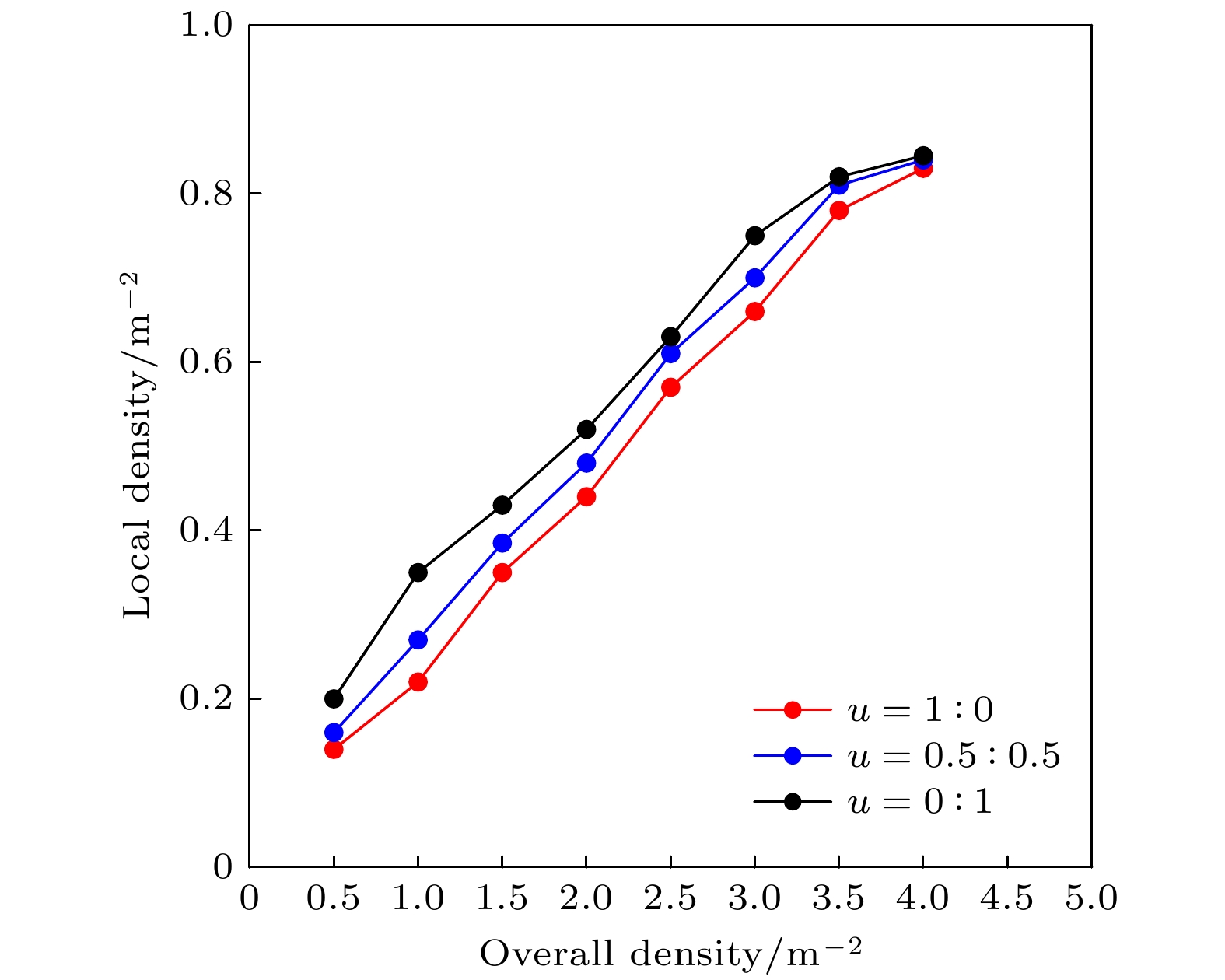
In this study, the unidirectional pedestrian flow in the corridor is taken as a research object, the generation mechanism of the pedestrian zipper phenomenon is analyzed, and a velocity correction model based on the Voronoi diagram is established for the simulation research. First, the generation mechanism of the pedestrian zipper phenomenon is analyzed from the perspective of optimal visual field and walking comfort of pedestrians. Then the visual attention and visual occlusion of pedestrians are used to describe the factors which affect the zipper deviation during pedestrian movement, the local density of pedestrians is used to describe the walking comfort of pedestrians, the zipper sensitivity coefficient is adopted to describe the willingness of pedestrians to move objectively, and the mechanism of lateral deviation of a single pedestrian is considered to obtain the optimal deviation position of pedestrians. Besides, the Voronoi diagram is introduced to effectively determine the pedestrians surrounding the target pedestrian within the visual field. And the influence of surrounding pedestrians with different distances and directions on the moving velocity of the target pedestrian based on the Voronoi diagram is considered. Then, a velocity correction model of pedestrians based on the Voronoi diagram is constructed, whether the pedestrian has a subjective willingness to deviate is considered, and the deviation rule is embedded to simulate and reproduce the zipper phenomenon of pedestrians. The simulation results truly reproduce the normal pedestrian flow through the corridor and show that our model can overcome the deficiency of the jitter and overlap phenomenon of the traditional social force model. The self-organized pedestrian flow with uniform distribution and the pedestrian zipper effect can also be observed. Furthermore, through the simulation results, we can see that the number of zipper layers for pedestrians is proportional to the width of the corridor. The comparison of simulated pedestrian data with the empirical data indicates that the fundamental diagram of velocity-density relation of our model is in good agreement with the empirical data. A comparison between with and without considering the zipper effect shows that the larger the proportion of pedestrians actively willing to laterally deviate, the more helpful it will be to improve the moving velocity, comfort and space utilization of pedestrians in the corridor.