With the development of the application of AlGaN/GaN high electron mobility transistors in the radio frequency field, a capacitance model that can accurately describe the
C-
Vcharacteristics of the device has become an important research topic. The gate capacitance of GaN HEMT can be divided into two parts: intrinsic capacitance and fringing capacitance related to two-dimensional electronic gas (2DEG) electrode. The fringing capacitance plays an important part in the switching device. The outer fringing capacitance
C
ofs/ddominates the fringing capacitance and is affected by the bias applied, especially the drain outer fringing capacitance
C
ofd.
In order to establish the
C
ofdmodel which is related to the bias condition, the physics-based model of
C
ofdis established based on the conformal mapping, including the drain channel length variable. Since the drain channel length is related to the bias applied, the channel length modulation effect can be used to study how bias apllied effect the channel, and the relationship between
C
ofdand the bias condition is obtained. In addition, the threshold voltage variable is introduced when the channel length modulation effect is considered, and the threshold voltage drift caused by changes in the internal parameters and temperature of the device is studied using the threshold voltage variable in the model, and the relationship between
C
ofdand threshold voltage and temperature under different bias was obtained.
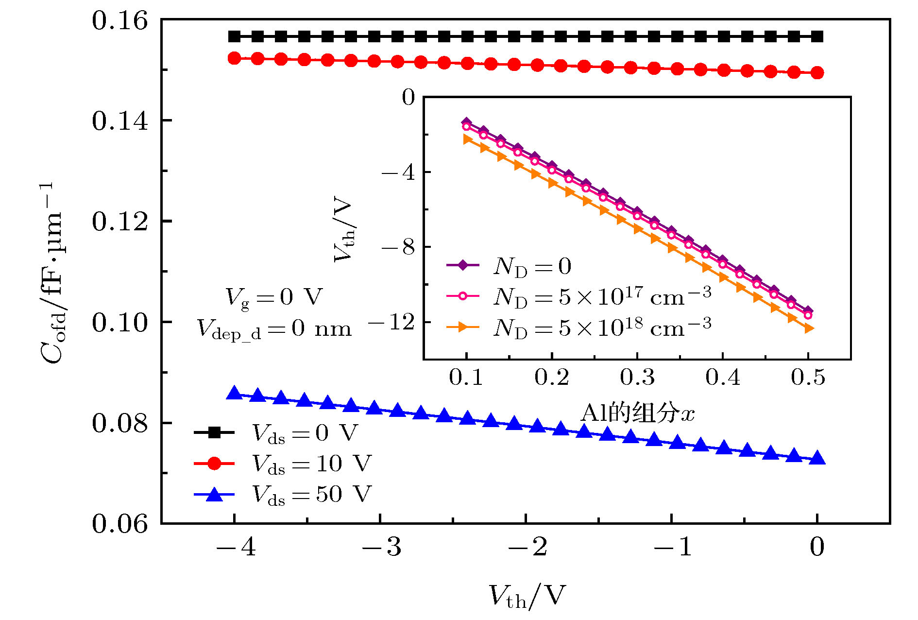
It is found from the results of the study that as drain bias increases from zero, the channel length modulation effect keeps
C
ofdunchanged at lower drain bias. When the drain bias continues to increase,
C
ofdbegins to decay again, and its decay rate slows down with the increase of gate bias. The decrease of donor impurity concentration and Al component in AlGaN barrier layer may increase the threshold voltage, which will strengthen the channel length modulation effect on
C
ofd, resulting in linear attenuation of
C
ofd. With the increasing of drain bias, the influence of threshold voltage shift on
C
ofdis enhanced, and the change of device operating temperature will enhance the threshold voltage shift and cause the deviation of
C
ofd. Moreover, with the continuous increase of drain bias,
C
ofdbecomes more sensitive to the temperature variation.