-
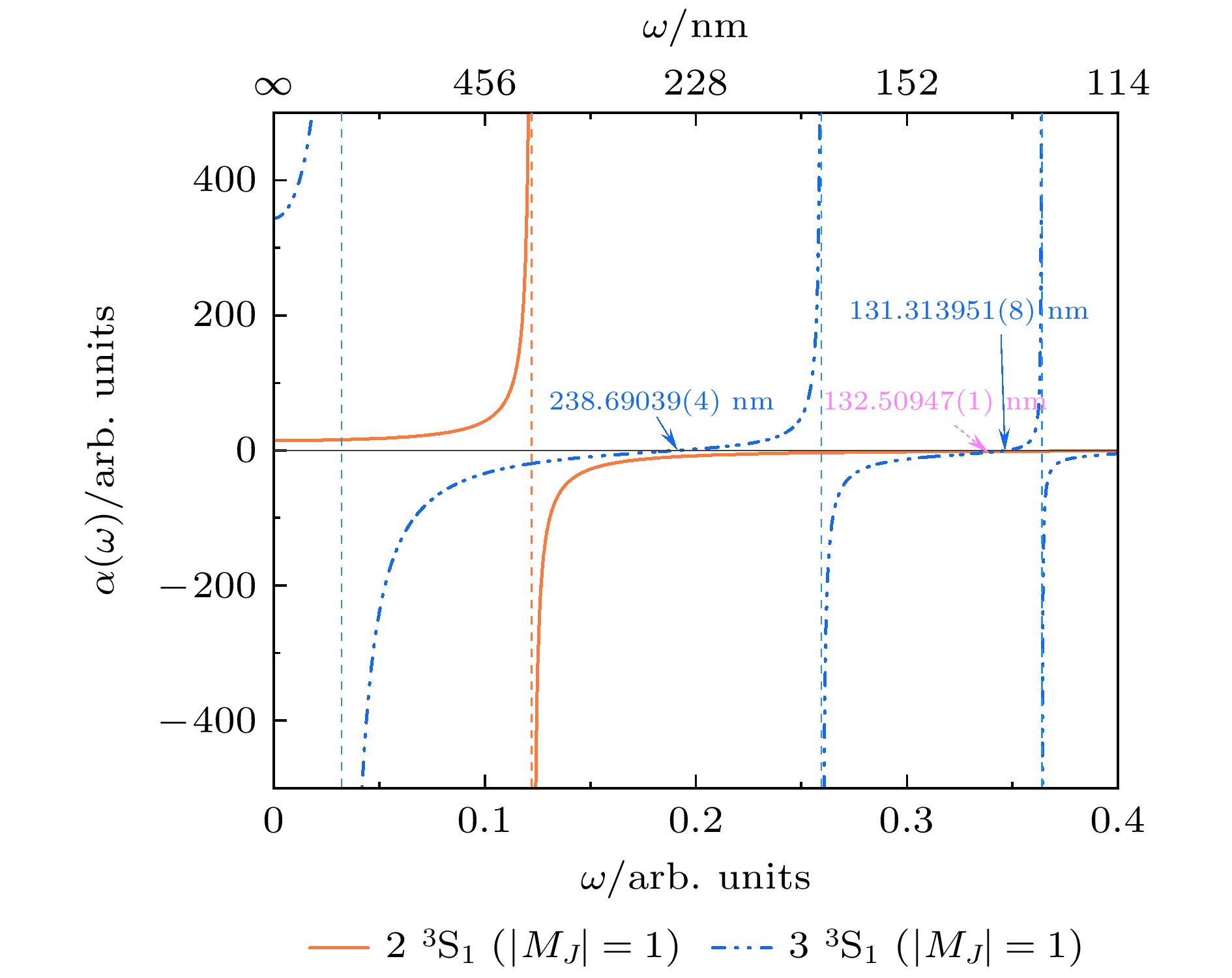
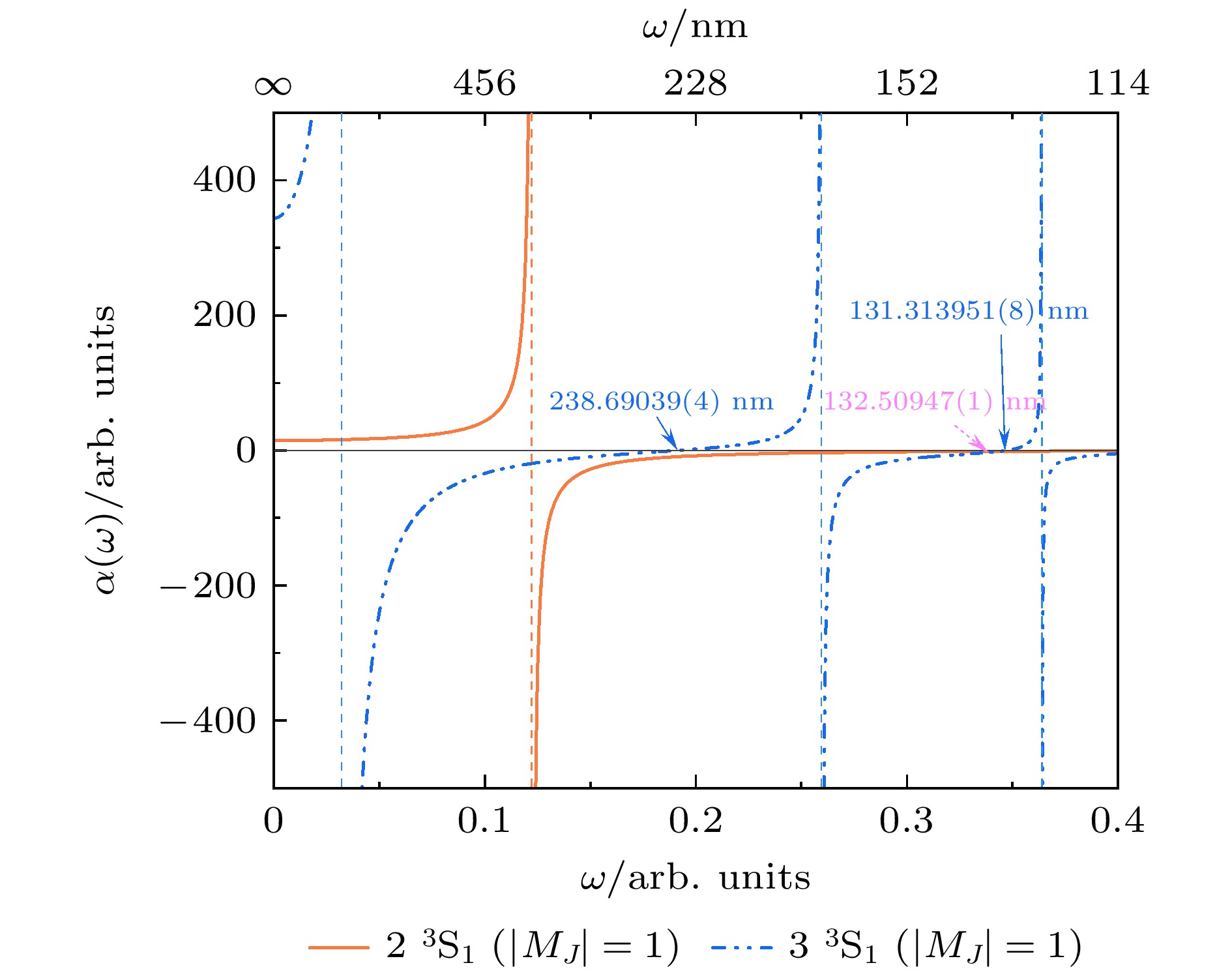
11Be, as a typical one-neutron halo nucleus, is of unique significance in studying atomic and nuclear physics. The nucleus comprises a tightly bound 10Be core and a loosely bound valence neutron, forming an exotic nuclear configuration that is significantly different from traditional nuclear configuration in both magnetic and charge radii, thereby establishing a unique platform for investigating nuclear-electron interactions. In this study, we focus on the helium-like 11Be2+ ion and systematically calculate the energies and wavefunctions of the $n^{3}S_1$ and $n^{3}{\mathrm{P}}_{0,1,2}$ states up to principal quantum number $n=8$ by employing the relativistic configuration interaction (RCI) method combined with high-order B-spline basis functions. By directly incorporating the nuclear mass shift operator $H_{\mathrm{M}}$ into the Dirac-Coulomb-Breit (DCB) Hamiltonian, we comprehensively investigate the relativistic effects, Breit interactions, and nuclear mass corrections for 11Be2+. The results demonstrate that the energies of states with $n\leqslant 5$ converge to eight significant digits, showing excellent agreement with existing NRQED values, such as $-9.29871191(5)$ a.u. for the $^{3}{\mathrm{S}}_1$ state. The nuclear mass corrections are on the order of 10–4 a.u. and decrease with principal quantum number increasing. By using the high-precision wavefunctions, the electric dipole oscillator strengths for $k^3{\mathrm{S}}_1 \rightarrow m^3{\mathrm{P}}_{0,1,2}$ transitions ($k \leqslant 5$, $m \leqslant 8$) are determined, resulting in low-lying excited states ($m\leqslant4$) accurate to six significant digits, thereby providing reliable data for evaluating transition probabilities and radiative lifetimes. Furthermore, the dynamic electric dipole polarizabilities of the $n'^3{\mathrm{S}}_1$ ($n' \leqslant 5$) states are calculated using the sum-over-states method. The static polarizabilities exhibit a significant increase with principal quantum number increasing. For the $J=1$ state, the difference in polarizability between the magnetic sublevels $M_J=0$ and $M_J=\pm1$ is three times the tensor polarizability. In the calculation of dynamic polarizabilities, the precision reaches 10–6 in non-resonant regions, whereas achieving the same accuracy near resonance requires higher energy precision. These high-precision computational results provide crucial theoretical foundations and key input parameters for evaluating Stark shifts in high-precision measurements, simulating light-matter interactions, and investigating single-neutron halo nuclear structures. [1] [2] [3] [4] [5] [6] [7] [8] [9] [10] [11] [12] [13] [14] [15] [16] [17] [18] [19] [20] [21] [22] [23] [24] [25] [26] [27] [28] [29] [30] [31] [32] [33] [34] [35] -
(N, $ \ell_m $) $ 2 ^3\mathrm{S}_1 $ $ 3 ^3\mathrm{S}_1 $ $ 4 ^3\mathrm{S}_1 $ $ 5 ^3\mathrm{S}_1 $ $ 6 ^3\mathrm{S}_1 $ $ 7 ^3\mathrm{S}_1 $ $ 8 ^3\mathrm{S}_1 $ (40, 8) –9.2987118781 –8.5483475380 –8.3017888508 –8.1909936393 –8.1318566822 –8.0966153793 –8.0739367761 (40, 9) –9.2987119119 –8.5483475470 –8.3017888543 –8.1909936410 –8.1318566832 –8.0966153799 –8.0739367765 (40, 10) –9.2987118673 –8.5483475442 –8.3017888537 –8.1909936408 –8.1318566831 –8.0966153798 –8.0739367764 (45, 10) –9.298 711 9028 –8.5483475516 –8.3017888542 –8.1909936238 –8.1318565642 –8.0966147583 –8.0739335599 (50, 10) –9.2987118649 –8.5483475498 –8.3017888539 –8.1909936224 –8.1318565546 –8.0966147052 –8.0739332679 Extrap. –9.29871191(5) –8.54834755(2) –8.30178885(1) –8.19099362(3) –8.1318566(1) –8.0966147(4) –8.073933(4) –9.298711181[21] ∞Be2+ –9.29917621(4)[29] –8.54877343(4)[29] –8.30220222(4)[29] –8.19140139(4)[29] –8.1322613(2) –8.0970178(6) –8.074334(5) n $ ^3{\mathrm{P}}_0 $(11Be2+) $ ^3{\mathrm{P}}_0 $(∞Be2+) $ ^3{\mathrm{P}}_1 $(11Be2+) $ ^3{\mathrm{P}}_1 $(∞Be2+) $ ^3{\mathrm{P}}_2 $(11Be2+) $ ^3{\mathrm{P}}_2 $(∞Be2+) 2 –9.17627904(4) –9.176 700 64(4)[29] –9.17633162(4) –9.17675322(4)[29] –9.17626402(4) –9.17668561(4)[29] –9.176278322[21] –9.176330730[21] –9.176263355[21] 3 –8.51591623(4) –8.51633141(4)[29] –8.51592914(4) –8.51634433(4)[29] –8.51590908(4) –8.51632431(4)[29] 4 –8.28867151(4) –8.28908063(4)[29] –8.28867658(4) –8.28908570(4)[29] –8.28866814(4) –8.28907727(4)[29] 5 –8.18442245(4) –8.18482810(4)[29] –8.18442495(4) –8.18483061(4)[29] –8.18442064(4) –8.18482630(4)[29] 6 –8.12810385(8) –8.12850744(8) –8.12810527(8) –8.12850886(8) –8.12810278(8) –8.12850637(8) 7 –8.09427236(8) –8.09467469(8) –8.09427324(8) –8.09467556(8) –8.0942717(1) –8.0946740(1) 8 –8.0723741(4) –8.0727757(4) –8.0723745(4) –8.0727762(4) –8.072373(4) –8.0727752(4) $ 2 ^3{\mathrm{S}}_1 $ $ 3 ^3{\mathrm{S}}_1 $ $ 4 ^3{\mathrm{S}}_1 $ $ 5 ^3{\mathrm{S}}_1 $ $ 2^3{\mathrm{P}}_0 $ 2.372207(2)[–2] 9.872733(2)[–3] 1.928282(2)[–3] 7.371365(4)[–4] $ 2^3{\mathrm{P}}_1 $ 7.113520(4)[–2] 2.959444(1)[–2] 5.780477(2)[–3] 2.209758(2)[–3] $ 2^3{\mathrm{P}}_2 $ 1.186353(6)[–1] 4.935354(6)[–2] 9.638898(6)[–3] 3.684637(4)[–3] $ 3^3{\mathrm{P}}_0 $ 2.8034387(2)[–2] 3.9595500(4)[–2] 2.1969329(1)[–2] 4.408759(2)[–3] $ 3^3{\mathrm{P}}_1 $ 8.412570(1)[–2] 1.1872683(2)[–1] 6.5866197(8)[–2] 1.3218516(4)[–2] $ 3^3{\mathrm{P}}_2 $ 1.4016114(8)[–1] 1.980174(5)[–1] 1.0983887(8)[–1] 2.204119(1)[–2] $ 4^3{\mathrm{P}}_0 $ 7.9394418(4)[–3] 2.9307965(4)[–2] 5.442867(2)[–2] 3.485147(2)[–2] $ 4^3{\mathrm{P}}_1 $ 2.3822715(1)[–2] 8.794741(2)[–2] 1.6320086(4)[–2] 1.0449598(8)[–1] $ 4^3{\mathrm{P}}_2 $ 3.969574(2)[–2] 1.465153(2)[–1] 2.721986(4)[–1] 1.742527(2)[–1] $ 5^3{\mathrm{P}}_0 $ 3.436979(4)[–3] 8.804208(4)[–3] 3.165094(4)[–2] 6.89132(2)[–2] $ 5^3{\mathrm{P}}_1 $ 1.031254(1)[–2] 2.641763(1)[–2] 9.49775(1)[–2] 2.066303(6)[–1] $ 5^3{\mathrm{P}}_2 $ 1.718454(2)[–2] 4.401593(4)[–2] 1.582203(2)[–1] 3.446360(4)[–1] $ 6^3{\mathrm{P}}_0 $ 1.822257(8)[–3] 3.98831(2)[–3] 9.67922(2)[–3] 3.44362(4)[–2] $ 6^3{\mathrm{P}}_1 $ 5.46755(4)[–3] 1.196685(8)[–2] 2.904307(4)[–2] 1.03336(2)[–1] $ 6^3{\mathrm{P}}_2 $ 9.11117(6)[–3] 1.99396(1)[–2] 4.838841(4)[–2] 1.72139(1)[–1] $ 7^3{\mathrm{P}}_0 $ 1.08963(8)[–3] 2.1925(2)[–3] 4.4708(2)[–3] 1.057500(8)[–2] $ 7^3{\mathrm{P}}_1 $ 3.2693(2)[–3] 6.5784(6)[–3] 1.34147(8)[–2] 3.17309(6)[–2] $ 7^3{\mathrm{P}}_2 $ 5.4481(6)[–3] 1.0961(1)[–2] 2.2351(1)[–2] 5.2866(2)[–2] $ 8^3{\mathrm{P}}_0 $ 7.067(8)[–4] 1.350(1)[–3] 2.503(4)[–3] 4.926(4)[–3] $ 8^3P_1 $ 2.1182(4)[–3] 4.051(4)[–3] 7.510(4)[–3] 1.479(2)[–3] $ 8^3{\mathrm{P}}_2 $ 3.530(2)[–3] 6.750(2)[–3] 1.252(2)[–2] 2.464(2)[–2] (N, $ \ell_m $) $ 2\, ^3 {\mathrm{S}}_1(M_{J}=0/\pm 1) $ $ 3\, ^3 {\mathrm{S}}_1(M_{J}=0/\pm 1) $ $ 4\, ^3 {\mathrm{S}}_1(M_{J}=0/\pm 1) $ $ 5\, ^3 {\mathrm{S}}_1(M_{J}=0/\pm 1) $ (40, 8) 14.888529/14.891730 343.889786/343.954302 2868.6928/2869.2072 14424.502/14427.048 (40, 9) 14.888533/14.891735 343.889940/343.954462 2868.6941/2869.2085 14424.508/14427.054 (40, 10) 14.888538/14.891742 343.890034/343.954574 2868.6946/2869.2092 14424.510/14427.058 (45, 10) 14.888561/14.891758 343.890263/343.954742 2868.6970/2869.2111 14424.544/14427.088 (50, 10) 14.888528/14.891735 343.889933/343.954502 2868.6944/2869.2092 14424.531/14427.080 Extrap. 14.88858(6)/14.89177(4) 343.8904(7)/343.9548(5) 2868.697(5)/2869.211(4) 14424.54(4)/14427.08(4) ω/a.u. $ 2 ^3\mathrm{S}_1(M_{J}=0/\pm 1) $ $ 3 ^3\mathrm{S}_1(M_{J}=0/\pm 1) $ $ 4 ^3\mathrm{S}_1(M_{J}=0/\pm 1) $ $ 5 ^3\mathrm{S}_1(M_{J}=0/\pm 1) $ 0.02 15.27929(3)/15.28277(2) 551.7125(9)/551.9742(7) –2126.974(5)/–2125.537(4) –1666.090(2)/–1665.446(2) 0.03 15.79888(3)/15.80274(3) 2348.47(3)/2355.50(2) –649.2535(8)/–648.9762(6) –638.422(2)/–638.155(2) 0.04 16.59145(4)/16.59592(3) –645.258(3)/–644.484(2) –317.9701(4)/–317.8436(3) –284.578(3)/–284.410(3) 0.045 17.11436(4)/17.11926(3) –361.0677(9)/–360.7746(7) –238.3984(3)/–238.3025(2) –171.451(4)/–171.301(4) 0.05 17.74088(4)/17.74631(3) –240.8547(5)/–240.6914(4) –183.3957(2)/–183.3195(2) –60.173(6)/–60.025(7) 0.055 18.49116(5)/18.49728(4) –175.3147(3)/–175.2190(3) –143.3993(2)/–143.3365(2) 102.35(2)/102.53(2) 0.06 19.39221(5)/19.39919(4) –134.5050(2)/–134.4378(2) –113.0578(2)/–113.00454(9) 672.43(7)/672.93(7) 0.065 20.48070(6)/20.48879(5) –106.9053(2)/–106.8553(2) –89.1419(1)/–89.09557(8) –1326.21(8)/–1325.85(8) 0.07 21.80763(7)/21.81719(6) –87.1505(2)/–87.11157(9) –69.56520(9)/–69.52388(6) –490.156(5)/–490.103(5) 0.075 23.44577(9)/23.45730(7) –72.41078(9)/–72.37938(7) –52.87530(8)/–52.83766(5) –338.839(2)/–338.785(2) 0.08 25.5025(2)/25.51673(8) –61.05605(8)/–61.03007(6) –37.95614(6)/–37.92106(5) –278.694(3)/–278.627(3) 0.085 28.1427(2)/28.1609(1) –52.08358(7)/–52.06161(5) –23.81351(7)/–23.77994(6) –257.546(6)/–257.452(6) 0.09 31.6335(2)/31.6576(2) –44.84405(6)/–44.82516(4) –9.35342(8)/–9.32025(7) –277.90(2)/–277.68(2) 0.095 36.4367(3)/36.4702(2) –38.89943(5)/–38.88295(4) 6.9806(1)/7.01487(9) –432.7(2)/–431.7(2) 0.10 43.4261(4)/43.4760(3) –33.94404(5)/–33.92949(4) 28.0790(2)/28.1170(2) 441.99(6)/442.72(6) 0.11 74.483(2)/74.6458(9) –26.18144(4)/–26.16973(3) 131.7548(7)/131.8358(8) 32.52(3)/32.53(3) 0.12 361.19(4)/365.51(3) –20.39655(3)/–20.38682(2) –486.980(5)/–486.775(5) –146(1)/–146(1) 0.13 –111.268(4)/–110.830(3) –15.91658(3)/–15.90826(2) –116.4122(2)/–116.4040(2) –8.5(2)/–8.4(2) 0.14 –45.6790(6)/–45.5965(5) –12.32375(2)/–12.31647(2) –68.80539(6)/–68.79816(6) 0.15 –27.7762(3)/–27.7422(2) –9.34226(2)/–9.33576(2) –46.6878(2)/–46.6794(2) 0.16 –19.4618(2)/–19.4433(1) –6.77800(2)/–6.77207(2) –28.4859(4)/–28.4748(4) 0.17 –14.68262(9)/–14.67079(7) –4.48302(2)/–4.47750(2) 27.568(5)/27.602(5) 0.18 –11.59257(6)/–11.58420(5) –2.33146(2)/–2.32622(1) –76.562(2)/–76.550(2) 0.19 –9.43904(5)/–9.43342(4) –0.19850(2)/–0.193392(9) –51.2307(7)/–51.2156(7) 0.20 –7.85783(4)/–7.85328(3) 2.06578(2)/2.070910(9) –47.611(3)/–47.577(3) 0.22 –5.70307(3)/–5.70005(2) 8.05211(2)/8.058053(9) 56.557(6)/56.635(6) 0.24 –4.31412(2)/–4.31196(2) 22.40003(2)/22.41095(2) 2.70(5)/2.70(5) 0.26 –3.35158(2)/–3.349930(9) –1580.80(4)/–1566.25(4) –5.1(6)/–5.0(6) 0.28 –2.64914(1)/–2.647830(7) –26.249939(7)/–26.248577(8) 0.30 –2.115953(8)/–2.114877(6) –12.800496(3)/–12.799903(3) 0.32 –1.698284(7)/–1.697376(5) –7.278323(3)/–7.277525(3) 0.34 –1.362367(6)/–1.361585(4) –2.571976(7)/–2.570642(7) 0.36 –1.085927(5)/–1.085241(4) 22.4313(3)/22.4461(3) 0.38 –0.853663(4)/–0.853051(3) –10.49399(3)/–10.49349(3) 0.40 –0.654682(4)/–0.654128(3) –4.67869(3)/–4.67806(3) -
[1] [2] [3] [4] [5] [6] [7] [8] [9] [10] [11] [12] [13] [14] [15] [16] [17] [18] [19] [20] [21] [22] [23] [24] [25] [26] [27] [28] [29] [30] [31] [32] [33] [34] [35]
Catalog
Metrics
- Abstract views: 1490
- PDF Downloads: 37
- Cited By: 0









DownLoad: