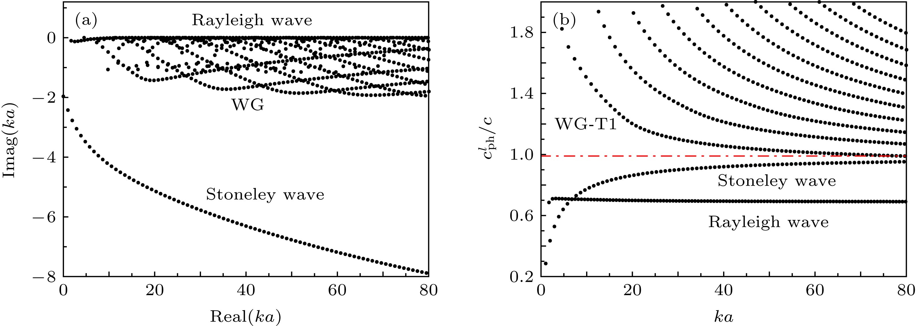
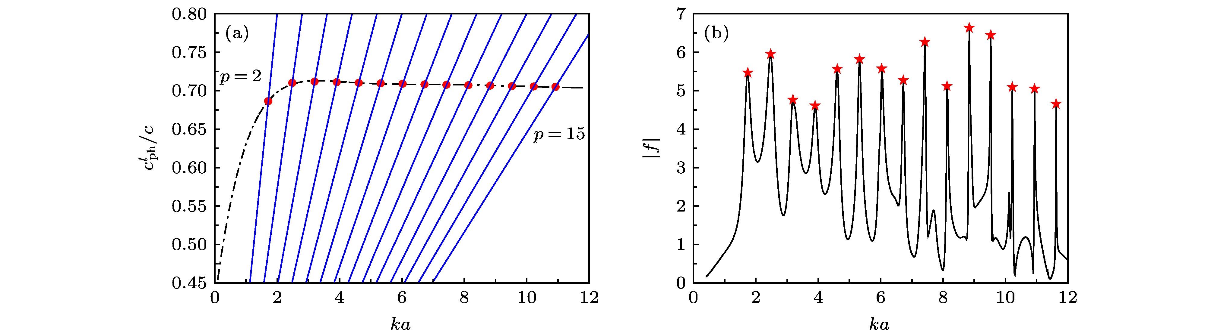
The high-precision molding capability of complex surfaces and structures makes three-dimensional (3D) printing technology more widely used in underwater acoustic models and structural molding. The plastic polymer material, as the main material in the field of 3D printing, possesses the acoustic parameters that are directly related to the acoustic properties of 3D printed underwater acoustic models and structures. Based on the Rayleigh normal series solution for the acoustic scattering of underwater target and the mechanism analysis of the low-frequency resonance which is associated with subsonic Rayleigh waves on the solid plastic polymer spheres, the sensitivity characteristics of the resonance frequency and amplitude to the wave velocity and attenuation coefficient are obtained at low frequencies. It is shown that the transverse wave velocity and the transverse wave attenuation coefficient both have high inversion accuracy at low values of
ka, where
ais the radius of elastic sphere, as they are quite sensitive to the backscattering resonance frequency and amplitude, respectively. In the frequency band of interest, the backscattering resonance frequency is almost independent of attenuation coefficient. Considering the inversion accuracy, the longitudinal wave velocity and transverse wave velocity are inverted by the resonance frequency separately. Based on these characteristics, the cyclic search method is used to establish an acoustic parameter inversion method for plastic polymer materials, in which the frequency and amplitude of backscattering resonance peak are used as cost functions. Finally, the backscattering acoustic scattering experiment on a solid typical plastic polymer PMMA (methyl methacrylate-acrylic) sphere is conducted in the tank. The experimental results about the backscattering target strength varying with the frequency are in good agreement with the simulation results in a frequency range of 5–20 kHz. The simulation parameters such as the longitudinal wave velocity, transverse wave velocity and attenuation coefficient are obtained by the previously established inversion method. Therefore, the acoustic parameter inversion method provides reliable acoustic parameters for 3D printed underwater acoustic model and structure performance prediction for plastic polymer materials.