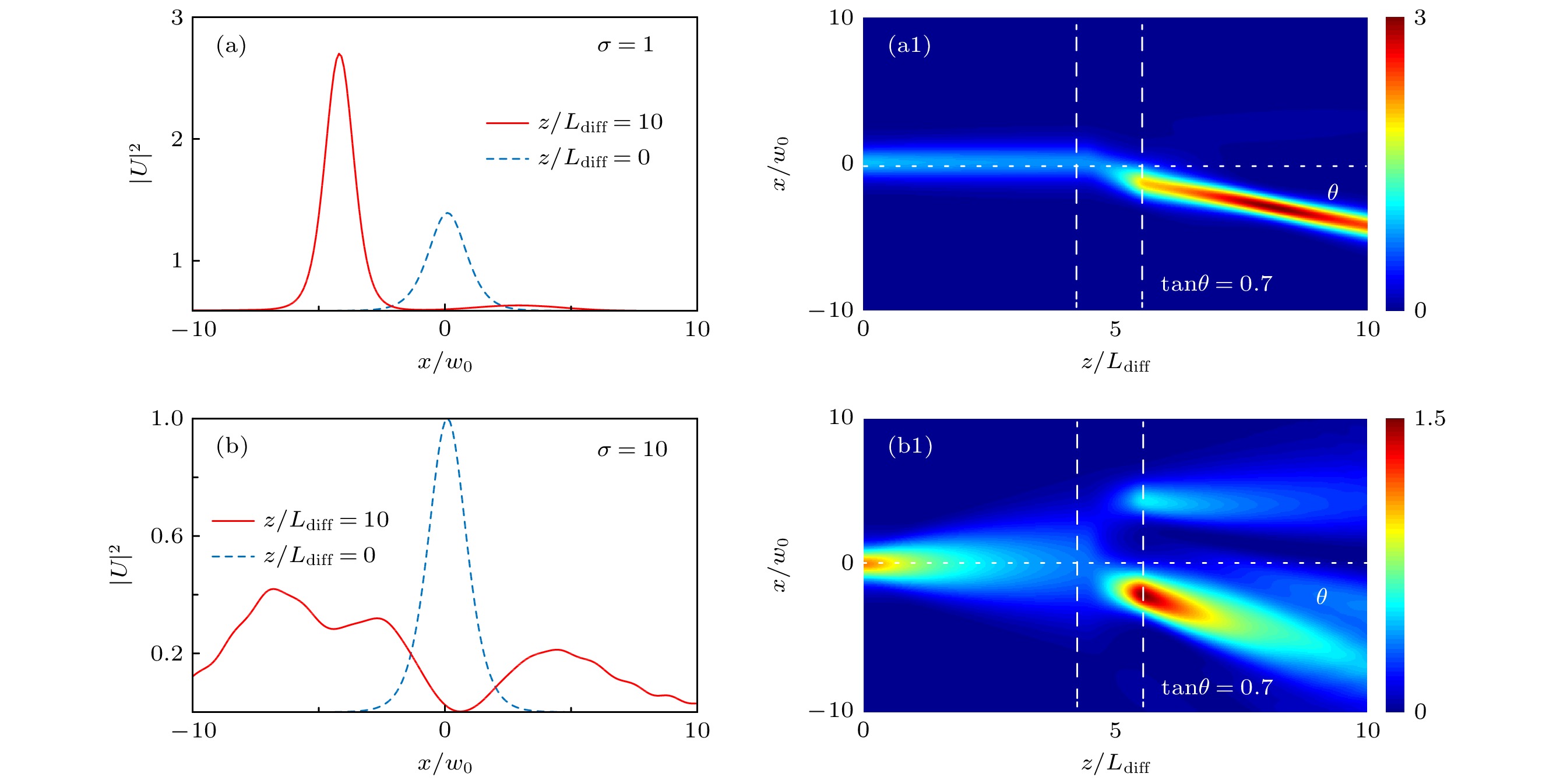
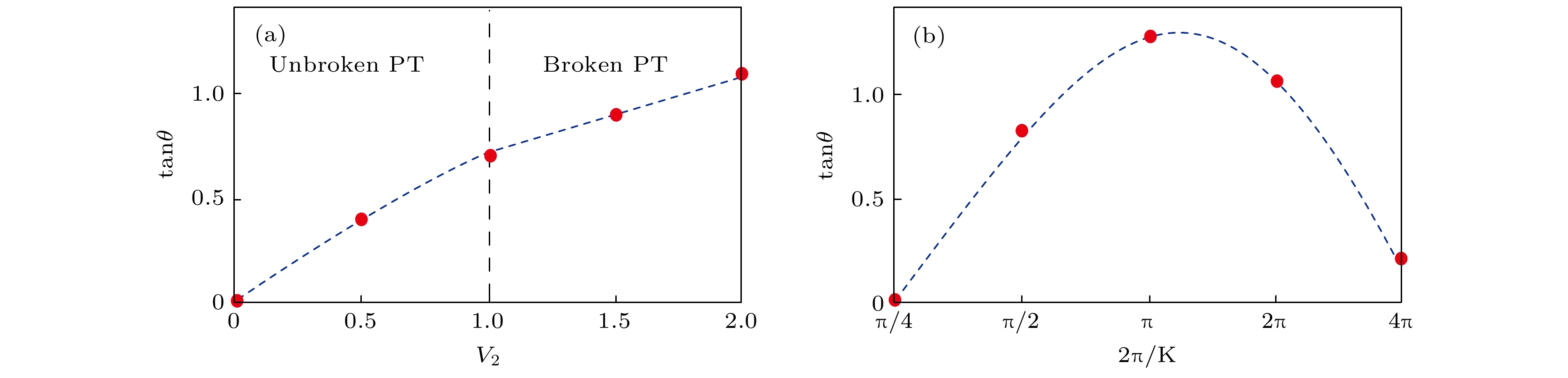
| [1] |
张光成, 孙武, 周志鹏, 全秀娥, 叶伏秋.周期调制四通道光学波导的宇称-时间对称特性调控和动力学研究. 必威体育下载 , 2024, 73(16): 164201.doi:10.7498/aps.73.20240690 |
| [2] |
张学超, 乔佳慧, 刘瑶, 苏楠, 刘智慧, 蔡婷, 何军, 赵延霆, 王军民.基于里德伯原子天线的低频电场波形测量. 必威体育下载 , 2024, 73(7): 070201.doi:10.7498/aps.73.20231778 |
| [3] |
刘智慧, 刘逍娜, 何军, 刘瑶, 苏楠, 蔡婷, 杜艺杰, 王杰英, 裴栋梁, 王军民.里德伯原子幻零波长. 必威体育下载 , 2024, 73(13): 130701.doi:10.7498/aps.73.20240397 |
| [4] |
白健男, 韩嵩, 陈建弟, 韩海燕, 严冬.超级里德伯原子间的稳态关联集体激发与量子纠缠. 必威体育下载 , 2023, 72(12): 124202.doi:10.7498/aps.72.20222030 |
| [5] |
刘瑶, 何军, 苏楠, 蔡婷, 刘智慧, 刁文婷, 王军民.用于铯原子里德伯态激发的509 nm波长脉冲激光系统. 必威体育下载 , 2023, 72(6): 060303.doi:10.7498/aps.72.20222286 |
| [6] |
王勤霞, 王志辉, 刘岩鑫, 管世军, 何军, 张鹏飞, 李刚, 张天才.腔增强热里德伯原子光谱. 必威体育下载 , 2023, 72(8): 087801.doi:10.7498/aps.72.20230039 |
| [7] |
金星, 肖莘宇, 龚旗煌, 杨起帆.微腔光梳的产生、发展及应用. 必威体育下载 , 2023, 72(23): 234203.doi:10.7498/aps.72.20231816 |
| [8] |
王鑫, 任飞帆, 韩嵩, 韩海燕, 严冬.里德伯原子辅助光力系统的完美光力诱导透明及慢光效应. 必威体育下载 , 2023, 72(9): 094203.doi:10.7498/aps.72.20222264 |
| [9] |
吴逢川, 林沂, 武博, 付云起.里德伯原子的射频脉冲响应特性. 必威体育下载 , 2022, 71(20): 207402.doi:10.7498/aps.71.20220972 |
| [10] |
胡洲, 曾招云, 唐佳, 罗小兵.周期驱动的二能级系统中的准宇称-时间对称动力学. 必威体育下载 , 2022, 71(7): 074207.doi:10.7498/aps.70.20220270 |
| [11] |
胡洲, 曾招云, 唐佳, 罗小兵.周期驱动的二能级系统中的准宇称-时间对称动力学. 必威体育下载 , 2022, 0(0): 0-0.doi:10.7498/aps.71.20220270 |
| [12] |
唐原江, 梁超, 刘永椿.宇称-时间对称与反对称研究进展. 必威体育下载 , 2022, 71(17): 171101.doi:10.7498/aps.71.20221323 |
| [13] |
高小苹, 梁景睿, 刘堂昆, 李宏, 刘继兵.巨梯型四能级里德伯原子系统透射光谱性质的调控. 必威体育下载 , 2021, 70(11): 113201.doi:10.7498/aps.70.20202077 |
| [14] |
任波, 佘彦超, 徐小凤, 叶伏秋.高阶效应下对称三量子点系统中光孤子稳定性研究. 必威体育下载 , 2021, 70(22): 224205.doi:10.7498/aps.70.20210942 |
| [15] |
赵嘉栋, 张好, 杨文广, 赵婧华, 景明勇, 张临杰.基于里德伯原子电磁诱导透明效应的光脉冲减速. 必威体育下载 , 2021, 70(10): 103201.doi:10.7498/aps.70.20210102 |
| [16] |
严冬, 王彬彬, 白文杰, 刘兵, 杜秀国, 任春年.里德伯电磁感应透明中的相位. 必威体育下载 , 2019, 68(8): 084203.doi:10.7498/aps.68.20181938 |
| [17] |
张秦榕, 王彬彬, 张孟龙, 严冬.稀薄里德伯原子气体中的两体纠缠. 必威体育下载 , 2018, 67(3): 034202.doi:10.7498/aps.67.20172052 |
| [18] |
赵建明, 张临杰, 李昌勇, 贾锁堂.里德伯原子向超冷等离子体的自发转化. 必威体育下载 , 2008, 57(5): 2895-2898.doi:10.7498/aps.57.2895 |
| [19] |
张秋菊, 盛政明, 张 杰.周期量级超短激光脉冲在近临界密度等离子体中形成的光孤子. 必威体育下载 , 2004, 53(3): 798-802.doi:10.7498/aps.53.798 |
| [20] |
刘山亮.空间光孤子脉冲在平面光波导中的传输. 必威体育下载 , 2003, 52(11): 2825-2830.doi:10.7498/aps.52.2825 |