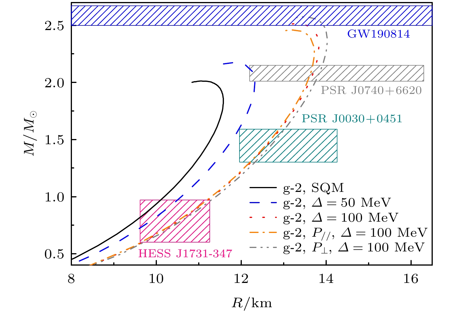
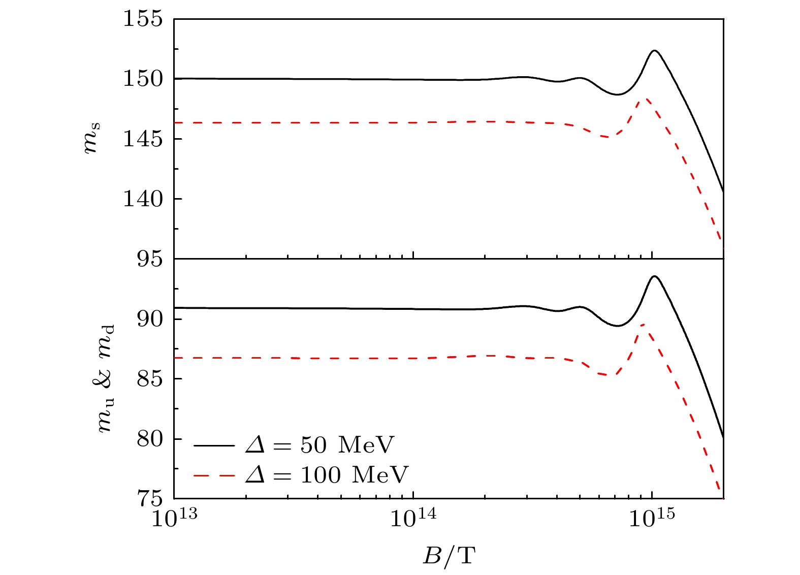
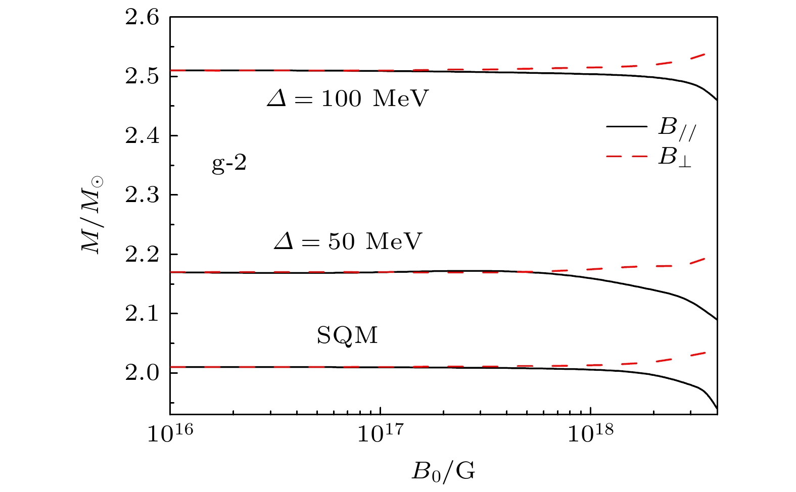
In this work, we investigate the thermodynamical properties of strange quark matter (SQM) and color-flavor-locked (CFL) quark matter under strong magnetic fields by using a quasiparticle model. We calculate the energy density and the corresponding anisotropic pressure of both SQM and CFL quark matter. Our results indicate that CFL quark matter exhibits greater stability than the SQM, and the pressure of CFL quark matter increases with the energy gap constant
$\varDelta $
increasing. We also observe that the oscillation effects coming from the lowest Landau level can be reduced by increasing the energy gap constant
$ \varDelta $
, which cannot be observed in SQM under a similar strong magnetic field. The equivalent quark mass for u, d, and s quark and the chemical potential for each flavor of quarks decrease with the energy gap constant
$ \varDelta $
increasing, which matches the conclusion that CFL quark matter is more stable than SQM. From the calculations of the magnetars with SQM and CFL quark matter, we find that the maximum mass of magnetars increases with the energy gap constant
$\varDelta $
increasing for both the longitudinal and the transverse orientation distribution of magnetic field. Additionally, the tidal deformability of the magnetars increases with the
$\varDelta $
increasing. On the other hand, the central baryon density of the maximum mass of the magnetars decreases with the
$\varDelta $
increasing. The results also indicate that the mass-radius lines of the CFL quark star can also satisfy the new estimates of the mass-radius region from PSR J0740 + 6620, PSR J0030 + 0451, and HESS J1731-347.