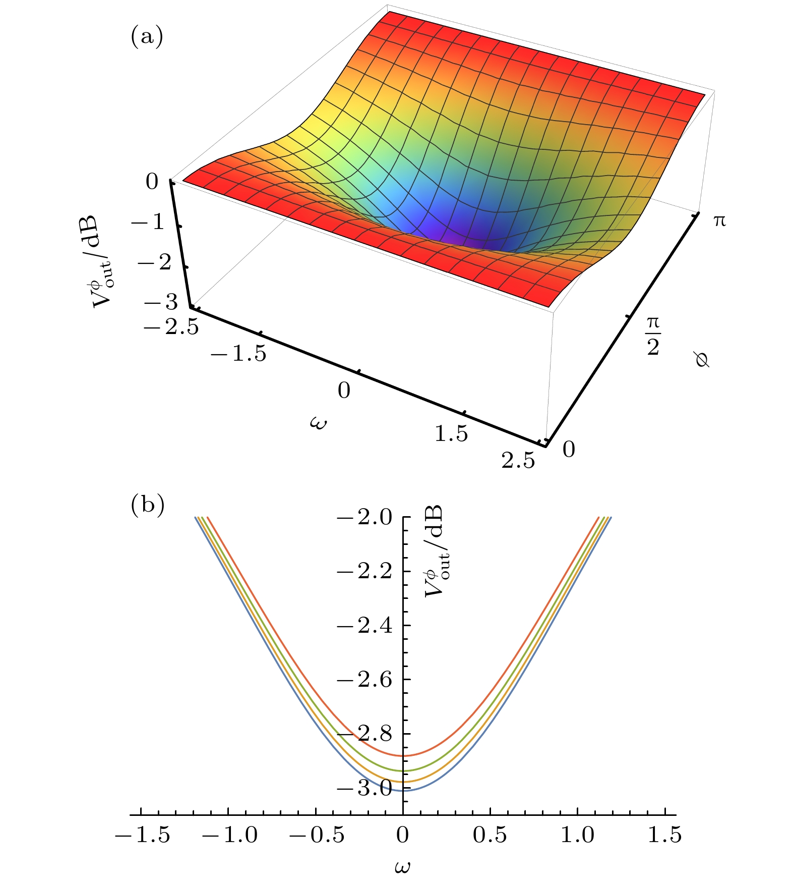
The squeezed state, as an important quantum resource, has great potential applications in quantum computing, quantum communication and precision measurement. In the noncritically squeezed light theory, the predicted noncritically squeezed light can be generated by breaking the spontaneous rotational symmetry occurring in a degenerate optical parametric oscillator (DOPO) pumped above threshold. The reliability of this kind of squeezing is crucially important, as its quantum performance is robust to the pump power in experiment. However, the detected squeezing degrades rapidly in detection, because the squeezed mode orientation diffuses slowly, resulting in a small mode mismatch during the homodyne detection. In this paper, we propose an experimentally feasible scheme to detect noncritically squeezing reliable by employing the spatial mode swapping technic. Theoretically, the dynamic fluctuation aroused by random mode rotation in the squeezing detection can be compensated for perfectly, and 3 dB squeezing can be achieved robustly even with additional vacuum noise. Our scheme makes an important step forward for the experimental generation of noncritically squeezed light.