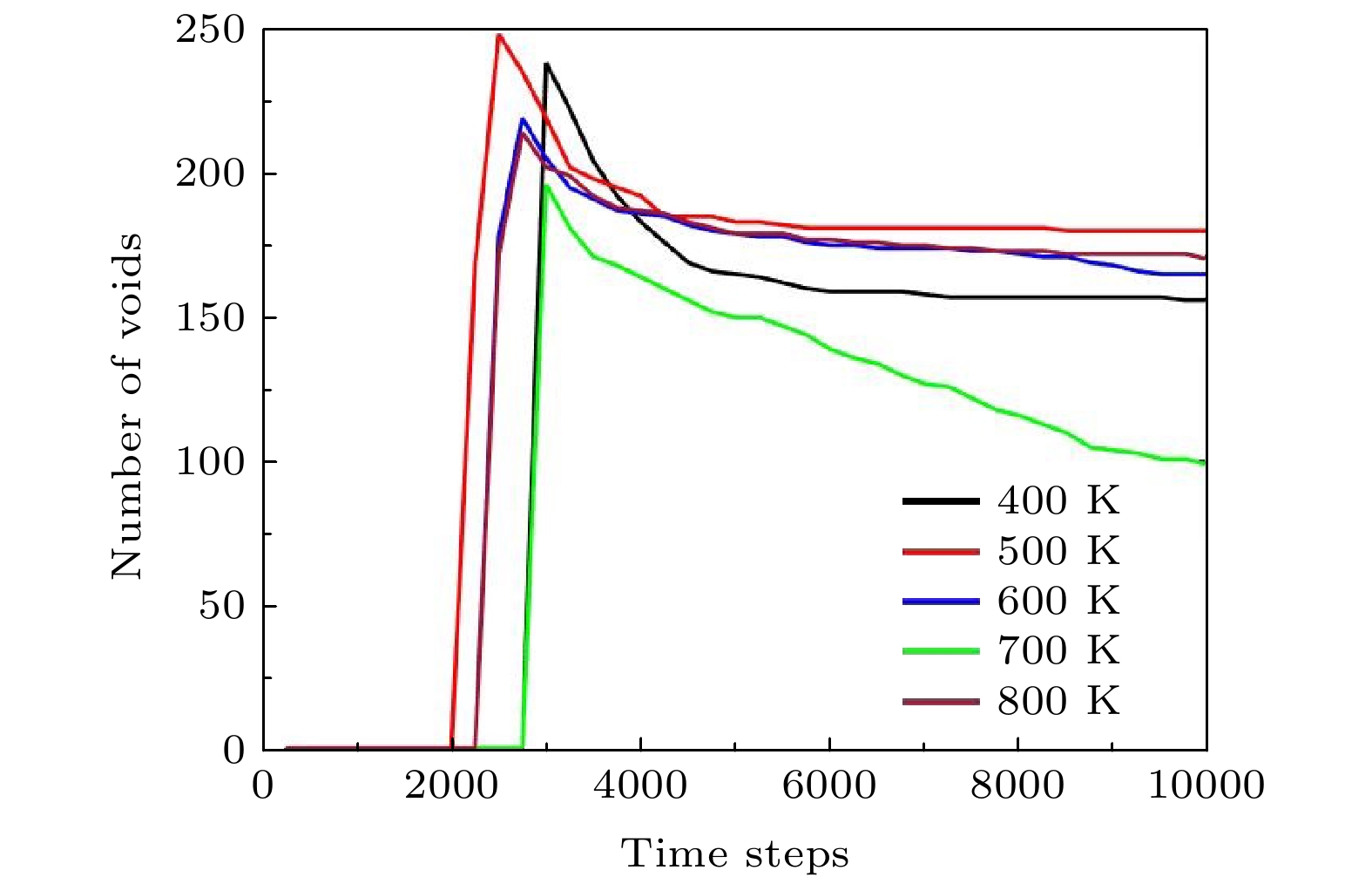
As cladding materials, Fe-Cr alloys are used in the extreme environments of high temperature, high pressure, and energetic particle radiation, thus generating irradiation defects such as vacancies and interstitials. The clustering of irradiation defects leads the voids or dislocation loops to form, resulting in irradiation swelling and lattice distortion, and further radiation hardening or softening, finally, material failure. It is beneficial to tailor desired microstructures and obtain stable service performances by understanding defects cluster and voids formation process. In this paper, the phase-field method is employed to study the evolution of voids of Fe-Cr alloy. In the model the temperature effects on point defects and generation/recombination of vacancies and interstitials are taken into consideration. The 400–800 K temperature range and 0–16 dpa radiation dose range are selected, in which the voids’ formation process including generation and recombination, as well as vacancy clustering caused by vacancy diffusion, is studied for Fe-Cr alloy. The nucleation rate of the void cluster shows a trend of first increasing and then decreasing with temperature increasing from 400 to 800 K. This phenomenon is related to complex interactions among defects concentration, atomic diffusion, recombination, nucleation, and growth conditions. At a given temperature, the average radius and the volume fraction of the voids grow bigger as the radiation dose increases. With the increase of irradiation dose, the cascade collision reaction is strengthened, and the number of Frenkel defect pairs is also increases. A large number of vacancies and interstitial atoms are generated, and the rapid diffusion and accumulation of vacancies in the Fe-Cr alloy at high temperature form a larger number and larger size of voids. The incubation period of vacancy clusters and voids are quite different due to the influence of irradiation temperature and dose. The higher the irradiation dose, the shorter the incubation period is. The relationship between the incubation period and temperature is more complicated. When the temperature is relatively low, the incubation period is shortened as the temperature increases, and as the temperature continues to increase to a higher temperature, the incubation period is extended. This relates to the increase in the concentration of vacancies, the recombination of vacancies and interstitials, and the increase of the critical nucleus radius for the growth of voids when the temperature increases.