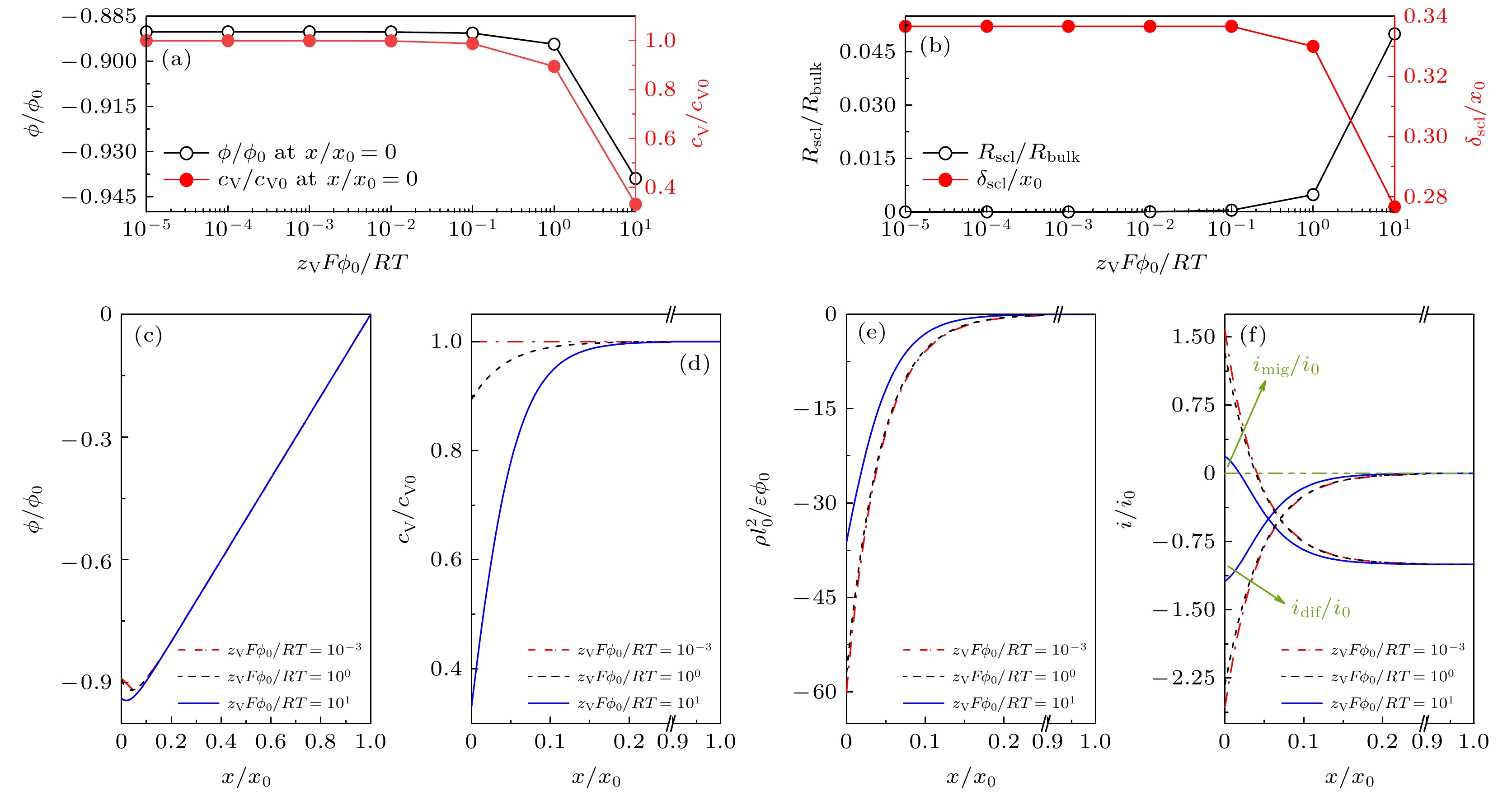
Space charge layer (SCL) effect induced by interfaces, e.g., grain boundaries in the polycrystals or heterointerfaces in the composites, may make the characteristics of the charge carrier transport near the interfaces significantly different from those in the bulk area. In previous studies, the Poisson-Boltzmann (PB) equation was widely used to model the SCL effect, in which all the charge carriers were assumed to be in electrochemical equilibrium. However, the assumption of the electrochemical equilibrium is no longer valid when the charge carriers exhibit macroscopic motion. In this paper, we develop a model to simulate the charge carrier transport within the oxygen-ion conductor, particularly in the SCL, in which the charge carrier mass conservation equation is coupled to the Poisson equation. Our present coupled model, in which the assumption of the electrochemical equilibrium is not employed, is therefore able to simulate charge carrier transport with macroscopic motion. Two key dimensionless parameters governing the SCL effect are deduced, i.e. the dimensionless Debye length characterizing the ratio of Debye length to the thickness of oxygen-ion conductor, and the dimensionless potential representing the relative importance of the overpotential to the thermal potential. Taking
AO
2-
M
2O
3oxide for example, the conventional model with using PB equation and our present coupled model are compared for predicting the SCL effect. Furthermore, the mechanism of the oxygen vacancy transport in the oxygen-ion conductor with considering the SCL effect is thoroughly discussed. In a brief summary, with increasing the current density at the interface, the SCL resistance shows a non-monotonical tendency, i.e., it firstly decreases and then increases. Besides, enlarging the dimensionless Debye length significantly increases the SCL resistance. The influence of increasing the dimensionless potential on the oxygen vacancy transport is obvious when the overpotential is comparable to the thermal potential, but it becomes negligible when the overpotential is far less than the thermal potential. These results may offer helpful guidance for enhancing the performance of oxygen-ion conductors by rationally designing the grain boundaries and heterointerfaces.