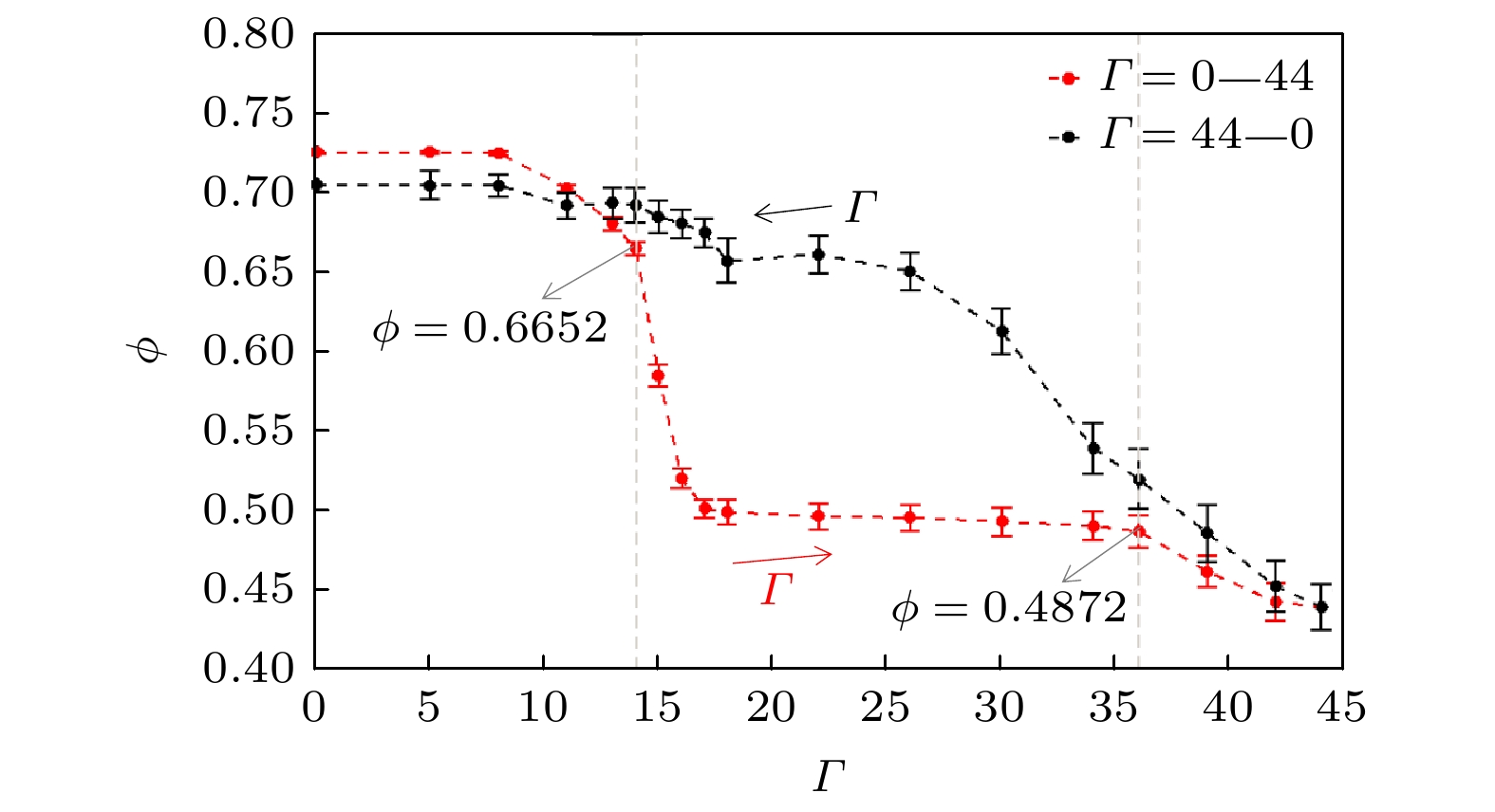
\begin{document}$\phi \leqslant 0.6652$\end{document}时发生缺陷, 当\begin{document}$\phi \leqslant 0.4872$\end{document}时颗粒系统发生从固体到液体的转变."> - 必威体育下载

搜索

x

留言板

姓名
邮箱
手机号码
标题
留言内容
验证码

downloadPDF
引用本文:
Citation:

    王蓬, 孔平, 李然, 华云松, 厚美瑛, 孙其诚

    Structure and defects in melting process of quasi-two-dimensional wet particle system

    Wang Peng, Kong Ping, Li Ran, Hua Yun-Song, Hou Mei-Ying, Sun Qi-Cheng
    PDF
    HTML
    导出引用
    计量
    • 文章访问数:3672
    • PDF下载量:56
    • 被引次数:0
    出版历程
    • 收稿日期:2020-12-02
    • 修回日期:2021-03-08
    • 上网日期:2021-05-26
    • 刊出日期:2021-06-05

      返回文章
      返回
        Baidu
        map