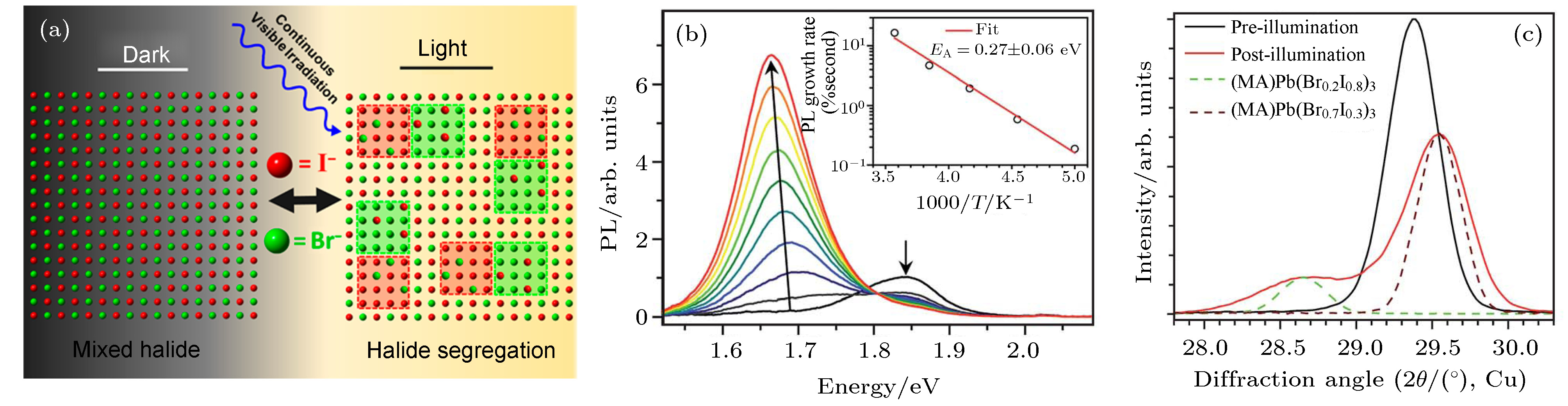
-
Organic-inorganic metal halide perovskites are a new type of photovoltaic material, they have attracted wide attention and made excellent progress in recent years. The power conversion efficiency of a single-junction perovskite solar cell has been increased to 25.2% just within a decade. Meanwhile, crystalline silicon solar cells account for nearly 90% of industrialized solar cells and have a maximum efficiency of 26.7%, approaching to their theoretical limit. It is more difficult to further improve the efficiency of single junction solar cells. It has been shown that multi-junction tandem solar cells prepared by stacking absorption layers with different bandgaps can better use sunlight, which is one of the most promising strategies to break the efficiency limitation of single-junction solar cells. Due to the bandgap tunability and low-temperature solution processability, perovskites stand out among many other materials for manufacturing multi-junction tandem solar cells. Wide bandgap perovskites with a bandgap of 1.63 eV or above have been combined with narrow band gap inorganic absorption layers such as silicon, copper indium gallium selenide, cadmium telluride or narrow bandgap perovskite to produce high efficiency tandem solar cells. In addition to the promoting of the efficiency improvement of solar cells, the wide bandgap perovskites have broad applications in photovoltaic building integration and photocatalytic fields. Therefore, it is very important to explore and develop high quality wide bandgap perovskite materials and solar cells. Unfortunately, the wide bandgap perovskites have several intrinsic weaknesses, including being more vulnerable to the migration of halogen ions under being illuminated, more defects, and greater possibility of energy level mismatching with the charge transport layers than the narrow bandgap counterparts, which limits the further development of the wide bandgap perovskite solar cells. In this review, the development status of wide bandgap perovskite solar cells is summarized and corresponding strategies for improving their performance are put forward. Furthermore, some personal views on the future development of wide bandgap perovskite solar cells are also presented here in this paper.
[1] [2] [3] [4] [5] [6] [7] [8] [9] [10] [11] [12] [13] [14] [15] [16] [17] [18] [19] [20] [21] [22] [23] [24] [25] [26] [27] [28] [29] [30] [31] [32] [33] [34] [35] [36] [37] [38] [39] [40] [41] [42] [43] [44] [45] [46] [47] [48] [49] [50] [51] [52] [53] [54] [55] [56] [57] [58] [59] [60] [61] [62] [63] [64] [65] [66] [67] [68] [69] [70] [71] [72] [73] [74] [75] [76] [77] [78] [79] [80] [81] [82] [83] [84] [85] [86] [87] [88] [89] [90] [91] [92] [93] [94] [95] [96] [97] [98] [99] [100] [101] [102] [103] [104] [105] [106] [107] [108] [109] [110] [111] [112] [113] [114] [115] [116] [117] [118] [119] [120] [121] [122] [123] [124] [125] [126] [127] [128] [129] [130] [131] [132] [133] [134] [135] [136] [137] [138] [139] [140] [141] [142] [143] [144] [145] [146] [147] [148] [149] -
Type Perovskite Eg/eV VOC/V qVOC/Eg JSC/mA·cm–2 FF/% PCE/% Ref. p-i-n MAPbI2.5Br0.5 1.72 1.060 0.61 18.30 78.2 16.60 [35] p-i-n (FA0.83MA0.17)0.95Cs0.05Pb(I0.6Br0.4)3 1.71 1.210 0.71 19.70 77.5 18.50 [36] p-i-n FA0.6Cs0.4Pb(I0.7Br0.3)3 1.75 1.170 0.67 17.50 80.0 16.30 [37] p-i-n FA0.83MA0.17Pb(I0.6Br0.4)3 1.72 1.150 0.67 19.40 77.0 17.20 [38] p-i-n FA0.8Cs0.2Pb(I0.7Br0.3)3 1.75 1.240 0.71 17.92 81.9 18.19 [39] p-i-n (FA0.65MA0.20Cs0.15)Pb(I0.8Br0.2)3 1.68 1.170 0.70 21.20 79.8 19.50 [27] p-i-n Cs0.15(FA0.83MA0.17)0.85Pb(I0.8Br0.2)3 1.64 1.190 0.73 19.50 80.2 18.60 [40] p-i-n CsPbI3 1.73 1.160 0.67 17.70 78.6 16.10 [41] p-i-n CsPbI2Br 1.80 1.230 0.67 15.26 78.0 15.19 [42] p-i-n FA0.6Cs0.3DMA0.1PbI2.4Br0.6 1.70 1.200 0.70 19.60 82.0 19.40 [43] p-i-n FA0.75Cs0.25Pb(I0.8Br0.2)3 1.68 1.217 0.72 20.18 83.6 20.42 [44] p-i-n (FA0.65MA0.2Cs0.15)Pb(I0.8Br0.2)3 1.67 1.200 0.72 NA NA 20.70 [45] p-i-n (FA0.64MA0.20Cs0.15)Pb0.99(I0.79Br0.2)3 1.68 1.196 0.71 21.65 81.5 21.00 [46] n-i-p Rb0.05(FA0.75MA0.15Cs0.1)0.95PbI2Br 1.73 1.120 0.71 19.40 73.0 15.90 [47] n-i-p FA0.83Cs0.17Pb(I0.6Br0.4)3 1.75 1.160 0.66 18.27 78.5 16.28 [48] n-i-p FA0.85Cs0.15Pb(I0.73Br0.27)3 1.72 1.240 0.72 19.83 73.7 18.13 [49] n-i-p FA0.8Cs0.2Pb(I0.7Br0.3)3 1.75 1.250 0.71 18.53 79.0 18.27 [50] n-i-p MAPb(Br0.2I0.8)3 1.72 1.120 0.65 17.30 82.3 15.90 [51] n-i-p K0.1(Cs0.06FA0.79MA0.15)0.9Pb(I0.4Br0.6)3 1.78 1.230 0.69 17.90 79.0 17.50 [52] n-i-p FA0.83Cs0.17Pb(I0.6Br0.4)3 1.75 1.230 0.70 18.34 79.0 17.80 [53] n-i-p Cs0.17FA0.83PbI2.2Br0.8 1.72 1.270 0.74 19.30 77.4 18.60 [54] n-i-p Cs0.12MA0.05FA0.83Pb(I0.6Br0.4)3 1.74 1.250 0.72 19.00 81.5 19.10 [55] n-i-p Rb5(Cs5MAFA)95Pb(I0.83Br0.17)3 1.63 1.240 0.76 22.80 81.0 21.60 [56] n-i-p FA0.83Cs0.17Pb(I0.6Br0.4)3 1.74 1.200 0.70 19.40 75.1 17.00 [57] n-i-p FA0.17Cs0.83PbI2.2Br0.8 1.72 1.244 0.72 19.80 75.0 18.60 [51] n-i-p Cs0.2FA0.8Pb(I0.75Br0.25)3 1.65 1.220 0.74 21.20 80.5 20.70 [55] n-i-p BA0.09(FA0.83 Cs0.17)0.91Pb(I0.6Br0.4)3 1.72 1.180 0.69 19.80 73.0 17.30 [38] n-i-p FA0.15Cs0.85Pb(I0.73Br0.27)3 1.72 1.240 0.72 19.83 73.7 18.10 [58] n-i-p FA0.83Cs0.17Pb(I0.6Br0.4)3 1.72 1.310 0.76 19.30 78.0 19.50 [59] n-i-p Rb0.05Cs0.095MA0.1425FA0.7125PbI2Br 1.72 1.205 0.70 18.00 78.9 17.10 [54] n-i-p CsPbI3 1.73 1.080 0.62 18.41 79.32 15.71 [60] n-i-p CsPbI2Br 1.80 1.230 0.68 16.79 77.81 16.07 [61] n-i-p β-CsPbI3 1.68 1.110 0.66 20.23 82.0 18.40 [62] n-i-p CsPbI3-xBrx 1.77 1.234 0.69 18.30 82.5 18.64 [63] n-i-p CsPbI2Br 1.80 1.270 0.71 15.40 79.0 15.50 [64] 注: NA表示文献中没有给出具体数值; FF表示填充因子. 序号 钙钛矿中常用离子 有效半径R/pm 1 胍离子(GA+) 278 2 二甲胺离子(DMA+) 272 3 甲脒离子(FA+) 253 4 甲胺离子(MA+) 217 5 铯离子(Cs+) 167 6 铷离子(Rb+) 152 7 钾离子(K+) 138 8 钠离子(Na+) 102 9 铅离子(Pb2+) 119 10 锡离子(Sn2+) 112 11 碘离子(I–) 220 12 溴离子(Br–) 196 13 氯离子(Cl–) 181 Type Perovskite Eg/eV VOC/V Jsc/mA·cm–2 FF/% PCE/% Year Area/cm2 Ref. N-I-P MAPbI3 1.61 1.580 11.50 75.00 13.70 2015 1.00 [15] FA0.83MA0.17Pb(I0.84Br0.16)3 1.63 1.785 14.00 79.50 19.90 2016 0.16 [133] MAPbI3 1.60 1.692 15.80 79.90 21.40 2016 0.17 [134] MAPbI3 1.60 1.701 16.10 70.10 19.20 2016 1.22 [134] Cs0.19MA0.81PbI3 1.59 1.751 18.80 77.10 22.70 2018 0.25 [135] Cs0.19MA0.81PbI3 1.59 1.779 16.50 74.10 21.70 2018 1.43 [135] Cs0.19FA0.81Pb(I0.78Br0.22)3 1.63 1.769 16.50 65.40 19.10 2018 12.96 [135] MA0.37FA0.48Cs0.15PbI2.01Br0.99 1.69 1.703 15.26 79.20 20.57 2017 0.03 [136] FA0.5MA0.38Cs0.12PbI2.04Br0.96 1.69 1.655 16.50 81.10 22.22 2018 0.06 [137] FA0.75MA0.25Pb(I0.76B0.24)3 1.65 1.710 15.49 71.00 18.81 2018 0.13 [138] Cs0.08FA0.74MA0.18Pb(I0.88Br0.12)3 1.65 1.780 17.82 75.00 23.73 2018 0.13 [139] Cs0.1(FA0.75MA0.25)0.9Pb(I0.78Br0.22)3 1.67 1.830 16.74 70.00 21.31 2019 0.13 [133] Cs0.08FA0.69MA0.23Pb(I0.78Br22)3 1.67 1.750 16.89 74.18 21.93 2019 0.13 [140] CsRbFAMAPbI3-xBrx 1.62 1.763 17.80 78.10 24.50 2018 1.00 [132] P-I-N Cs0.17FA0.83Pb(Br0.17I0.83)3 1.63 1.650 18.10 79.00 23.60 2017 1.00 [141] FA0.75Cs0.25Pb(I0.8Br0.2)3 1.68 1.770 18.40 77.00 25.00 2018 1.00 [142] Cs0.05(MA0.17FA0.83)Pb1.1(I0.83Br0.17)3 1.60 1.760 18.50 78.50 25.50 2018 0.81 [143] CsxFA1-xPb(I, Br)3 1.60 1.788 19.50 73.10 25.20 2018 1.42 [144] CsxFA1-xPb(I, Br)3 1.60 1.741 19.50 74.70 25.40 2018 1.42 [145] Cs0.15(FA0.83MA0.17)0.85Pb(I0.8Br0.2)3 1.64 1.800 17.80 79.40 25.40 2018 0.49 [40] Cs0.05(FA0.83MA0.17)0.95Pb(I0.82Br0.18)3 1.63 1.792 19.02 74.60 25.43 2019 1.00 [146] Cs0.1MA0.9Pb(I0.9Br0.1)3 1.60 1.820 19.20 75.30 26.20 2020 NA [147] Cs0.25FA0.75Pb(I0.85Br0.15Cl0.05)3 1.67 1.890 19.10 75.30 27.04 2020 1.00 [44] Cs0.05MA0.15FA0.8Pb(I0.75Br0.25)3 1.68 1.700 19.80 77.00 25.70 2020 0.83 [46] (FA0.65MA0.2Cs0.15)Pb(I0.8Br0.2)3 1.68 1.818 18.90 76.40 26.20 2020 1.00 [45] 注: NA表示文献中没有给出具体数值. -
[1] [2] [3] [4] [5] [6] [7] [8] [9] [10] [11] [12] [13] [14] [15] [16] [17] [18] [19] [20] [21] [22] [23] [24] [25] [26] [27] [28] [29] [30] [31] [32] [33] [34] [35] [36] [37] [38] [39] [40] [41] [42] [43] [44] [45] [46] [47] [48] [49] [50] [51] [52] [53] [54] [55] [56] [57] [58] [59] [60] [61] [62] [63] [64] [65] [66] [67] [68] [69] [70] [71] [72] [73] [74] [75] [76] [77] [78] [79] [80] [81] [82] [83] [84] [85] [86] [87] [88] [89] [90] [91] [92] [93] [94] [95] [96] [97] [98] [99] [100] [101] [102] [103] [104] [105] [106] [107] [108] [109] [110] [111] [112] [113] [114] [115] [116] [117] [118] [119] [120] [121] [122] [123] [124] [125] [126] [127] [128] [129] [130] [131] [132] [133] [134] [135] [136] [137] [138] [139] [140] [141] [142] [143] [144] [145] [146] [147] [148] [149]
计量
- 文章访问数:25095
- PDF下载量:1101
- 被引次数:0












下载:











