-
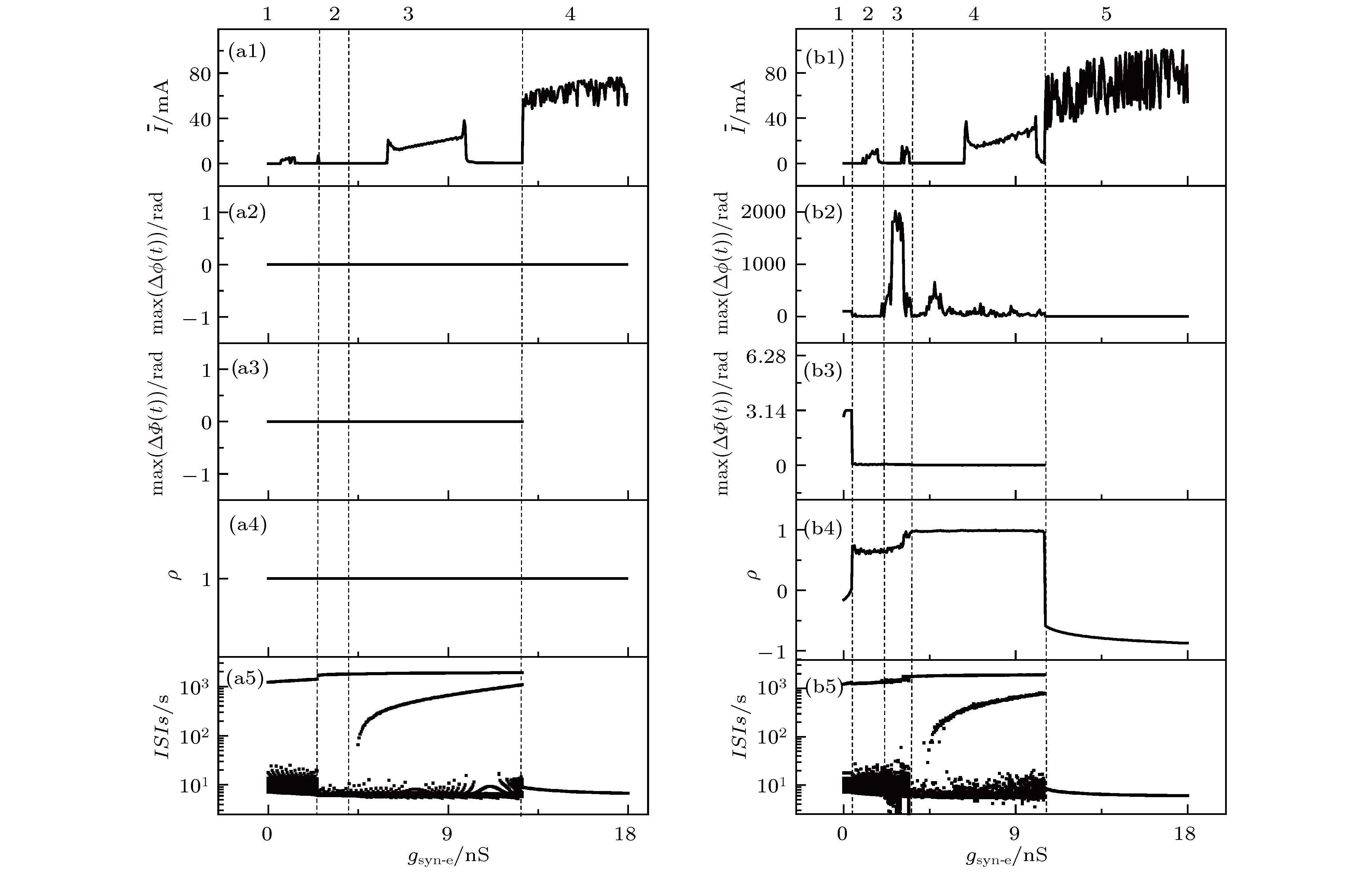
Pre-Bötzinger复合体是兴奋性耦合的神经元网络, 通过产生复杂的放电节律和节律模式的同步转迁参与调控呼吸节律. 本文选用复杂簇和峰放电节律的单神经元数学模型构建复合体模型, 仿真了与生物学实验相关的多类同步节律模式及其复杂转迁历程, 并利用快慢变量分离揭示了相应的分岔机制. 当初值相同时, 随着兴奋性耦合强度的增加, 复合体模型依次表现出完全同步的“fold/homoclinic”, “subHopf/subHopf”簇放电和周期1峰放电. 当初值不同时, 随耦合强度增加, 表现为由“fold/homoclinic”, 到“fold/fold limit cycle”、到“subHopf/subHopf”与“fold/fold limit cycle”的混合簇放电、再到“subHopf/subHopf”簇放电的相位同步转迁, 最后到反相同步周期1峰放电. 完全(同相)同步和反相同步的周期1节律表现出了不同分岔机制. 反相峰同步行为给出了与强兴奋性耦合容易诱发同相同步这一传统观念不同的新示例. 研究结果给出了pre-Bötzinger复合体的从簇到峰放电节律的同步转迁规律及复杂分岔机制, 反常同步行为丰富了非线性动力学的内涵.
-
关键词:
- 分岔/
- 同步转迁/
- 神经放电/
- Pre-Bötzinger复合体
The pre-Bötzinger complex is a neuronal network with excitatory coupling, which participates in modulation of respiratory rhythms via the generation of complex firing rhythm patterns and synchronization transitions of rhythm patterns. In the present paper, a mathematical model of single neuron that exhibits complex transition processes from bursting to spiking is selected as a unit, the network model of the pre-Bötzinger complex composed of two neurons with excitatory coupling is constructed, multiple synchronous rhythm patterns and complex transition processes of the synchronous rhythm patterns related to the biological experimental observations are simulated, and the corresponding bifurcation mechanism is acquired with the fast-slow variable dissection method. When the initial values of two neurons of the pre-Bötzinger complex are the same, with increasing the excitatory coupling strength, the theoretical model of the pre-Bötzinger complex shows complete synchronization transition processes from "fold/homoclinic" bursting, to "subHopf/subHopf" bursting, and at last to period-1 spiking. When the initial values are different, with the increases of the excitatory coupling intensity, the rhythm transition processes begin from phase synchronization behaviors including "fold/homoclinic" bursting, "fold/fold limit cycle" bursting, mixed bursting composed of "subHopf/subHopf" bursting and "fold/fold limit cycle" bursting, and "subHopf/ subHopf" bursting in sequence, and to anti-phase synchronous behavior of the period-1 spiking. The complete (in-phase) synchronous period-1 spiking for the same initial values exhibits bifurcation mechanism different from the anti-phase synchronous period-1 spiking for different initial values. The anti-phase synchronous period-1 spiking presents a novel and abnormal example of the synchronization at large excitatory coupling strength, which is different from the traditional viewpoint that large excitatory coupling often induces in-phase synchronous behavior. The results present the synchronization transition process and complex bifurcation mechanism from bursting to period-1 spiking of the pre-Bötzinger complex, and the abnormal synchronization example enriches the contents of nonlinear dynamics.[1] [2] [3] [4] [5] [6] [7] [8] [9] [10] [11] [12] [13] [14] [15] [16] [17] [18] [19] [20] [21] [22] [23] [24] [25] [26] [27] [28] [29] [30] [31] [32] [33] [34] [35] [36] [37] [38] [39] [40] [41] [42] [43] [44] [45] [46] [47] [48] [49] [50] [51] [52] [53] [54] [55] [56] -
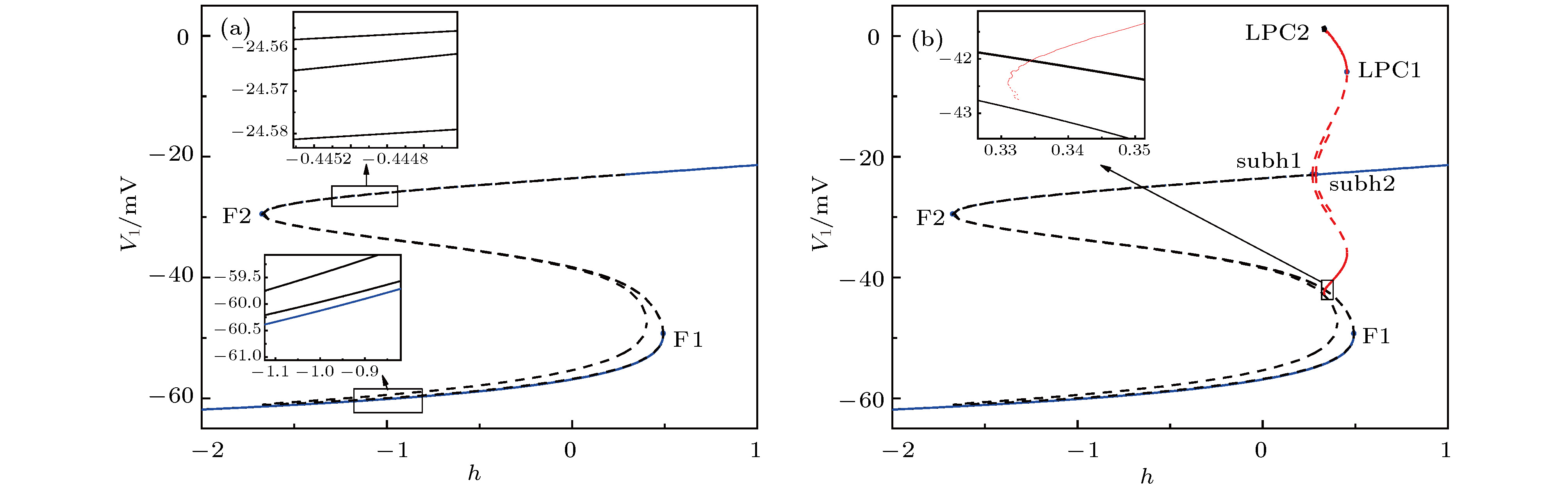
参数 参数值 参数 参数值 参数 参数值 参数 参数值 C 21 pF $ {\sigma _{ {\rm{m_p} }} } $ –6 mV $ {g_{ {\rm{Nap} }} } $ 2.8 nS ${E_{{\rm{Na}}}}$ 50 mV $ {\theta _{ {\rm{m_p} }} } $ –40 mV ${\sigma _{\rm{m}}}$ –5 mV ${g_{{\rm{Na}}}}$ 28 nS ${E_{\rm{K}}}$ –85 mV ${\theta _{\rm{m}}}$ –34 mV $\sigma {}_{\rm{h}}$ 6 mV ${g_{\rm{L}}}$ 2.8 nS ${E_{\rm{L}}}$ –65 mV ${\theta _{\rm{h}}}$ –48 mV ${\sigma _{\rm{n}}}$ –4 mV ${g_{ {\text{tonic-e} } } }$ 0.4 nS ${\bar \tau _{\rm{h}}}$ 10000 ms ${\theta _{\rm{n}}}$ –29 mV ${\sigma _{\rm{s}}}$ –5 mV ${\varepsilon _{}}$ 6 ${\bar \tau _{\rm{n}}}$ 5 ms $\theta {}_{\rm{s}}$ –10 mV ${\alpha _{\rm{s}}}$ –5 mV 关键点 h的值 F1 F2 subh HC LPC 共存区域 $ {g_{\rm{K} }} = 7.1\;{\rm{nS}} $ 0.4928 –1.6780 0.2128 0.3265 0.4308 [0.3265, 0.4308] $ {g_{\rm{K} }} = 7.8\;{\rm{nS}} $ 0.4928 –1.6680 0.2858 0.3476 0.4973 [0.3476, 0.4928] $ {g_{\rm{K} }} = 10.0 \;{\rm{nS}} $ 0.4928 –1.6390 0.5072 0.3941 0.7025 [0.3941, 0.4928] $ {g_{\rm{K} }} = 25.0 \;{\rm{nS}} $ 0.4928 –1.4800 1.7880 0.4849 1.9240 [0.4849, 0.4928] 关键点 h的值 $g_\text{syn-e}$ = 0.35 nS $g_\text{syn-e}$ = 2.5 nS $g_\text{syn-e}$ = 5.0 nS $g_\text{syn-e}$ = 18.0 nS F1 0.4874 0.4918 0.4908 0.4856 F2 –1.6695 –1.6759 –1.6685 –1.7212 subh1 0.2817 0.2565 0.2259 0.0746 subh2 0.2858 0.2852 0.2274 0.0794 LPC1 0.4927 0.4273 0.3598 0.0960 LPC2 \ 0.3103 0.2406 –0.2504 LPC3 \ \ \ 0.0890 LPC4 \ \ \ –0.099 HC 0.3398 \ \ \ 共存区域 [0.3398, 0.4927] [0.3103, 0.4273] [0.2406, 0.3598] [0.0960, 0.250]和[0.0890, 0.099] -
[1] [2] [3] [4] [5] [6] [7] [8] [9] [10] [11] [12] [13] [14] [15] [16] [17] [18] [19] [20] [21] [22] [23] [24] [25] [26] [27] [28] [29] [30] [31] [32] [33] [34] [35] [36] [37] [38] [39] [40] [41] [42] [43] [44] [45] [46] [47] [48] [49] [50] [51] [52] [53] [54] [55] [56]
计量
- 文章访问数:7226
- PDF下载量:111
- 被引次数:0












下载:










