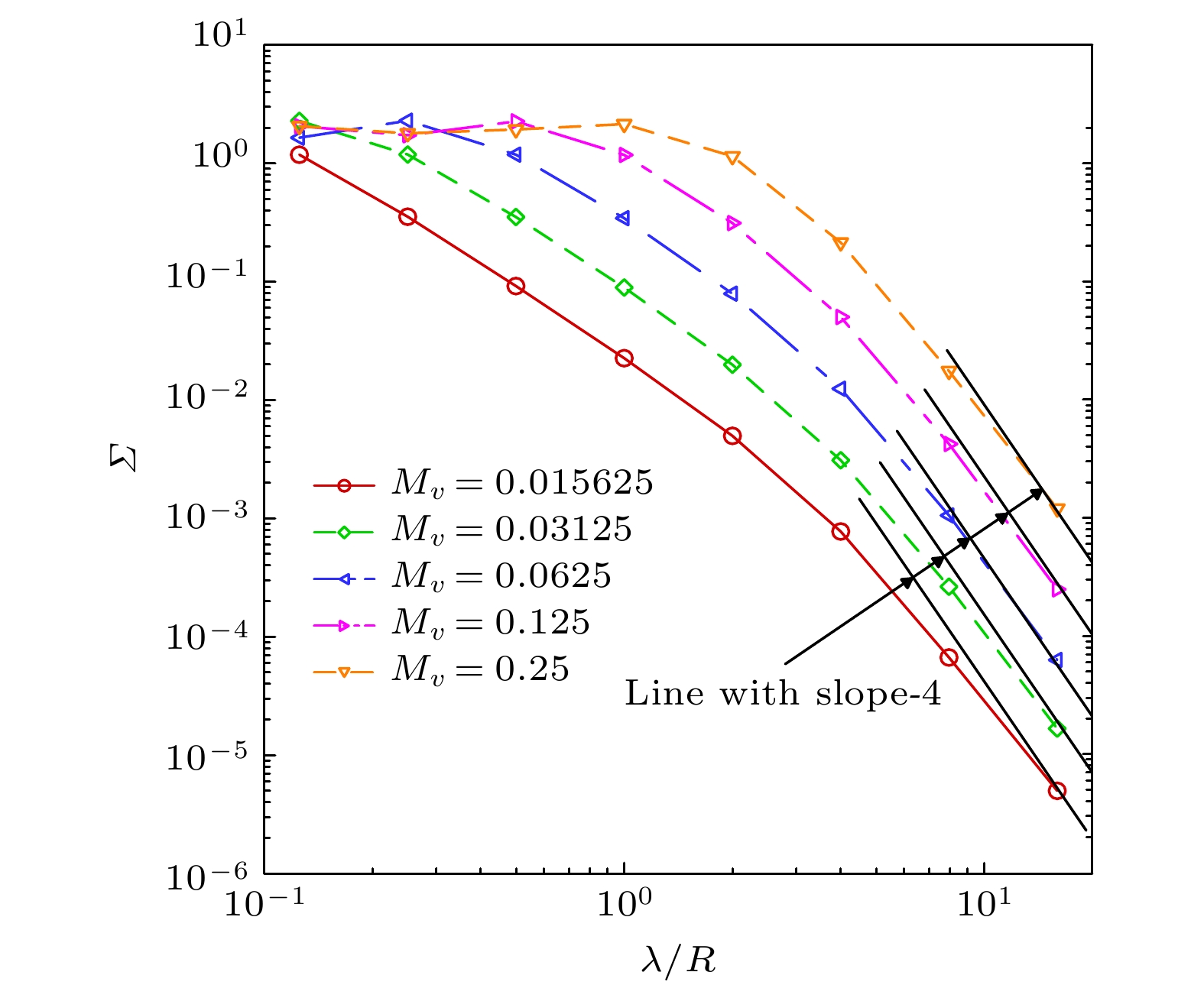
When acoustic waves propagate through a volume of vortical flows, the strong nonlinear scattering lead the amplitude, the frequency, and the phase of the incident waves to change obviously. As one of the most significant problems in the area of aeroacoustics, the scattering of acoustic waves by a vortical flow plays a main role in industrial applications and scientific research. In this study, we start from an elementary vortex model. The scattering of plane acoustic waves from a Taylor vortex is investigated by solving two-dimensional Euler equations numerically in the time domain. To resolve the small-amplitude acoustic waves, a sixth-order-accurate compact Padé scheme is used for spatial derivatives and a fourth-order-accurate Runge-Kutta scheme is used to advance the solution in time. To minimize the reflection of outgoing waves, a buffer zone is used at the computational boundary. The computations of scattered fields with very small amplitudes are found to be in excellent agreement with a benchmark provided by previous studies. Simulations for the scattering from a Taylor vortex reveal that the amplitude of the scattered fields is strongly influenced by two dimensionless quantities: the vortex strength
${M_v}$
and the length-scale ratio
$\lambda /R$
. Based on a global analysis of scale effects of these two dimensionless quantities on the scattering cross-section, the whole scattering domain defined on the
${M_v} - \lambda /R$
plane is divided into three subdomains. As the vortex strength
${M_v}$
increases and the length-scale ratio
$\lambda /R$
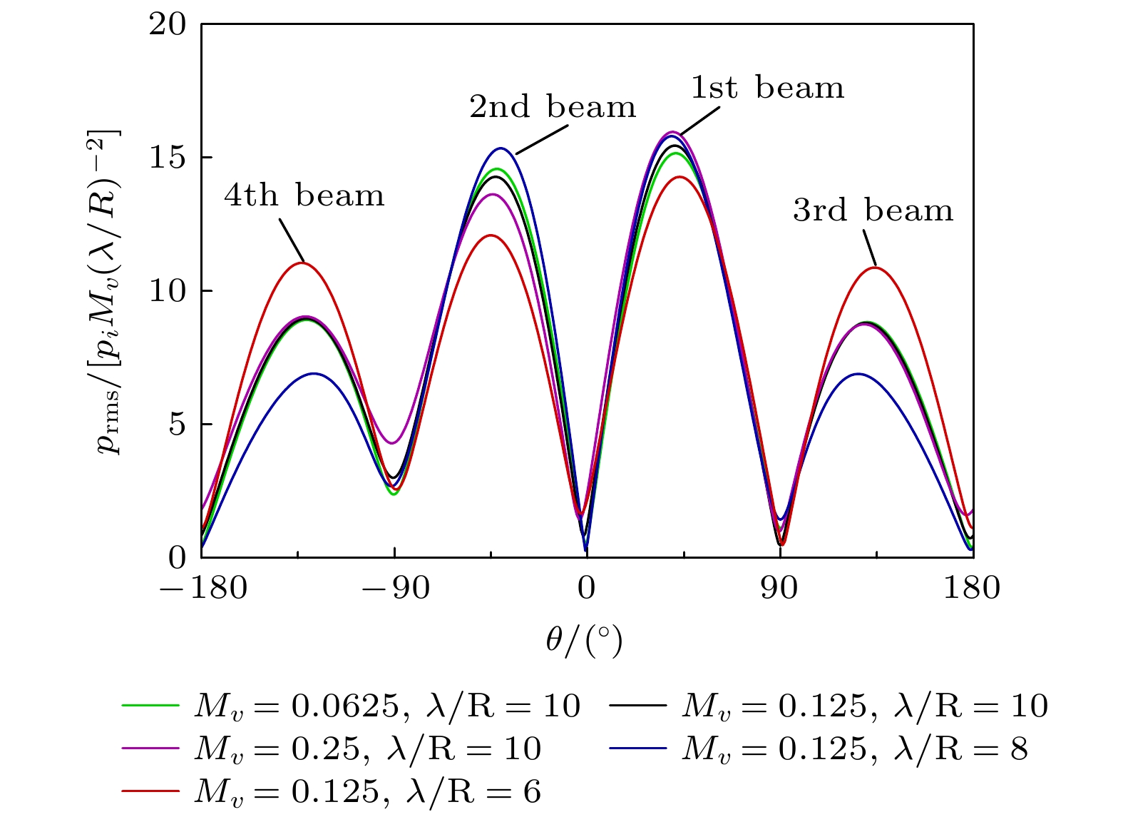
decreases, the acoustic scattering from a compact vortex goes through the long-wavelength domain, the resonance domain, and the geometrical acoustics domain in turn. The associated scattered fields with the increasing of intensity show more irregularities. The scattering in the long-wavelength domain possesses four primary beams described by half-sine functions, which scales as
${M_v}{\left( {\lambda /R} \right)^{ - 2}}$
. In particular, the directivity of the scattered field with a very low Mach number and a very long wavelength behaves as
${M_v}{\left( {\lambda /R} \right)^{ - 2}}\left| {\sin \left( {\theta /2} \right)} \right|$
. In the resonance domain, the beams in the opposite direction to the incident waves decay rapidly. The rest of two beams follow the
${M_v}$
scaling. The scattered fields are concentrated around the direction of the incident wave in the geometrical acoustics domain, where the primary beams are surrounded by several small sub-beams. The physical mechanism of the acoustic scattering caused by a vortex involves two different mechanisms, namely nonlinear scattering effect and linear long-range refraction effect.