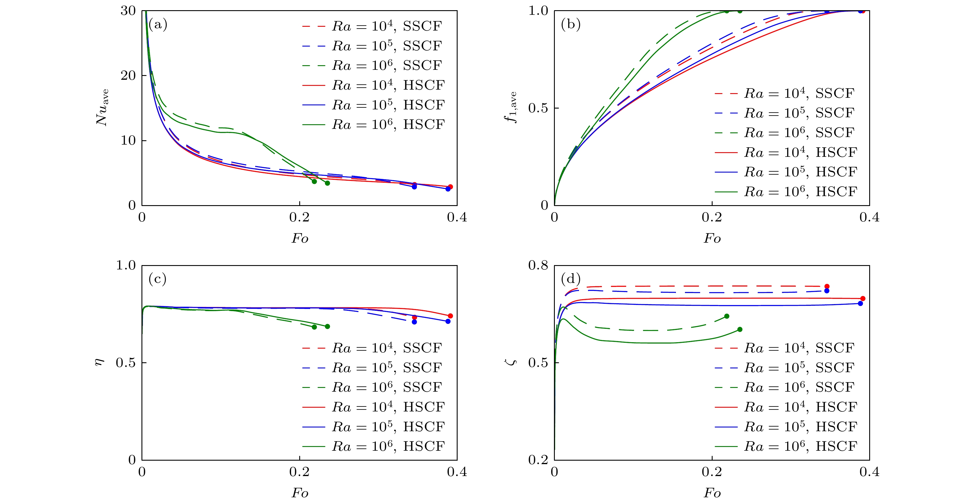
The compositing of porous medium and phase change material is an effective way to improve the heat transfer performance of solid-liquid phase change energy storage system. In this paper, we reconstruct the three-dimensional numerical structure of the copper foam by using the micro computed tomography, and then conduct the pore-scale numerical simulation of the melting process in a cubic cavity filled with the phase change material comprised of the copper foam via the lattice Boltzmann method. The effects of the hollow skeleton on the melting process are discussed in detail under different Rayleigh numbers and ratios of thermal conductivity of the copper foam to that of the phase change material. The results show that the hollow skeleton copper foam possesses a lower average Nusselt number along the left wall at the early stage of the melting process, a slower melting rate, and a higher energy storage efficiency than the solid skeleton copper foam. Comparing with the skeleton region of the copper foam, the heat transfer rate entering the cubic cavity through the hollow region of the skeleton is almost negligible. Because of the competition between heat conduction and natural convection, the heat transfer enhancement efficiency of copper foam first increases, then decreases, and then increases again with the increase of the Fourier number. When the Rayleigh number decreases, the energy storage efficiency increases, and the natural convection also weakens. Meanwhile, the fluctuation of the heat transfer enhancement efficiency decreases as the Fourier number increases, and the gap of the heat transfer enhancement efficiency between the hollow skeleton copper foam and the solid skeleton copper foam becomes smaller. When the ratio of the thermal conductivity of the copper foam skeleton to that of the phase change material increases, the energy storage efficiency is relatively high at the early stage of the melting process but becomes relatively low when the melting process is completed. With a larger thermal conductivity ratio, the heat transfer rate entering the cubic cavity through the skeleton region of the copper foam becomes dominant, which reduces the effect of the hollow skeleton on heat transfer, and thus the gap of the heat transfer enhancement efficiency between the hollow skeleton copper foam and the solid skeleton copper foam becomes relatively small.