-
MoSSe材料是一种非常有前途的光电材料, 它的应用环境会接触到水溶液, 但目前尚未有关MoSSe材料在水溶液中电化学稳定性的研究. 本文基于密度泛函理论构建不同钼、硫和硒元素原子比例的单层MoSSe的Pourbaix图, 研究在不同pH和电极电位条件下的热力学稳定性和电化学腐蚀行为. 对MoSSe的Pourbaix图研究表明, 一部分MoSSe的免蚀区域存在于Pourbaix图中水的稳定区域内, 说明MoSSe在水环境中可以稳定存在; 相比较碱性溶液来说, MoSSe在酸性和中性溶液中的耐腐蚀性更好. 对Mo 4S 2Se 6, Mo 4S 6Se 2, Mo 4S 7Se和Mo 4SSe 7的Pourbaix图研究表明, 在不同钼、硫和硒元素原子比例的单层MoSSe中硫的物质的量浓度较高的情况下, 材料在水溶液中可以稳定存在的条件范围变大, 耐腐蚀性变好; 在不同钼、硫和硒元素原子比例的单层MoSSe中硒的物质的量浓度较高的情况下, 材料在水溶液中可以稳定存在的条件范围变小, 耐腐蚀性变差. 本文对不同钼、硫和硒元素原子比例的单层MoSSe在水溶液中的稳定性和腐蚀行为进行预测, 更加深入地探究了MoSSe材料在水溶液中的降解行为, 可以对钼硫硒材料在光电领域的应用提供理论指导.MoSSe material is a very promising photoelectric material, and its application environment is aqueous solution. However, there is no research of the electrochemical stability of MoSSe materials in aqueous solution. In this work, the Pourbaix diagrams of monolayer MoSSe with different atomic ratios of molybdenum, sulfur and selenium are constructed based on density functional theory, and the thermodynamic stabilities and electrochemical corrosion behaviors under different pH values and electrode potentials are studied. The study of the pourbaix diagram of MoSSe shows that part of the corrosion-free region of MoSSe exists within the stable region of water in the Pourbaix diagram, indicating that the MoSSe can exist stably in the water environment. Compared with alkaline solutions, MoSSe has good corrosion resistance in acidic solution and neutral solution. The Pourbaix diagram of Mo 4S 2Se 6, Mo 4S 6Se 2, Mo 4S 7Se and Mo 4SSe 7show that in the case of high molar fraction of sulfur in monolayer MoSSe with different atomic ratios of molybdenum, sulfur and selenium, the conditions for the stable existence of materials in aqueous solution can have a larger range, and the corrosion resistance becomes better. In the case of high molar fractions of selenium in monolayer MoSSe with different atomic ratios of molybdenum, sulfur and selenium, the range of conditions for the stable existence of materials in aqueous solution becomes smaller, and the corrosion resistance becomes worse. In this work, the stabilities and corrosion behaviors of monolayer MoSSe with different atomic ratios of molybdenum, sulfur and selenium in aqueous solution are predicted, and the degradation behaviors of MoSSe materials are further explored, which can provide theoretical guidance for the application of MoSSe materials in the field of optoelectronics.
-
Keywords:
- first principles/
- Pourbaix diagram/
- MoSSe material/
- stability
[1] [2] [3] [4] [5] [6] [7] [8] [9] [10] [11] [12] [13] [14] [15] [16] [17] [18] [19] [20] [21] [22] [23] [24] [25] [26] [27] [28] [29] [30] [31] [32] [33] [34] [35] [36] [37] [38] [39] [40] -
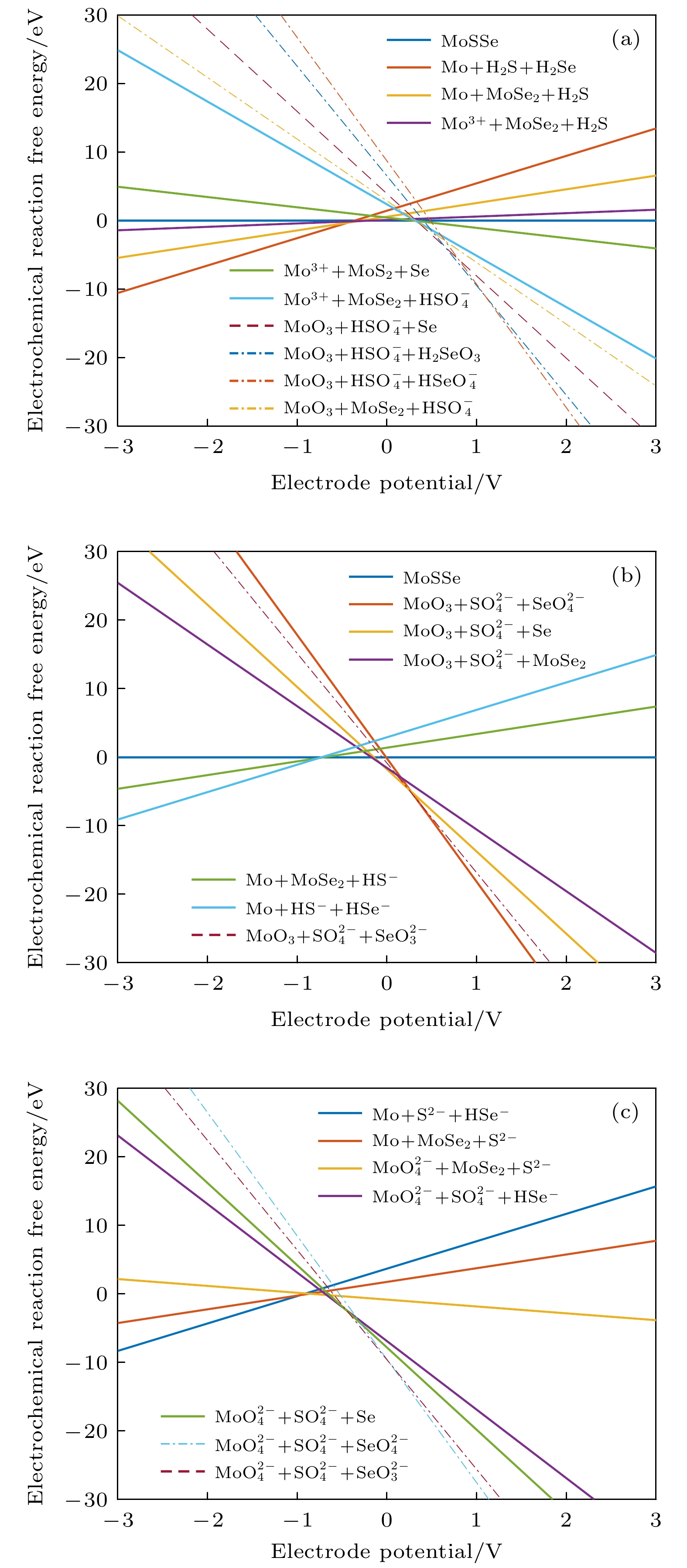
物质 标准化学势μ0/eV MoSSe –2.21 Mo4S2Se6 –8.357 Mo4S6Se2 –9.721 Mo4SSe7 –7.990 Mo4S7Se –10.038 物质 标准化学势μ0/eV 空间群 Mo 0 ${Im} \bar 3m$ MoO2 –5.53 ${ {{P} }{4_2}/{{mnm} } }$ MoO3 –6.92 $P2_1/c$ S 0 $P2/c$ Se 0 $P2/c$ MoSe –0.23 $P \bar 6 m2$ MoSe2 –6.92 $P\bar 3 m1$ MoS2 –2.34 $P6_3/mmc$ 编号 物质(溶液中) 1 MoO3+ HSO4–+ HSeO4– 2 MoO3+ HSO4–+ SeO42– 3 MoO3+ SO42–+ SeO42– 4 MoO42–+ SO42–+ SeO42– 5 MoO42–+ SO42–+ SeO32– 6 MoO3+ SO42–+ SeO32– 7 MoO3+ SO42–+ HSeO3– 8 MoO3+ SO42–+ H2SeO3 9 MoO3+ HSO4–+ H2SeO3 10 MoO3+ HSO4–+ Se 11 MoO3+ SO42–+ Se 12 MoO42–+ SO42–+ Se 13 MoO42–+ SO42–+ HSe– 14 MoO42–+ SO42–+ Se2– 15 MoO42–+ S2–+ Se2– 16 MoO42–+ S2–+ HSe– 17 MoO42–+ MoSe2+ S2– 18 MoO42–+ MoSe2+ SO42– 19 MoO3+ MoSe2+ SO42– 20 MoO3+ MoSe2+ HSO4– 21 Mo3++ HSO4–+ Se 22 Mo3++ MoS2+ Se 23 Mo3++ MoSe2+ H2S 24 MoSSe 25 Mo + MoSe2+ S2– 26 Mo + MoSe2+ HS– 27 Mo + MoSe2+ H2S 28 Mo + H2S + H2Se 29 Mo + H2S + HSe– 30 Mo + HS–+ HSe– 31 Mo + S2–+ HSe– 32 Mo + S2–+ Se2– 33 Mo3++ MoSe2+ HSO4– 34 MoO42–+ HSe–+ Mo4S5Se3 35 Mo3++ Se + Mo4S5Se3 36 Mo + HSe–+ Mo4S5Se3 37 Mo3++ Se + Mo4S6Se2 38 MoO3+ Se + Mo4S5Se3 39 Mo4S2Se6 40 MoO42–+ MoSe2+ HS– 41 MoO2+ MoSe2+ HS– 42 MoO3+ MoSe2+ HS– 43 Mo4SSe7 44 Mo4S6Se2 45 Mo4S7Se 46 Mo4S5Se3 -
[1] [2] [3] [4] [5] [6] [7] [8] [9] [10] [11] [12] [13] [14] [15] [16] [17] [18] [19] [20] [21] [22] [23] [24] [25] [26] [27] [28] [29] [30] [31] [32] [33] [34] [35] [36] [37] [38] [39] [40]
计量
- 文章访问数:4171
- PDF下载量:65
- 被引次数:0












下载:







