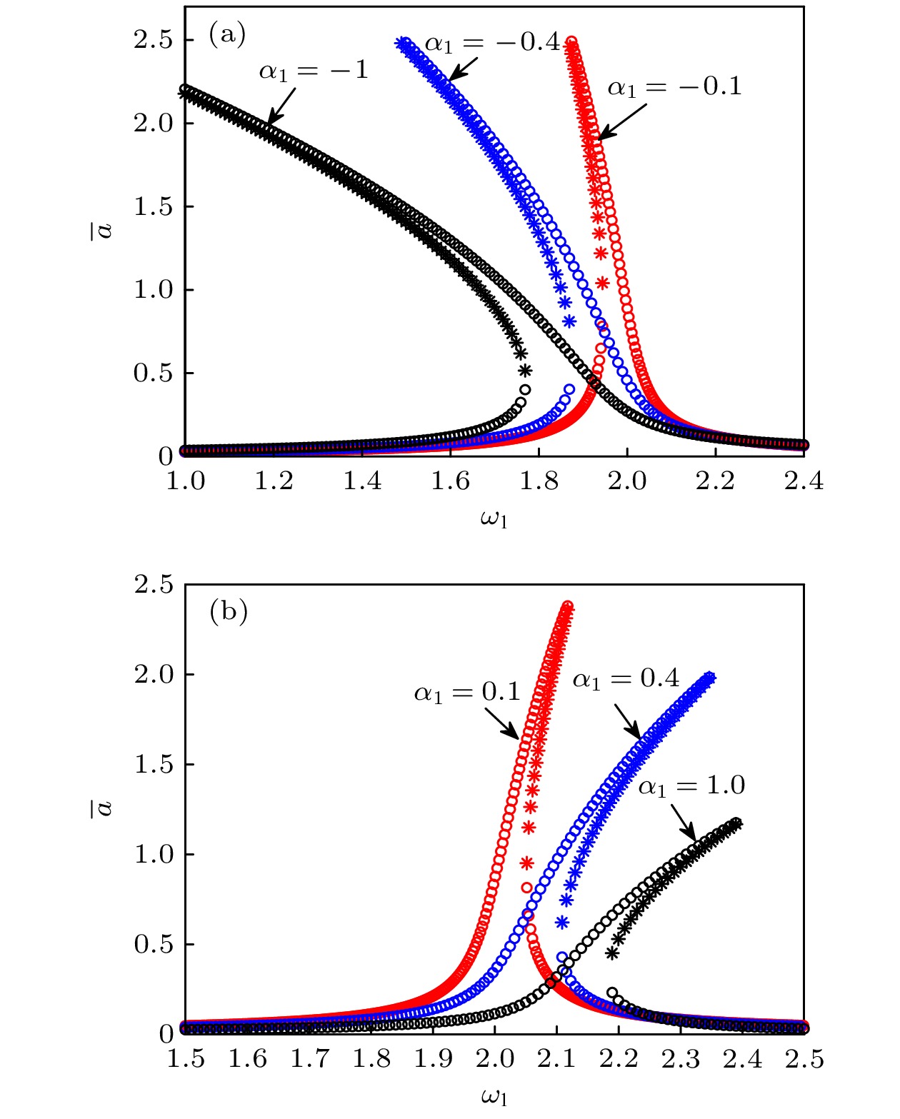
There are many resonance phenomena in a nonlinear dynamical system subjected to forced excitation, especially the excitation with multiple frequencies. Duffing oscillator subjected to the excitation with multiple frequencies may exhibit some complex resonance phenomena, such as simultaneous resonance and combination resonance. In this paper, the simultaneous primary and super-harmonic resonance of Duffing oscillator is studied, and it is analyzed in periodic motion and chaotic motion. Firstly, the approximate analytical solution is obtained by the method of multiple scales, and the correctness and accuracy of the analytical solution are verified through numerical simulation. Furthermore, the amplitude-frequency equation and phase-frequency equation of the steady-state response are derived from the approximate solution, and the stability of the steady-state response is analyzed based on Lyapunov’s first method. It is found that there are at most two stable periodic solutions and one unstable periodic solution. The effects of nonlinear stiffness on steady-state response is also analyzed through numerical simulation. However, the approximate solution obtained by the singular perturbation method is not sufficient to describe the global characteristics of the system, therefore, the necessary condition for the chaos in the sense of Smale horseshoes is derived based on the Melnikov method. Finally, one-demonstrational system that meets the condition of simultaneous resonance is analyzed through numerical simulation, and the bifurcation diagram shows the two thresholds of the demonstration system. At the first threshold, the heteroclinic orbit of the system breaks, and the system goes to chaos in crisis way. At the second threshold, the crisis reappears and the new strange attractor appears. The variation of the first critical value under various frequency combinations is investigated based on the Melnikov method, and the results are compared with the results of numerical simulation. The analytical and numerical results are qualitatively the same although there is a quantitative difference between them.