The perovskite crystal structure determines the appearance of ferroelectricity and the polarization direction of ferroelectric ceramics. When the polarization direction has a certain order, different domain structures will combine to form a multiparticle system with a specific morphology, i.e. the topological structure existing in ferroelectrics. In this study, the domain structures of potassium sodium niobate (
$ {\rm{K}}_{0.5}{\rm{N}\rm{a}}_{0.5}\rm{N}\rm{b}{\rm{O}}_{3} $
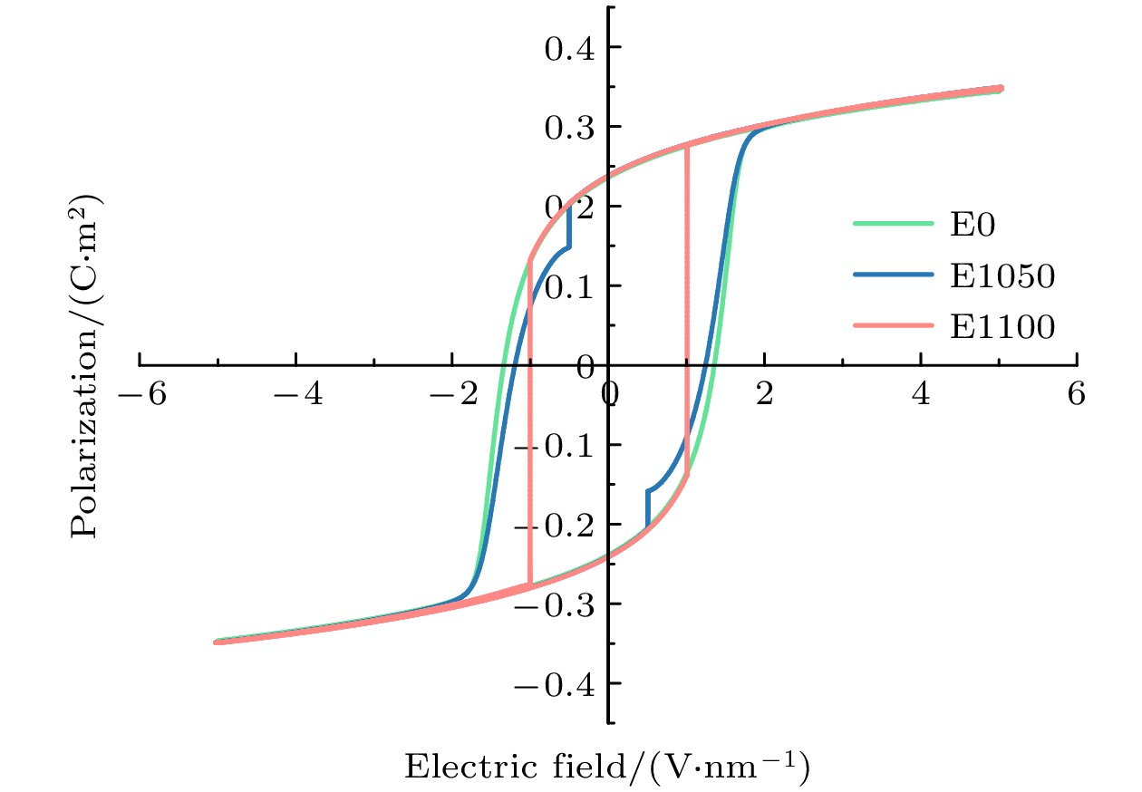
) thin films under different hysteresis electric fields and thickness are simulated and observed by the phase field method. According to the different switching paths of the domain structure under the electric field, the domain is divided into fast and slow switching process. Based on this, a method is proposed to first determine the domain switching state of the desired experiment and then conduct directional observation. Through the analysis of the domain structures combined with the polarization vector, a clear multi-domain combined with vortex-antivortex pair topological structure is observed for the first time in
$ {\rm{K}}_{0.5}{\rm{N}\rm{a}}_{0.5}\rm{N}\rm{b}{\rm{O}}_{3} $
film. The vortex structure is further analyzed for its switching process, and it is observed that this vortex topological microstructure can make the domain more likely to switch, so that more small-scale polarization vectors can be ordered, forming the desired multiparticle system topology. The mechanism of improving the dielectric properties of ferroelectric material by this polarization vector ordering is similar to that of the microscopic phase boundary formed by the specific polarization directions on both sides of the quasi morphotropic phase boundary.