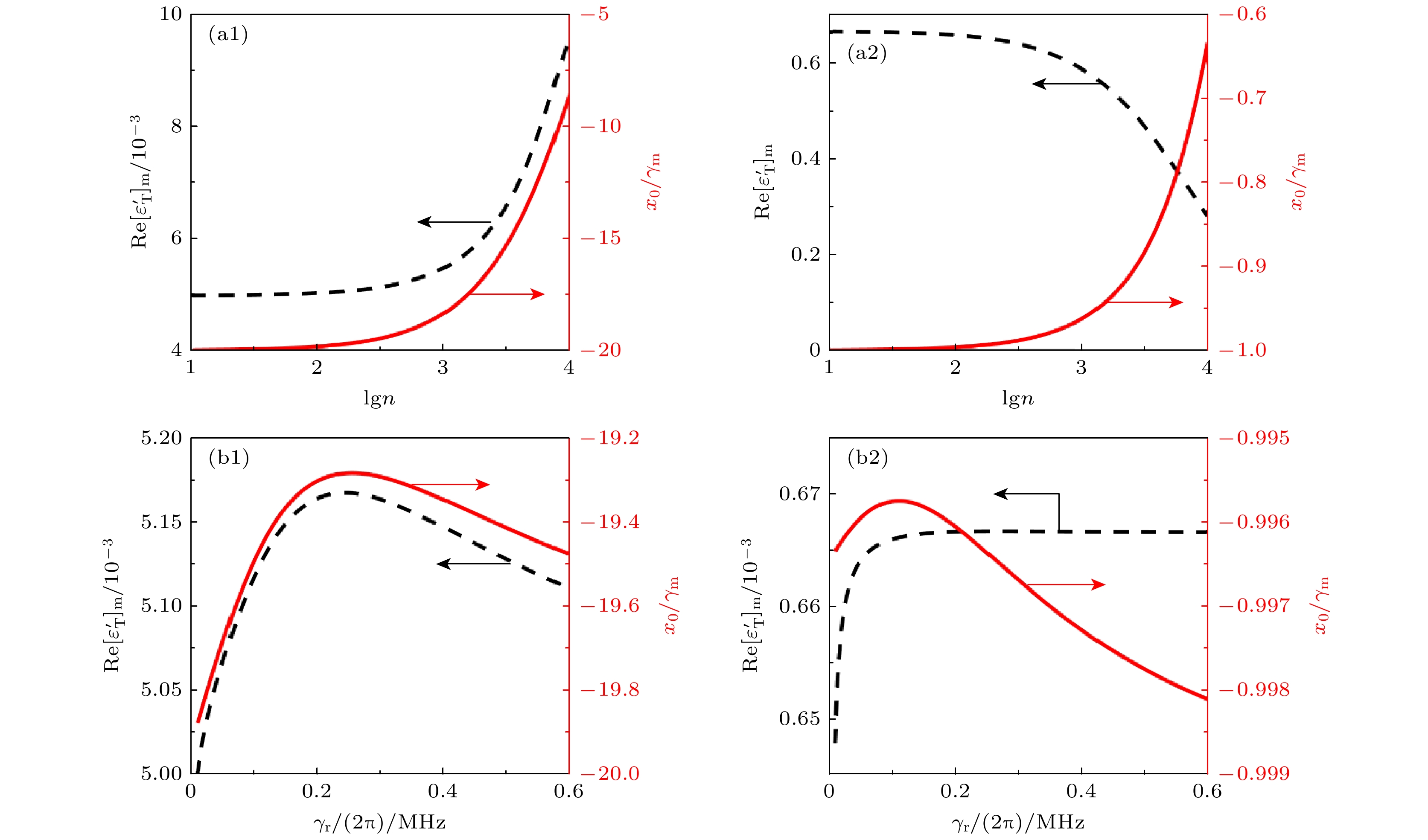
Rydberg atoms have attracted considerable attention due to their several singular properties, such as strong long-range interactions, extremely long lifetimes, and very large polarizability. These characteristics make Rydberg atoms a good candidates for cavity quantum electrodynamics, quantum information, and many-body physics. Recently, the study of optomechanics has become a rapidly developing field due to its important applications in cooling of mechanical resonators, implementing precision measurements, slowing light, and preparing quantum entanglement. Obviously, optomechanical systems pave the way for quantum information processing and quantum communication. Specially, there is significant interest in quantum optomechanics due to its high compatibility that can be combined, to build hybrid systems for certain purposes, with the ultracold atoms, a superconducting single electron transistor, a magnetostrictive actuation, a charged oscillator resonator, etc. In this work, we investigate the optomechanically induced transparency (OMIT) and the resulting effect of slow light in a hybrid system composed of a Rydberg atomic ensemble embedded inside a simple optomechanical cavity. As a typical effect of destructive quantum interference, OMIT is widely used in quantum optics and quantum information processing. Based on the Rydberg blockade effect, a Rydberg atomic ensemble in the same blockade region embedded inside an optomechanical cavity can be regarded as a superatom that contains only a single Rydberg excitation. Therefore, the problem of exponentially increasing system size with the number of atoms increasing can be circumvented easily. The hybrid system becomes a coupling between a Rydberg superatom and an optomechanical cavity and the coupling strength is enhanced by a factor of square root of the number of atoms in the ensemble. In this system, the perfect OMIT, namely, an ideal OMIT dip with a very narrow window, can be attained when an effect of non-rotating wave approximation (NRWA) is considered. Further, we demonstrate that the term of NRWA plays a key important role in achieving perfect OMIT by comparing the optomechanical spectra obtained with and without NRWA effects. Our results show that in the resolved sideband regime the higher the quality factor of cavity is, the stronger the slow light effect becomes in the window of the perfect OMIT. Particularly, in achieving the ultraslow light, the long lifetime of the Rydberg atom shows its superiority.