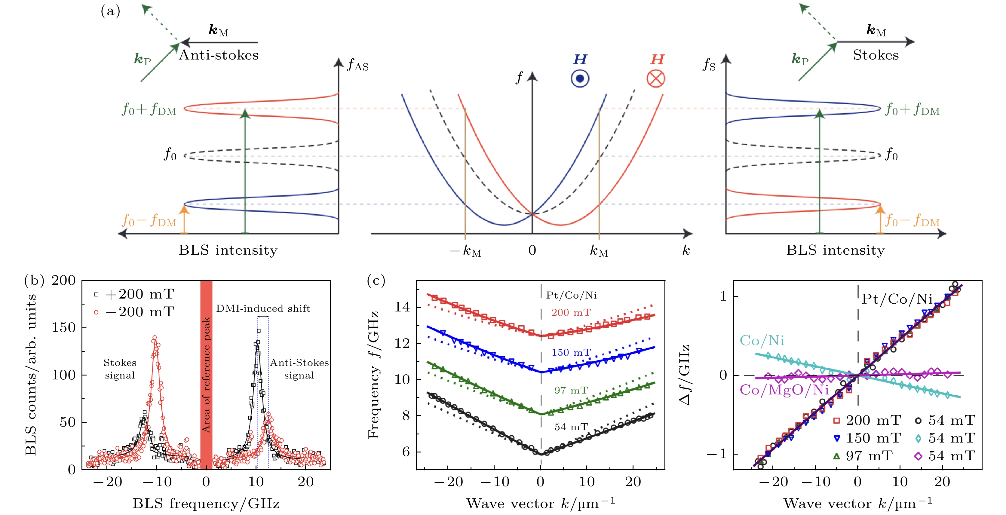
Brillouin light scattering (BLS) spectroscopy has emerged as a cornerstone technique for investigating elementary excitations in condensed matter systems, offering unique capabilities for the noninvasive characterization of magnon and phonon dynamics. This review examines the fundamental principles, technological evolution, and diverse applications of BLS across multiple research domains.BLS operates through inelastic scattering between photons and quasiparticles (magnons, phonons), enabling precise measurement of excitation frequencies, propagation characteristics, and interaction mechanisms through the detection of characteristic frequency shifts. Since Brillouin's theoretical prediction in 1914 and Gross's experimental verification in 1930, this technique has evolved dramatically. The Sandercock’s revolutionary development of tandem Fabry-Pérot interferometers in the 1970s laid the foundation for modern high-resolution BLS systems, achieving contrast ratios exceeding $ 10^{10} $ and frequency resolution in the MHz range.We detail four advanced BLS configurations: 1) Traditional wave-vector-resolved systems that can precisely measure dispersion relation and detect non-reciprocal spin wave propagation induced by Dzyaloshinskii-Moriya interactions; 2) Micro-focused BLS (μBLS) that can achieve sub-micrometer spatial resolution for nanoscale magnetic structure characterization; 3) Time-resolved BLS (TR-BLS) that provides nanosecond temporal resolution for studying ultrafast dynamics, magnon Bose-Einstein condensation, and nonlinear phenomena; 4) Phase-resolved BLS (PR-BLS) that can directly measure wave vector and phase through electro-optical modulation. Beyond traditional magnonic applications, BLS demonstrates remarkable versatility in phonon research and magnetoacoustic coupling studies. The technique's polarization-sensitive detection can simultaneously investigate the magnon-phonon hybrid states and energy transfer mechanisms. Notably, BLS has successfully expanded into biomedical applications, exhibiting non-contact characterization of cellular and tissue viscoelastic properties at GHz frequencies and revealing disease-related biomechanical changes.As BLS technology continues to advance through improved instrumentation and novel methods, it serves as an indispensable platform spanning quantum materials research, magnonic device development, and cellular mechanobiology, positioning itself at the forefront of interdisciplinary science, thus bridging condensed matter physics, materials engineering, and biomedical research.