2016 Mod. Phys. Lett. A 31 1650070)工作的基础上, 重新研究了磁星超强磁场下(\begin{document}$B\gg B$\end{document}cr, Bcr是电子的量子临界磁场)电子朗道能级的稳定性及其对电子压强的影响. 首先, 对弱磁场极限下(\begin{document}$B\ll B$\end{document}cr) 中子星内部电子压强进行必要的回顾; 然后, 通过引入电子朗道能级稳定性系数gν和Dirac-δ函数, 推导出在超强磁场下修正的相对论电子压强Pe的表达式, 给出表达式适用条件: 物质密度ρ ≥ 107 g·cm–3BcrB < 1017 G (1 G = 10–4 T). 超强磁场通过修正相对论电子的相空间, 提高了电子数密度ne, 而ne的增加意味着Pe的增加. 利用修正的电子压强表达式, 讨论了超强磁场下费米子自旋极化现象、电子磁化现象以及超强磁场对物态方程的修正. 最后, 本文的结果与其他类似工作进行对比, 并对未来的工作进行展望. 本文的研究将为磁星以及强磁化白矮星的物态方程和热演化的探索提供极有价值的参考, 将为普通射电脉冲星等离子磁层数值模拟、高磁场脉冲星辐射机制等相关研究提供有用的信息."> - 必威体育下载

搜索

x

留言板

姓名
邮箱
手机号码
标题
留言内容
验证码

downloadPDF
引用本文:
Citation:

    董爱军, 高志福, 杨晓峰, 王娜, 刘畅, 彭秋和

    Modified pressure of relativistic electrons in a superhigh magnetic field

    Dong Ai-Jun, Gao Zhi-Fu, Yang Xiao-Feng, Wang Na, Liu Chang, Peng Qiu-He
    PDF
    HTML
    导出引用
    • 当前脉冲星领域一个重要的研究热点是磁星. 本文在朱翠等(Zhu C, Gao Z F, Li X D, Wang N, Yuan J P, Peng Q H 2016 Mod. Phys. Lett. A 311650070 )工作的基础上, 重新研究了磁星超强磁场下( $B\gg B$ cr, B cr是电子的量子临界磁场)电子朗道能级的稳定性及其对电子压强的影响. 首先, 对弱磁场极限下( $B\ll B$ cr) 中子星内部电子压强进行必要的回顾; 然后, 通过引入电子朗道能级稳定性系数 g ν和Dirac- δ函数, 推导出在超强磁场下修正的相对论电子压强 P e的表达式, 给出表达式适用条件: 物质密度 ρ≥ 10 7g·cm –3B crB< 10 17G (1 G = 10 –4T). 超强磁场通过修正相对论电子的相空间, 提高了电子数密度 n e, 而 n e的增加意味着 P e的增加. 利用修正的电子压强表达式, 讨论了超强磁场下费米子自旋极化现象、电子磁化现象以及超强磁场对物态方程的修正. 最后, 本文的结果与其他类似工作进行对比, 并对未来的工作进行展望. 本文的研究将为磁星以及强磁化白矮星的物态方程和热演化的探索提供极有价值的参考, 将为普通射电脉冲星等离子磁层数值模拟、高磁场脉冲星辐射机制等相关研究提供有用的信息.
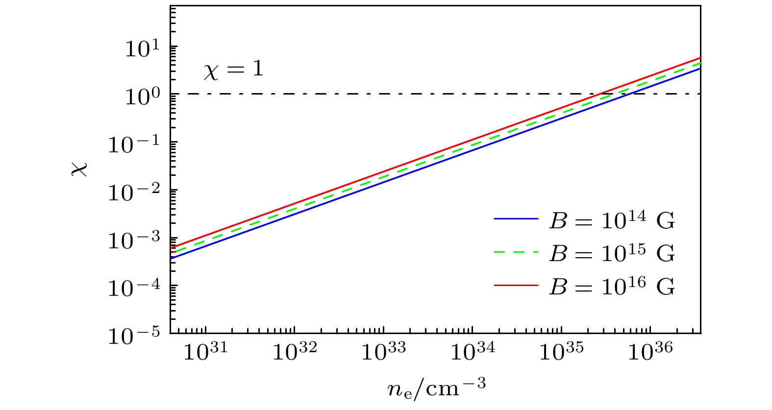
      Magnetar is a kind of pulsar powered by magnetic field energy. The study of magnetars is an important hotspot in the field of pulsars. In this paper, according to the work of Zhu Cui, et al. (Zhu C, Gao Z F, Li X D, Wang N, Yuan J P, Peng Q H 2016 Mod. Phys. Lett. A 311650070 ), we reinvestigate the Landau-level stability of electrons in a superhigh magnetic field (SMF), $B\gg B_{\rm cr}$ ( B cris a quantum critical magnetic field with a value of 4.414×10 13G), and its influence on the pressure of electrons in magnetar. First, we briefly review the pressure of electrons in neutron star (NS) with a weak-magnetic field limit ( $ B\ll B $ cr). Then, we introduce an electron Landau level stability coefficient g νand a Dirac- δfunction to deduce a modified pressure formula for the degenerate and relativistic electrons in an SMF in an application range of matter density ρ≥ 10 7g·cm –3and B cr $ \ll $ B< 10 17G. By modifying the phase space of relativistic electrons, the SMF can enhance the electron number density n e, and reduce the maximum of electron Landau level number ν max, which results in a redistribution of electrons. As Bincreases, more and more electrons will occupy higher Landau levels, and the electron Landau level stability coefficient g νwill decrease with the augment of Landau energy-level number ν. By modifying the phase space of relativistic electrons, the electron number density n eincreases with the MF strength increasing, leading the electron pressure P eto increase. Utilizing the modified expression of electron pressure, we discuss the phenomena of Fermion spin polarization and electron magnetization in the SMF, and the modification of the equation of state by the SMF. We calculate the baryon number density, magnetization pressure, and the difference between pressures in the direction parallel to and perpendicular to the magnetic field in the frame of the relativistic mean field model. Moreover, we find that the pressure anisotropy due to the strong magnetic field is very small and can be ignored in the present model. We compare our results with the results from other similar studies, and examine their similarities and dissimilarities. The similarities include 1) the abnormal magnetic moments of electrons and the interaction between them are ignored; 2) the electron pressure relate to magnetic field intensity B, electron number density n eand electron Fermi energy $E_{{\rm{F}}}^{{\rm{e}}}$ , and the latter two are complex functions containing B; 3) with n eand $E_{{\rm{F}}}^{{\rm{e}}}$ fixed, P eincreases with Brising; 4) as Bincreases, the pressure-density curves fitted by the results from other similar studies have irregular protrusions or fluctuations, which are caused by the transformation of electron energy state from partial filling to complete filling at the ν-level or the transition of electrons from the νto the ( ν+1)-level. This phenomenon is believed to relate to the behavior of electrons near the Fermi surface in a strong magnetic field, which essentially reflects the Landau level instability. Finally, the future research direction is prospected. The present results provide a reference for future studies of the equation of state and emission mechanism of high- Bpulsar, magnetar and strongly magnetized white dwarf.
          通信作者:高志福,zhifugao@xao.ac.cn
        • 基金项目:国家自然科学基金 (批准号: 12041304, U1831120)、新疆维吾尔自治区自然科学基金 (批准号: 2022D01A155)、贵州省科技计划(批准号: [2019]1241, KY(2020)003)和中科院高层次人才计划择优支持项目(批准号: [2019]085)资助的课题.
          Corresponding author:Gao Zhi-Fu,zhifugao@xao.ac.cn
        • Funds:Project supported by the National Natural Science Foundation of China (Grant Nos. 12041304, U1831120), the Natural Science Foundation of Xinjiang Uygur Autonomous Region, China (Grant No. 2022D01A155), the Natural Science Foundation of Guizhou, China (Grant Nos. [2019]1241, KY(2020)003), and the High Level Talent Program support project of Chinese Academy of Sciences, China (Grant No. [2019]085).
        [1]

        [2]

        [3]

        [4]

        [5]

        [6]

        [7]

        [8]

        [9]

        [10]

        [11]

        [12]

        [13]

        [14]

        [15]

        [16]

        [17]

        [18]

        [19]

        [20]

        [21]

        [22]

        [23]

        [24]

        [25]

        [26]

        [27]

        [28]

        [29]

        [30]

        [31]

        [32]

        [33]

        [34]

        [35]

        [36]

        [37]

        [38]

        [39]

        [40]

        [41]

        [42]

        [43]

        [44]

        [45]

        [46]

        [47]

        [48]

        [49]

        [50]

        [51]

        [52]

        [53]

        [54]

        [55]

        [56]

        [57]

        [58]

        [59]

      • B$\ll $B* B>B*
        nN/fm–3 $ E_{\text{F}}^{\text{e}} $/MeV Pe/(MeV·fm–3) P/(MeV·fm–3) M/M $ E_{\text{F}}^{\text{e}} $/MeV Pe/(MeV·fm–3) P/(MeV·fm–3) M/M
        0.0013 2.924 4.9×10–10 3.78×10–6 0.0289 3.351 8.41×10–10 3.79×10–6 0.0311
        0.0211 23.49 2.03×10–6 6.79×10–5 0.0593 27.62 2.88×10–6 7.36×10–5 0.0613
        0.0772 68.58 1.47×10–4 0.0021 0.0517 81.06 2.87×10–4 0.00258 0.0543
        0.1332 107.89 9.04×10–4 0.0143 0.2904 128.65 0.00182 0.0179 0.2932
        0.1554 120.90 0.0014 0.0229 0.4201 145.13 0.00295 0.0725 0.4241
        0.2003 143.58 0.0028 0.0475 0.6884 175.48 0.00632 0.0861 0.6965
        0.2338 158.31 0.0042 0.0724 0.8808 183.72 0.00762 0.0965 0.8912
        0.3206 190.04 0.0087 0.1624 1.2945 251.49 0.0267 0.2105 1.3062
        0.3556 200.78 0.0108 0.2092 1.4236 273.35 0.0372 0.2761 1.4327
        0.4186 218.29 0.0151 0.3065 1.6071 312.72 0.0637 0.4211 1.6223
        0.4746 231.98 0.0193 0.4068 1.7263 347.67 0.0974 0.5816 1.7412
        0.5446 247.31 0.0249 0.5479 1.8312 391.12 0.1561 0.8278 1.8522
        0.6076 259.75 0.0304 0.6880 1.8947 429.70 0.2264 1.0272 1.9132
        0.6846 273.65 0.0374 0.8737 1.9444 456.80 0.2905 1.3092 1.9675
        0.7266 280.73 0.0414 0.9809 1.9621 480.23 0.3551 1.4782 1.9853
        0.8396 298.23 0.0528 1.2845 1.9830 526.73 0.5135 1.9521 2.0061
        0.9156 318.40 0.0655 1.5925 1.9916 586.65 0.7478 2.5316 2.0342
        下载: 导出CSV

        nN/fm–3 ρ/(g·cm–3) B/G ne/cm–3 |M|/G |MB|/(dyn·cm–2) ΔP/(dyn·cm–2) P///(dyn·cm–2)
        0.0013 2.535×1012 1.000×1014 1.051×1032 4.277×1011 4.277×1025 8.385×1026 1.196×1030
        0.0211 3.992×1013 1.003×1014 5.689×1034 2.841×1013 2.845×1027 3.641×1027 3.324×1031
        0.0722 1.014×1014 1.011×1014 1.418×1036 2.428×1014 2.485×1028 2.567×1028 8.147×1031
        0.1332 2.521×1014 1.073×1014 5.520×1036 6.049×1014 6.964×1028 7.055×1028 5.651×1031
        0.1554 2.940×1014 1.116×1014 7.781×1036 7.638×1014 9.508×1028 9.607×1028 2.509×1034
        0.2003 3.789×1014 1.247×1014 1.301×1037 1.089×1015 1.796×1029 1.708×1029 2.719×1034
        0.2338 4.423×1014 1.393×1014 1.744×1037 1.868×1015 2.604×1029 2.619×1029 3.049×1034
        0.3206 6.065×1014 2.011×1014 3.017×1037 5.406×1015 8.143×1029 8.175×1029 6.645×1034
        0.3556 6.727×1014 2.377×1014 3.563×1037 5.406×1015 1.285×1030 1.291×1030 8.716×1034
        0.4185 7.917×1014 3.237×1014 4.572×1037 7.676×1015 2.485×1030 2.493×1030 1.329×1035
        0.4746 8.978×1014 4.244×1014 4.580×1037 1.237×1016 5.203×1030 5.217×1030 1.836×1035
        0.5447 1.031×1015 5.860×1014 6.647×1037 2.249×1016 1.318×1031 1.321×1031 2.613×1035
        0.6076 1.145×1015 7.685×1014 7.704×1037 3.353×1016 2.577×1031 2.583×1031 3.243×1035
        0.6846 1.295×1015 1.042×1015 9.012×1037 5.225×1016 5.445×1031 5.453×1031 4.133×1035
        0.7265 1.375×1015 1.215×1015 9.725×1037 6.533×1016 7.932×1031 7.944×1031 4.675×1035
        0.8386 1.586×1015 1.763×1015 1.160×1038 1.109×1017 1.955×1032 1.958×1032 6.165×1035
        0.9156 1.774×1015 2.347×1015 1.342×1038 1.678×1017 3.938×1032 3.943×1032 7.996×1035
        下载: 导出CSV
      • [1]

        [2]

        [3]

        [4]

        [5]

        [6]

        [7]

        [8]

        [9]

        [10]

        [11]

        [12]

        [13]

        [14]

        [15]

        [16]

        [17]

        [18]

        [19]

        [20]

        [21]

        [22]

        [23]

        [24]

        [25]

        [26]

        [27]

        [28]

        [29]

        [30]

        [31]

        [32]

        [33]

        [34]

        [35]

        [36]

        [37]

        [38]

        [39]

        [40]

        [41]

        [42]

        [43]

        [44]

        [45]

        [46]

        [47]

        [48]

        [49]

        [50]

        [51]

        [52]

        [53]

        [54]

        [55]

        [56]

        [57]

        [58]

        [59]

      • [1] 解晓洁, 孙俊松, 秦吉红, 郭怀明.弯曲应变下六角晶格量子反铁磁体的赝朗道能级. 必威体育下载 , 2024, 73(2): 020202.doi:10.7498/aps.73.20231231
        [2] 初鹏程, 刘鹤, 杜先斌.色味锁夸克物质与夸克星. 必威体育下载 , 2024, 73(5): 052101.doi:10.7498/aps.73.20231649
        [3] 杨玉婷, 钱欣悦, 石礼伟.二维光子晶体中赝磁场作用下的电磁波操控. 必威体育下载 , 2023, 72(13): 134203.doi:10.7498/aps.72.20222242
        [4] 王谊农, 初鹏程, 姜瑶瑶, 庞晓迪, 王圣博, 李培新.基于准粒子模型的原生磁星研究. 必威体育下载 , 2022, 71(22): 222101.doi:10.7498/aps.71.20220795
        [5] 陈建玲, 王辉, 贾焕玉, 马紫微, 李永宏, 谭俊.超强磁场下中子星壳层的电导率和磁星环向磁场欧姆衰变. 必威体育下载 , 2019, 68(18): 180401.doi:10.7498/aps.68.20190760
        [6] 卢亚鑫, 马宁.耦合电磁场对石墨烯量子磁振荡的影响. 必威体育下载 , 2016, 65(2): 027502.doi:10.7498/aps.65.027502
        [7] 宋冬灵, 明亮, 单昊, 廖天河.超强磁场下电子朗道能级稳定性及对电子费米能的影响. 必威体育下载 , 2016, 65(2): 027102.doi:10.7498/aps.65.027102
        [8] 王青, 盛利.磁场中的拓扑绝缘体边缘态性质. 必威体育下载 , 2015, 64(9): 097302.doi:10.7498/aps.64.097302
        [9] 计青山, 郝鸿雁, 张存喜, 王瑞.硅烯中受电场调控的体能隙和朗道能级. 必威体育下载 , 2015, 64(8): 087302.doi:10.7498/aps.64.087302
        [10] 谷卓伟, 罗浩, 张恒第, 赵士操, 唐小松, 仝延锦, 宋振飞, 赵剑衡, 孙承纬.炸药柱面内爆磁通量压缩实验技术研究. 必威体育下载 , 2013, 62(17): 170701.doi:10.7498/aps.62.170701
        [11] 姚志东, 李炜, 高先龙.点缺陷扶手型石墨烯量子点的电子性质研究. 必威体育下载 , 2012, 61(11): 117105.doi:10.7498/aps.61.117105
        [12] 杨晓阔, 蔡理, 康强, 李政操, 陈祥叶, 赵晓辉.磁性量子元胞自动机拐角结构的理论模拟和实验. 必威体育下载 , 2012, 61(9): 097503.doi:10.7498/aps.61.097503
        [13] 王兆军, 吕国梁, 朱春花, 霍文生.相对论简并电子气体的磁化. 必威体育下载 , 2012, 61(17): 179701.doi:10.7498/aps.61.179701
        [14] 曾思良, 倪飞飞, 何建锋, 邹士阳, 颜君.强磁场中氢原子的能级结构. 必威体育下载 , 2011, 60(4): 043201.doi:10.7498/aps.60.043201
        [15] 王兆军, 吕国梁, 朱春花, 张军.中子星中简并电子气体的临界磁化. 必威体育下载 , 2011, 60(4): 049702.doi:10.7498/aps.60.049702
        [16] 刘晶晶.超强磁场对中子星外壳层核素56Fe,56Co,56Ni,56Mn和56Cr电子俘获过程中微子能量损失的影响. 必威体育下载 , 2010, 59(7): 5169-5174.doi:10.7498/aps.59.5169
        [17] 王冠芳, 刘 彬, 傅立斌, 赵 鸿.非线性三能级体系的绝热朗道-齐纳隧穿. 必威体育下载 , 2007, 56(7): 3733-3738.doi:10.7498/aps.56.3733
        [18] 张约品, 王现英, 林更琪, 李 震, 李佐宜, 沈德芳, 干福熹.GdFeCo/DyFeCo交换耦合两层薄膜磁化方向转变的研究. 必威体育下载 , 2004, 53(2): 614-619.doi:10.7498/aps.53.614
        [19] 周云松, 陈金昌, 林多梁.多层伊辛膜的磁学性质. 必威体育下载 , 2000, 49(12): 2477-2481.doi:10.7498/aps.49.2477
        [20] 吴建华, 李伯臧, 蒲富恪, 梅良模.平行与垂直磁化下多层磁膜巨磁电阻与外磁场关系的唯象理论计算. 必威体育下载 , 1994, 43(1): 110-117.doi:10.7498/aps.43.110
      计量
      • 文章访问数:3072
      • PDF下载量:62
      • 被引次数:0
      出版历程
      • 收稿日期:2022-01-13
      • 修回日期:2022-10-12
      • 上网日期:2022-11-28
      • 刊出日期:2023-02-05

        返回文章
        返回
          Baidu
          map