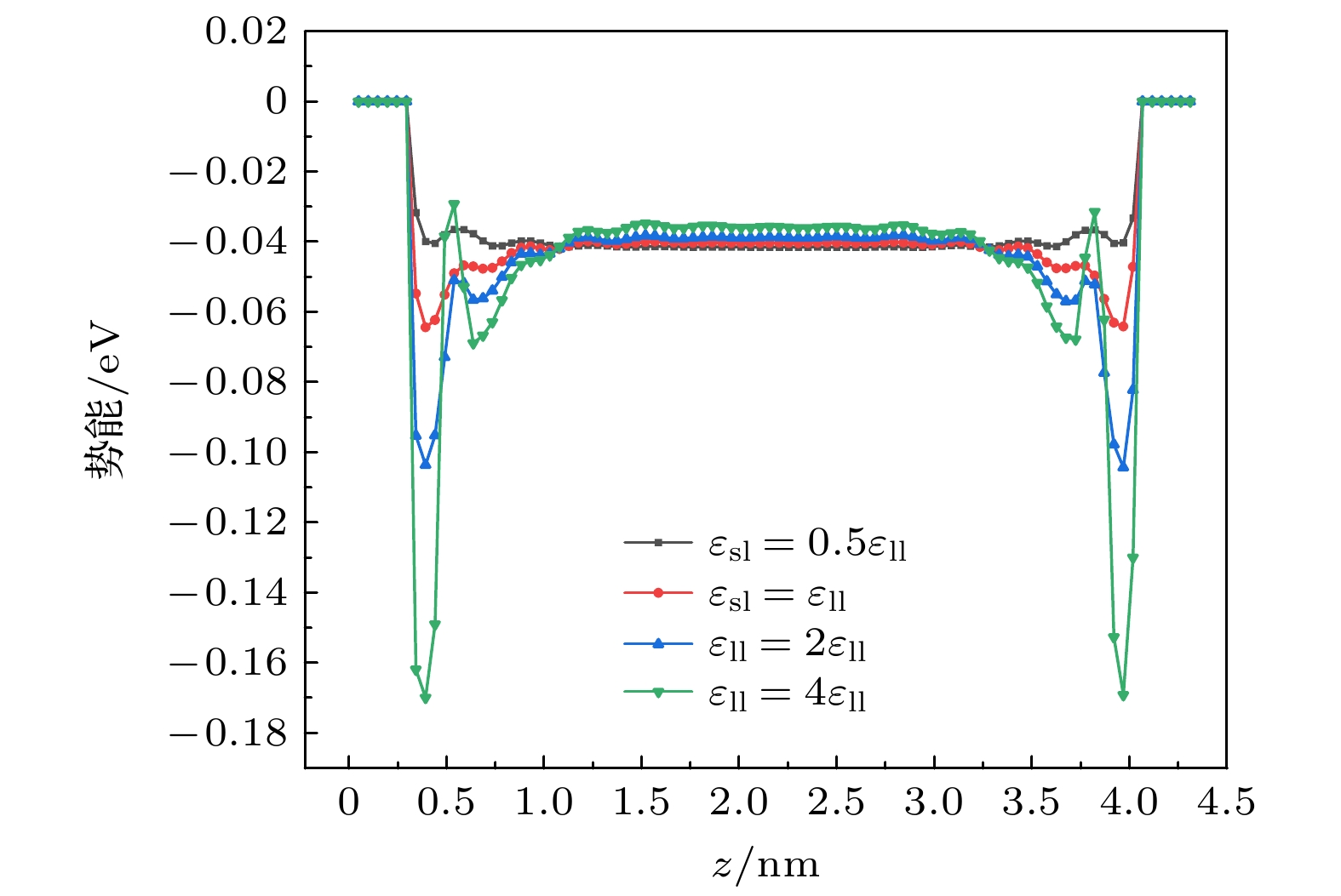
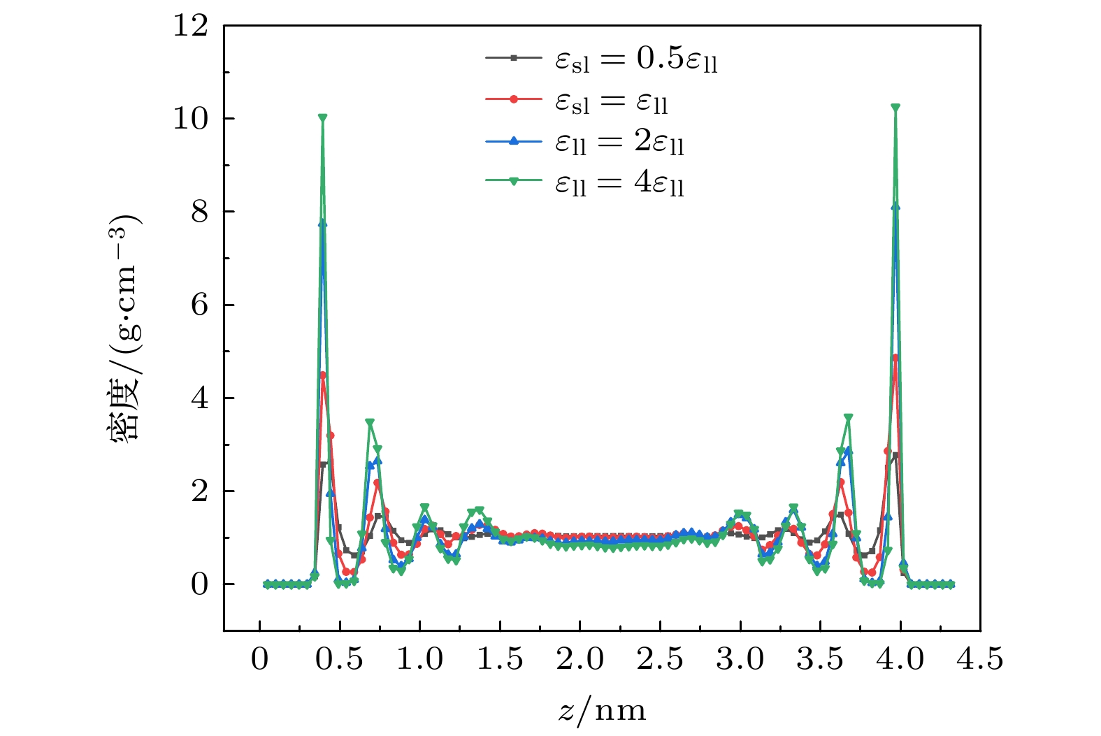
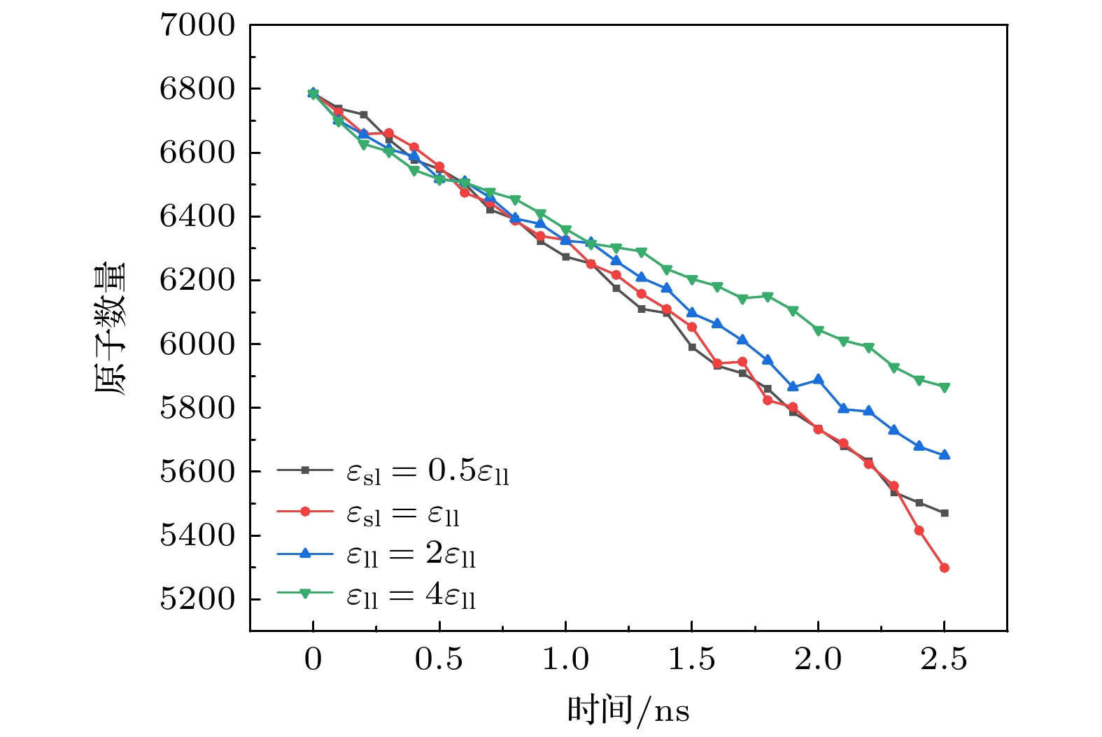
Liquid evaporation on a nanoscale is significantly strengthened by microscopic effects, with its rate even exceeding the predicted upper limit of the classical Hertz-Knudsen equation. This property makes nanoscale liquid evaporation highly valuable for applications in solar-driven interfacial evaporation, electronics cooling, and microfluidics. However, existing research predominantly focuses on the influence of individual microscopic effects, leaving the synergistic mechanisms of multiple effects to be poorly understood. To deeply reveal the microscopic mechanism of liquid phase change on a nanoscale, this study employs liquid argon as a model system to systematically investigate the synergistic effect of potential energy and cavitation on its evaporation. Using molecular dynamics simulations, we study the evaporation process of liquid argon within nanochannels characterized by different solid-liquid interaction strengths under identical temperature and time frame. The results indicate that an increase in the solid-liquid interaction strength reduces the average potential energy of liquid argon and increases the evaporation energy barrier, which theoretically should suppress the evaporation. Nevertheless, the capillary pressure induced by the increased meniscus curvature leads to negative pressure within the liquid argon, triggering a cavitation effect. This cavitation generates bubbles inside the liquid argon, which significantly increases the evaporation surface area and consequently promotes evaporation. Furthermore, the meniscus-dominated evaporation mode is gradually weakened, while the contribution from cavitation bubbles becomes increasingly pronounced. This study demonstrates that the evaporation rates of liquid argon in the four nanochannels with different interaction strengths are 3.49 × 10–14, 3.95 × 10–14, 3.02 × 10–14, and 2.44 × 10–14 kg/s, respectively. Therefore, it can be concluded that the evaporation rate does not vary linearly with the increase of solid-liquid interaction strength. On the contrary, under moderate interaction intensity, the optimal synergistic state between potential energy and the cavitation effect is achieved, thereby obtaining a maximum evaporation rate.