Search

Article

x

留言板

姓名
邮箱
手机号码
标题
留言内容
验证码

Citation:

ZHU Xiaofeng, ZHANG Suping, ZHANG Ning, ZHOU Hongji, WANG Chuan, PAN Gaofeng, LI Pengzhan, WANG Yang, ZHANG Tianjue
Article Text (iFLYTEK Translation)
PDF
HTML
Get Citation
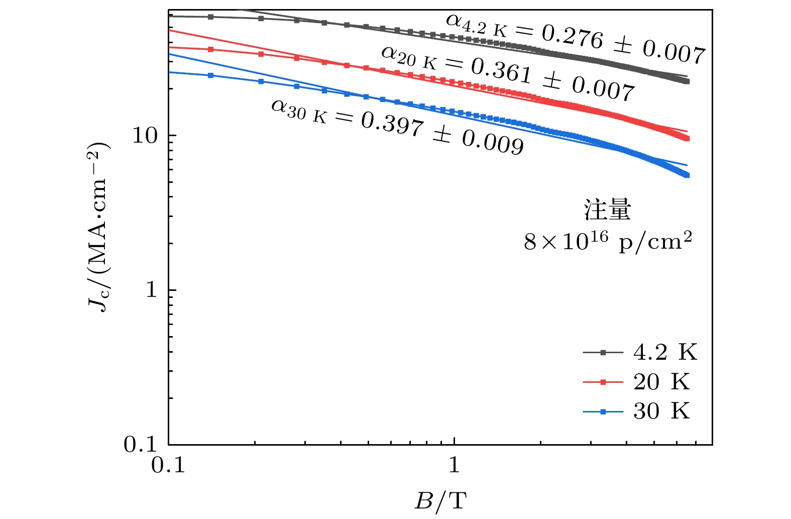
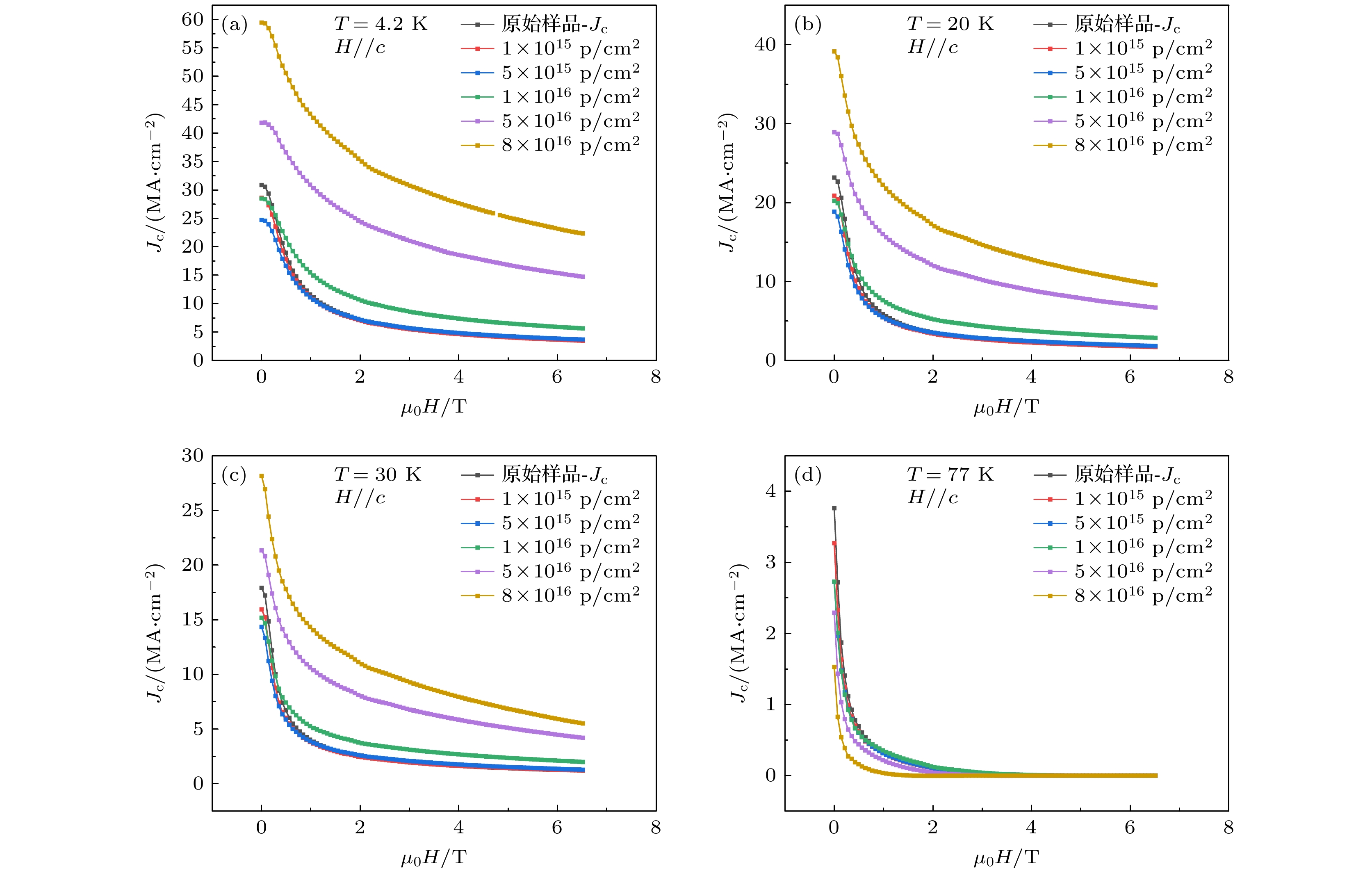
  • This research adopts an innovative method, i.e. proton irradiation technology, for realizing defect control in practical engineering yttrium barium copper oxide (YBCO) tapes, in order to improve the critical current density of YBCO high-temperature superconducting tapes in high magnetic fields. Based on the material irradiation terminal of the 4.5 MV electrostatic accelerator at Peking University, systematic irradiation experiments are conducted using 3 MeV proton beams on YBCO superconducting tapes at different fluence rates, successfully constructing high-density, low-dimensional controllable artificial pinning centers in the high superconducting tapes. This defect engineering significantly suppresses the flux creep phenomenon and enhances the pinning effect by creating low-energy pinning sites for flux lines, thereby significantly weakening the inhibitory effect of external magnetic fields on critical current (Ic). Comparative analysis of superconducting tapes before and after irradiation is conducted, including superconducting transition temperature, superconducting critical performance, and dependence of critical current density on magnetic field. As the irradiation dose increases, high-density point defects (vacancies, interstitial atoms, etc.) and a small number of vacancy clusters are implanted inside the superconducting tape, resulting in a corresponding decrease in the superconducting phase. Therefore, as the dose increases, the orderliness of the superconducting phase in the superconducting tape decreases sharply, leading to a gradual widening of the superconducting transition temperature zone. By measuring the hysteresis loops of samples irradiated with different doses of protons and calculating the critical current density Jc based on the Bean model, the experimental data show that under irradiation conditions with a fluence rate of 8×1016 P/cm2, the critical current of the sample under extreme operating conditions of 4.2 K and 6.5 T achieves an 8-fold breakthrough improvement. Meanwhile, the maximum improvement factors in critical current density at 20 K and 5 T and 30 K and 4 T are also 5.5 times and 4.8 times, respectively. The logarithmic curve is fitted using the JcB power exponent model, with the power parameter α values of 0.276, 0.361, and 0.397 for the variation of critical current density with magnetic field in three temperature ranges of 4.2 K, 20 K, and 30 K, respectively. This indicates that the superconducting tape irradiated with protons will form more effective strong pinning centers at lower temperatures, reducing the dependence of the critical current density of the superconducting tape on the magnetic field. This performance breakthrough significantly enhances the application potential of high superconducting tapes in low-temperature and high magnetic fields environments, especially in frontier fields such as particle accelerators and fusion reactors, where there is an urgent demand for high-performance superconducting magnets. This work confirms that the proton irradiation technology can efficiently optimize critical performance through defect engineering without changing the existing preparation process of YBCO tapes, thereby providing a highly feasible and process-compatible technical path for realizing the practical performance control of superconducting materials.
  • 离子
    种类
    能量/
    MeV
    流强/
    nA
    注量/
    (ions·cm–2)
    Jc备注
    Au181206×1011↑2.527 K@3 T
    He2.52003×1015↑1.810 K@7 T
    Ar2.51205×1011↑2.210 K@7 T
    Ta19005×1011↑4.410 K@7 T
    DownLoad: CSV

    离子种类样品能量/MeV流强/nA注量/(p·cm–2)
    H超导带材310001×1015
    5×1015
    1×1016
    5×1016
    8×1016
    DownLoad: CSV
    Baidu
  • [1]

    [2]

    [3]

    [4]

    [5]

    [6]

    [7]

    [8]

    [9]

    [10]

    [11]

    [12]

    [13]

    [14]

    [15]

    [16]

    [17]

    [18]

    [19]

    [20]

    [21]

    [22]

Metrics
  • Abstract views:  105
  • PDF Downloads:  0
  • Cited By: 0
Publishing process
  • Received Date:  01 August 2025
  • Accepted Date:  27 October 2025
  • Available Online:  13 December 2025
    返回文章
    返回
    Baidu
    map